
Полгода назад две группы исследователей сообщили об обнаружении неизвестной линии излучения в рентгеновских спектрах галактик. Заявление звучало сенсационно, поскольку это излучение могло идти от частиц темной материи. Однако в августе появилось сразу несколько новых статей, посвященных поиску этой линии в разнообразных галактиках. Результаты всех их, за исключением работ одной группы авторов, отрицательны: никакой подозрительной линии излучения не видно.
Полгода назад сразу две группы исследователей сообщили, что в рентгеновских спектрах ближайших скоплений галактик, а также в спектре центральной части галактики Туманность Андромеды, наблюдается неизвестная линия излучения с энергией около 3,5 кэВ. Это неидентифицированное излучение не удается сопоставить ни с одним известным элементом. А поскольку идет оно из тех областей, где, по всем расчетам, должно быть много темной материи, напрашивается сенсационный вывод, что перед нами — первый намек на прямую регистрацию следов распада или аннигиляции частиц темной материи. Подробный рассказ об этом сообщении читайте в новости В спектрах скоплений галактик обнаружена неизвестная линия излучения.
Надежное детектирование частиц темной материи по отдельной линии излучения — это не только открытие нобелевского калибра, но и источник целого массива новой информации для физики элементарных частиц и астрофизики. Неудивительно, что десятки исследовательских групп сразу же принялись строить модели темной материи, объясняющие полученный результат, и вообще занялись изучением его последствий. (К слову, если бы не мартовское, еще более громкое, заявление коллаборации BICEP2 на совсем иную тему, перетянувшее на себя внимание физиков, — этих работ было бы куда больше.)
Если в физике элементарных частиц новое сообщение восприняли с воодушевлением, то астрофизики, вооружившись здравым скепсисом, принялись перепроверять представленные результаты. К счастью, сделать это не так сложно. Данные по рентгеновским спектрам, полученные спутниковыми обсерваториями Chandra и XMM-Newton, находятся в открытом доступе. Программы обработки сырых данных с этих спутников также доступны, поэтому при достаточной квалификации любой исследователь может, используя эти данные, самостоятельные искать обнаруженную линию излучения в спектрах тех или иных объектов.
Конечно, такие поиски неизвестных линий излучения во всем доступном диапазоне энергий проводились и раньше. До сих пор никаких «неприглашенных гостей» в спектрах не наблюдалось, что позволяло лишь устанавливать очередные ограничения на те или иные модели темной материи. Однако объем данных постепенно рос, методы обработки совершенствовались, неопределенности моделирования уменьшались, ограничения становились всё жестче — пока, наконец, в феврале не прозвучали заявления об обнаружении чего-то нового. После этого, как только речь зашла о конкретной линии излучения с более-менее известными параметрами, на нее накинулись сразу несколько коллективов астрофизиков.
Искать рентгеновский сигнал от распада или аннигиляции частиц темной материи можно от разных источников: от нашей собственной галактики, от близких галактик и от более далеких объектов — скоплений галактик (рис. 2). Каждый из этих вариантов поисков имеет свои сильные и слабые стороны.

Рис. 2. Искать рентгеновский сигнал от частиц темной материи можно в нашей собственной галактике, в отдельных близких галактиках и в более далеких объектах — скоплениях галактик
Ближайшим источником является наша собственная галактика: она целиком погружена в огромное облако (гало) темной материи. Интенсивность такого рентгеновского излучения будет достаточно велика, однако оно идет со всех сторон, так что его трудно отделить от обычного излучения горячего газа. Излучение, конечно, усиливается от центра галактики, поскольку там плотность темной материи выше всего, однако там растет и излучение от обычных астрофизических источников. Кроме того, ожидаемая интенсивность сигнала сильно зависит от профиля распределения темной материи в галактике: ведь телескоп увидит только излучение от той области, которая попадает в его поле зрения.
