
Десять лет назад было экспериментально доказано, что за счет силы тяжести лежащие на подложке ультрахолодные нейтроны обладают квантовыми уровнями энергии, наподобие электронов в атоме. Совсем недавно физики научились перебрасывать нейтроны между этими энергетическими уровнями. И вот сейчас нейтронная спектроскопия в гравитационном поле позволила получить результаты космологического масштаба, касающиеся некоторых экзотических теорий темной материи и темной энергии.
Свойства микроскопических частиц описываются квантовой механикой, и одно из ключевых свойств этого описания — квантование энергии частиц. Микроскопические частицы в компактных стационарных состояниях могут иметь не любую энергию, а занимать только определенные энергетические уровни. Положение этих уровней на шкале энергий, их свойства, их связь друг с другом зависят от конкретной микроскопической системы. Частицы могут перескакивать с уровня на уровень, под действием внешних резонансных воздействий или самопроизвольно, поглощая или испуская при этом порции энергии, равные разнице между уровнями. Спектроскопия — или детектирование таких перескоков — позволяет аккуратно измерить положение уровней энергии и тем самым разобраться с внутренним устройством квантовой системы.
Уровни энергии есть у электронов в атомах или молекулах и у частиц во внешних электрических и магнитных полях. В подавляющем большинстве случаев частицы перебрасываются с уровня на уровень с помощью переменного электромагнитного поля. Это может быть поглощение оптического фотона, воздействие радиоволнами или переменным магнитным полем. Всё это является основой для обычной оптической (в широком смысле) спектроскопии. Уровни энергии бывают также у атомных ядер и даже отдельных элементарных частиц. Там они возникают за счет сильного взаимодействия, а их измерением занимается ядерная или адронная спектроскопия.
В начале 2000-х годов квантование уровней энергии было экспериментально продемонстрировано еще в одном, довольно необычном, случае — для ультрахолодных нейтронов в поле тяжести Земли. Нейтрон со скоростью порядка несколько метров в секунду хорошо отражается от обычного твердого вещества. Поэтому если его, условно говоря, «положить» на горизонтальную плиту, то он будет находиться в потенциальной яме, ограниченной снизу отражающей плитой, а сверху — потенциальной энергией. В этой потенциальной яме у нейтрона будут квантованные уровни энергии с энергиями порядка пикоэлектронвольта (в триллионы раз меньше, чем энергии электронов в атоме). Эти уровни энергии и были впервые зарегистрированы в 2001 году.
Общая схема таких экспериментов показана на рис. 1. Источник испускает ультрахолодные нейтроны под разными углами. Специальный ограничитель отбирает только те нейтроны, которые летят в определенном направлении и попадают точно в зазор между двумя горизонтальными пластинами. Нижняя пластина работает как зеркало для нейтрона, верхняя — как поглотитель. Эта система ограничивает движение нейтронов по вертикали, но не по горизонтали, поэтому влетевшие нейтроны, слегка попрыгав по поверхности, пролетают установку насквозь и попадают в нейтронный счетчик. Изучая, как меняется поток нейтронов при изменении ширины зазора, можно получить их распределение по вертикали и тем самым проверить, насколько оно соответствует квантовым уровням нейтронов в гравитационном потенциале.
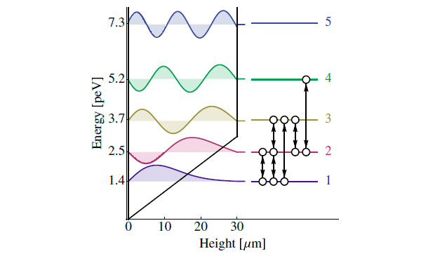
После того как наличие уровней энергии продемонстрировано, следующий шаг — научиться перебрасывать нейтроны между разными уровнями энергии (рис. 2). Эта методика, названная гравитационной резонансной спектроскопией нейтронов, была продемонстрирована совсем недавно, в 2011 году. Подробный рассказ о той работе см. в новости Проведена спектроскопия квантовых уровней нейтронов в гравитационном поле Земли, «Элементы», 01.07.2011.