Можно также смотреть на отдельные близкие к нам галактики. Идеальным кандидатом являются карликовые сфероидальные галактики — маленькие и довольно тусклые галактики Местной группы, являющиеся спутниками Млечного Пути или Туманности Андромеды. Тусклые они оттого, что обычного вещества в них намного меньше, чем темного; их вообще считают объектами, наиболее насыщенными темной материей. Из-за этого можно ожидать, что в идущем от них рентгеновском излучении линия темной материи будет выглядеть гораздо контрастнее, чем от обычных галактик. Кроме того, они обычно целиком помещаются в поле зрения рентгеновского телескопа. Это очень удобно: значит, профиль распределения темной материи в них уже не важен, и для оценки интенсивности сигнала достаточно знать массу всей галактики. Недостатком можно назвать то, что таких галактик известно очень немного.
Среди этих трех потенциальных источников сигнала нет безоговорочного фаворита. Более того, вычисления показывают, что если изучать маленькую область неба в направлении какой-то карликовой галактики или скопления галактик, то сигнал от них ожидается примерно такой же силы, как и от гало темной материи нашей собственной галактике. Это, с одной стороны, усиливает сигнал, но с другой стороны, вносит существенные неопределенности в оценки его интенсивности.
Первое сообщение о неизвестной линии излучения было сделано по результатам анализа 73 скоплений галактик; второе — по наблюдениям скопления Персея, одного из ближайших скоплений галактик, а также Туманности Андромеды — ближайшей к нам крупной галактики. Оба исследования использовали данные спутника XMM-Newton, но поскольку они работали с совершенно разными источниками, их можно считать независимыми. Тот факт, что два столь разных исследования пришли к примерно одинаковым выводам, звучал очень весомым аргументом в пользу заявленного результата.
В конце мая, однако, прозвучал первый звоночек. В статье S. Riemer-Sorensen, 2014 Questioning a 3.5 keV dark matter emission line была сделана попытка зарегистрировать в данных обсерватории Chandra заявленную линию излучения в направлении центра нашей галактики, там, где темной материи должно быть очень много. Изучалась область с угловым размером чуть больше видимого размера Луны. Для устранения «рентгеновской засветки» из нее была исключена самая центральная область, а также множество известных точечных источников, к темной материи не относящихся. Анализ спектра никаких аномалий в районе 3,5 кэВ не выявил. Однако если верить оценкам параметров темной материи, полученным в февральской статье, то сигнал должен был бы наблюдаться. Автор статьи пришла к выводу, что его отрицательный результат находится в противоречии с более ранними заявлениями.
В начале августа об изучении центра нашей галактики доложились и авторы одной из февральских статей (A. Boyarsky et al., 2014. Checking the dark matter origin of 3.53~keV line with the Milky Way center). Сюрприз! — они видят новую линию излучения на энергии 3,54 кэВ и здесь, причем на уровне статистической значимости выше пяти стандартных отклонений. В отличие от предыдущей работы, их вывод базируется на данных XMM-Newton, так что еще остается лазейка, что разные выводы обусловлены какими-то неучтенными расхождениями между двумя обсерваториями.
Но примерно в то же время появилась другая статья (T. E. Jeltema, S. Profumo, 2014. Dark matter searches going bananas: the contribution of Potassium (and Chlorine) to the 3.5 keV line), в которой под сомнение ставится уже их февральская работа. Авторы новой статьи утверждают, что их собственный анализ скопления Персея и Туманности Андромеды не дает оснований заявлять о наличии новой линии излучения — у них спектры хорошо сходятся с известными астрофизическими источниками. Впрочем, вскоре последовала статья-комментарий, оспаривающая этот вывод.