Рис. 2. Квантовые состояния нейтронов в потенциальной яме, образованной двумя плитами с зазором 30 микрон и гравитационным полем Земли. По горизонтали отложена высота над нижней плитой; разноцветные волнообразные графики — волновые функции нейтронов на разных энергетических уровнях. Переходы между разными уровнями энергии показаны в правой части иллюстрации. Изображение из обсуждаемой статьи
Методика такой гравитационной спектроскопии кардинально отличается от обычных оптических спектроскопических исследований. Во-первых, на нейтроны здесь действуют чисто механические, а не электромагнитные, силы (отражение от плиты и гравитационное поле). Поэтому перебрасывать нейтроны нужно не электромагнитными волнами, а такими же механическими колебаниями. Существенно изменять гравитационное притяжение к Земле физики, конечно, не умеют, поэтому остается единственный способ — вибрация плиты на специально подобранной частоте.
Во-вторых, величиной, которая отслеживается в ходе эксперимента, является по-прежнему поток нейтронов. В обычной спектроскопии мы можем либо регистрировать излученные фотоны, либо отслеживать поглощение фотонов системой. Здесь это сделать не получится — слишком слабо влияние нейтронных переходов на механическую систему, слишком малую вибрацию сами нейтроны создают. Вместо этого была взята верхняя пластина с очень шершавой поверхностью, которая сильно рассеивала нейтроны (рис. 3). Как видно на рис. 2, первые два уровня нейтронов локализованы на высоте 10–20 микрон над нижним зеркалом и до верхней пластины практически не достают. Эти уровни энергии распространялись в зазоре почти без рассеяния: сколько нейтронов запустили, примерно столько их и регистрировал счетчик на выходе. Более высокие уровни энергии, начиная с третьего, уже соприкасались с верхней стенкой и поэтому эффективно рассеивались в зазоре. Такие уровни энергии до детектора не долетали. Поэтому, когда в зазор запускался поток нейтронов, а частота совпадала с резонансной, детектор регистрировал провал интенсивности (см. рис. 3 в новости Проведена спектроскопия квантовых уровней нейтронов в гравитационном поле Земли, «Элементы», 01.07.2011). Это чем-то напоминает линии поглощения в оптической спектроскопии, только тут пропадают из поля зрения не переносчики сил (фотоны), а сами объекты, которые поглощают внешнее воздействие.

Рис. 3. Шершавая верхняя пластина рассеивает соприкасающиеся с ней нейтроны и тем самым уменьшает проходящий поток нейтронов при перебрасывании на верхние энергетические уровни. Рисунок из статьи T. Jenke et al., 2011. Realization of a gravity-resonance-spectroscopy technique
Нынешняя работа, опубликованная в журнале Physical Review Letters, сообщает о дальнейшем развитии этой методики и о ее первом применении для изучения фундаментальных свойств нашего мира — проверки экзотических теорий темной энергии и темной материи.
На рис. 4 показан «спектр поглощения» в области частот от нуля и почти до 900 Гц. По вертикали на этом графике отложен коэффициент прохождения нейтронов; единица означает, что нейтроны проходят свободно, провал вниз отвечает переброске нейтронов в верхние состояния энергии. По результатам измерения были обнаружены следующие резонансные переходы: 1→3 при 539 Гц, 2→4 при 680 Гц, а также каскадная переброска 1→2→3 в окрестности 280 Гц. У всех этих линий есть естественная размытость по частоте, вызванная тем, что нейтроны пролетают установку насквозь за 20–30 мс.

Рис. 4. Пропускная способность вибрирующего зазора в зависимости от частоты вибрации. Пониженная пропускная способность означает, что нейтроны перебрасываются на верхние энергетические уровни и пропадают из поля зрения датчика. Изображение из обсуждаемой статьи
Все эти числа согласуются с теоретическими расчетами на уровне лучше 1%. Если бы на нейтроны действовала какая-то новая фундаментальная сила, сдвигающая их уровни энергии хотя бы на несколько процентов, она была бы зарегистрирована. Тот факт, что всё сходится с расчетами, означает, что новые силы, даже если и существуют, не могут быть слишком велики. В духе поисков эффектов за пределами Стандартной модели, характерных для физики элементарных частиц, факт ненаблюдения отклонений позволяет установить ограничения сверху на силу таких гипотетических взаимодействий.
В статье рассматривались два конкретных варианта экзотических сил, которые, в принципе, допускаются современной физикой и могли бы действовать на нейтроны. Первый — это так называемое хамелеонное скалярное поле, предложенное в 2004 году в качестве возможного объяснения темной энергии — некоторой субстанции, которая приводит к ускоряющемуся расширению Вселенной. Хамелеонным это поле было названо потому, что его свойства словно мутируют в зависимости от материального окружения, от того, в какой именно среде мы изучаем вызванные этим полем силы. В вакууме оно может быть дальнодействующим безмассовым полем, ощущаемым по всей Вселенной, но в плотном веществе Земли оно может стать довольно короткодействующим, с радиусом влияния порядка миллиметра. Обычно все лабораторные эксперименты по проверке закона Ньютона проводятся в вакууме, и там это поле не отличишь от обычной гравитации; поэтому-то эта гипотеза находится пока в согласии с лабораторными измерениями. Однако поле оказывает нетривиальное воздействие на свободные нейтроны, слегка модифицируя потенциальную яму, в которой они находятся, а значит, и слегка сдвигая их уровни энергии.
В новой работе отсутствие этого сдвига позволило наложить ограничение на силу связи нейтронов с хамелеонным полем (рис. 5). Это ограничение оказалось на 5 порядков лучше, чем то, что удавалось получить до сих пор в атомной спектроскопии. Готовящийся сейчас эксперимент GRANIT позволит еще сильнее ограничить параметры этой экзотической модели.