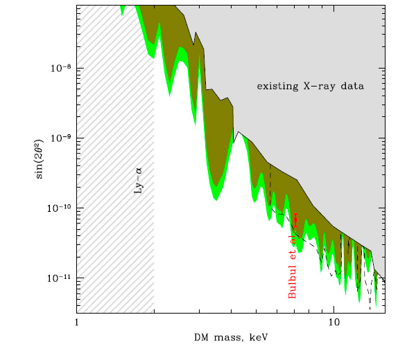
Полемика накалилась еще сильнее, когда в середине августа появились еще две статьи — и обе они сообщают об отсутствии искомой линии излучения в спектрах галактик. Одна из них (D. Malyshev et al., 2014. Constraints on 3.55 keV line emission from stacked observations of dwarf spheroidal galaxies) рассказывает о поиске этой линии в спектрах карликовых сфероидальных галактик. Данные спутника XMM-Newton по восьми таким галактикам были объединены в единый спектр, а кроме того, учитывался вклад в сигнал и от нашей галактики. Результат: никакой новой линии не видно. Ограничения на параметры темной материи, установленные в этой статье, уже исключают на уровне статистической значимости в два стандартных отклонения ту область, в которой исходная февральская статья наблюдала сигнал (рис. 1).
Конечно, это разногласие еще не слишком велико, чтобы уверенно отметать февральские заявления, и, как замечаются авторы, при определенных предположениях оно может быть даже ослаблено. Однако его легко довести до фатального. Для этого даже не требуется ждать запуска Astro-H, рентгеновской обсерватории нового поколения, а достаточно всего лишь на том же XMM-Newton тщательно «пройтись» по карликовым галактикам. За пару месяцев наблюдений статистику по ним можно увеличить в несколько раз, и это позволит окончательно закрыть вопрос с линией на 3,55 кэВ.
И наконец, в последней работе (M. E. Anderson et al., 2014. Non-Detection of X-Ray Emission From Sterile Neutrinos in Stacked Galaxy Spectra), появившейся в архиве е-принтов неделю назад, было предпринято массированное «наступление» на галактики и группы галактик. Были просуммированы рентгеновские спектры 81 галактики по данным Chandra и 89 галактик по данным XMM-Newton, причем предпринимались особые меры предосторожности для подавления «рентгеновской засветки» от обычного горячего газа. Если бы исходные оценки параметров стерильных нейтрино были верны, эти данные позволили бы надежно обнаружить искомую линию излучения на уровне статистической значимости выше 4σ в данных Chandra и выше целых 11σ в данных XMM-Newton.
Увы — новой линии излучения не видно, ни на 3,5 кэВ, ни где-либо еще в области энергий от 2 до 6 кэВ. И вновь были установлены новые ограничения, которые еще сильнее исключают сенсационное заявление полугодичной давности. Под натиском этих данных приходится склоняться к мысли, что в феврале обе группы наблюдали какой-то невыясненный пока статистический или систематический эффект. Впрочем, с окончательным вердиктом стоит пока повременить. Все перечисленные работы основывались на ранних данных, но сейчас, когда линия на 3,5 кэВ стала горячей темой, рентгеновским обсерваториям достаточно провести сеанс специализированных исследований выбранных объектов с большой экспозицией. Вот если его результаты не вскроют ничего подозрительного, «февральскую революцию» в астрофизике можно будет признать несостоявшейся.
Источники:
1) D. Malyshev, A. Neronov, D. Eckert. Constraints on 3.55 keV line emission from stacked observations of dwarf spheroidal galaxies // е-принт arXiv:1408.3531 [astro-ph.HE].
2) M. E. Anderson, E. Churazov, J. N. Bregman. Non-Detection of X-Ray Emission From Sterile Neutrinos in Stacked Galaxy Spectra // е-принт arXiv:1408.4115 [astro-ph.HE].














Рис. 1. Ограничения на характеристики стерильных нейтрино — их массу (по горизонтали) и параметр смешивания с обычными нейтрино (по вертикали), — которые были получены из анализа карликовых сфероидальных галактик. Серая область параметров была уже исключена ранее, салатовым и оливковым цветом показаны новые области, закрытые на уровне статистической значимости 2σ при разных предположениях о распределении темной материи в нашей галактике. Красная точка — оценка параметров, сделанная в первой февральской статье. Изображение из статьи D. Malyshev et al., 2014. Constraints on 3.55 keV line emission from stacked observations of dwarf spheroidal galaxies