Рис. 5. Ограничение на параметры теорий с хамелеонным полем, полученное в новой работе (линия, помеченная как GRS), по сравнению с ограничениями, установленными ранее. По вертикали отложен логарифм силы связи нейтронов с новым полем, по горизонтали — степенной показатель, характеризующий потенциал поля. Изображение из обсуждаемой статьи
Второй тип новых сил, которые тоже могли бы сдвинуть уровни энергии нейтронов, связан с одним из кандидатов в темную материю — легкими аксионами. Аксионы уже давно ищут в разных экспериментах (см., например, новость Эксперимент CROWS по поиску гипотетических сверхлегких частиц дал отрицательный результат, «Элементы», 06.11.2013). Ничего необычного пока не найдено, и эти отрицательные результаты закрывают значительную область свободных параметров аксионных теорий. Однако они пока не исключают эти модели полностью. С точки зрения нейтронов, такие аксионы могли бы приводить к отклонению от закона Ньютона на масштабах меньше миллиметра, причем к такому отклонению, которое зависит от спина нейтрона. Для того чтобы его заметить, нейтроны должны быть поляризованы, иначе эффект от аксионного взаимодействия смажется.
Эти силы тоже удалось проверить в новой работе. Для этого вся установка была помещена в однородное магнитное поле напряженности 1 Гаусс, которое и поляризовало поток нейтронов. Измерения их уровней энергии проводились для двух противоположных направлений поля, и если бы аксионы оказывали заметный эффект, экспериментаторы наблюдали бы смещение резонансных частот при перевороте магнитного поля. Этого обнаружено не было, из чего также было получено ограничение сверху на величину связи гипотетических аксионов с нейтронами.
Напоследок полезно еще раз подчеркнуть два аспекта этой работы. Во-первых, в очередной раз подтверждается мысль, что аккуратные измерения очень тонких лабораторных эффектов позволяют сделать выводы, касающиеся устройства всей Вселенной. В частности, в описанной работе измерения нейтронов позволили ограничить экзотические модели темной энергии и темной материи. Во-вторых, нейтроны в этом исследовании играют особую роль. В отличие от заряженных частиц и от нейтральных атомов, ультрахолодные нейтроны практически не чувствуют «обычных» сил, вызванных межатомным взаимодействием или электрическим полем. Это помогает нейтронам чувствовать другие силы — гравитацию и гипотетические «пятые силы». Именно поэтому уже первые измерения спектроскопии нейтронов в гравитационном поле позволили получить ограничения, превосходящие возможности обычной атомной спектроскопии.
Источник: T. Jenke et al., Gravity Resonance Spectroscopy Constrains Dark Energy and Dark Matter Scenarios // Physical Review Letters 112, 151105 (2014); статья также доступна как е-принт arXiv:1404.1903 [gr-qc].
См. также: 
1) Проведена спектроскопия квантовых уровней нейтронов в гравитационном поле Земли, «Элементы», 01.07.2011. 
2) В. В. Несвижевский. Приповерхностные квантовые состояния нейтронов в гравитационном и центробежном потенциалах // УФН 180, 673 (2010).














Рис. 1. Схема эксперимента по наблюдению квантовых уровней энергии нейтронов в гравитационном поле Земли. Ультрахолодные нейтроны влетают в узкий зазор между плитой и поглотителем и, подпрыгнув несколько раз, долетают до счетчика нейтронов. Если высота прыжков составляет доли миллиметра, эти прыжки описываются уже не классической, а квантовой физикой. Измеряя поток нейтронов в зависимости от ширины зазора, можно обнаружить квантование нейтронного движения по вертикали. Схема из статьи Thomas J. Bowles, 2002. Quantum physics: Quantum effects of gravity