
Считается, что у эусоциальных животных, например общественных насекомых, кооперация между членами сообщества основана на заботе о близких родственниках, которые и образует это сообщество. Но как объяснить кооперацию между неродственными группами — например, колониями термитов? Исследуя причины и последствия объединения колоний у термитов Сryptotermes secundus, немецкие зоологи показали, что лишь небольшое число рабочих особей получают шанс стать размножающейся кастой при таком объединении. Зато большинство особей проигрывают от объединения, так как рост колонии замедляется и повышается шанс смертности прежних производителей. Таким образом, эгоистические интересы отдельных членов колонии оказываются превыше интересов большинства.
Кооперация среди организмов самого разного уровня организации широко распространена в природе и играет огромную роль в эволюции. Однако кооперация не всегда оказывается эволюционно стабильной, так как часто находятся обманщики, которые стараются не платить, а лишь извлекать выгоду. Этот конфликт удается минимизировать в том случае, если все кооперирующие друг с другом особи оказываются родственниками. Яркий тому пример — общественные насекомые. В колонии общественных насекомых все рабочие особи представляют собой потомство одной самки (царицы), поэтому альтруистическое поведение рабочих, которые добывают пищу, заботятся о потомстве, чистят жилище и т. д., по сути является формой заботы о членах своей семьи. Таким образом, бесплодные рабочие особи способствуют передаче своих генов будущему поколению.
Относительно недавно ученые предложили новую теорию, согласно которой эусоциальность может появиться и при кооперации неродственных особей (см.: Предложен новый взгляд на происхождение общественного образа жизни у животных, «Элементы», 21.09.2010). Теория никогда не возникает на пустом месте: накопилось немало эмпирических данных о неродственной кооперации. Например, отдельные небольшие колонии общественных насекомых могут объединяться в более крупные сообщества. Такое объединение часто встречается у примитивных термитов, таких как сухо-древесные термиты (семейство Kalotermitidae). Один из видов этого семейства, Сryptotermes secundus, интенсивно исследуется в последние годы в лаборатории немецкого зоолога Юдит Корб (Judith Korb). У этого вида 25% колоний в природе оказываются результатом объединения двух и более неродственных колоний. Юдит Корб решила исследовать причины этого феномена.
С. secundus, как и другие сухо-древесные термиты, живут в мертвой сухой древесине; кусок дерева служит им и для питания, и для жилья — они никогда не выходят за пределы куска дерева. Когда кусок дерева полностью перерабатывается, часть его обитателей просто погибает, а часть становится крылатыми и заселяет новое жилище. В отличие от более высокоорганизованных видов термитов, у которых кастовая принадлежность предопределена генетически (см.: Кастовая принадлежность у термитов предопределена генетически, «Элементы», 14.11.2007), развитие той или иной касты у С. secundus чрезвычайно пластично. Рабочая особь (а у термитов рабочими могут быть как самки, так и самцы) в течение всей жизни имеет возможность превратиться либо в солдата, которых в колонии этого вида очень небольшой процент, либо в два типа репродуктивных особей — крылатых самцов или самок, которые расселяются и образуют новые колонии, или новых царя и царицу родного жилища в том случае, если старые погибают. Во многом судьба рабочей особи определяется наличием пищи: если кусок дерева почти съеден его обитателями, рабочие становятся крылатыми и расселяются.
В лаборатории Юдит Корб поставили двухлетний эксперимент, в котором исследовали, во-первых, как происходит объединение колоний, и, во-вторых, какие могут быть причины и последствия таких объединений. Авторы предположили, что возможны три сценария объединения: 1) колонии не объединяются и остаются независимыми; 2) колонии сливаются мирным путем, так что обе «царские пары» остаются живыми; и 3) колонии сливаются в агрессивной манере, и только одна пара производителей остается живой (в случае агрессивного объединения цари и царицы атакуют и ранят друг друга, в результате чего может остаться в живых одна пара, причем в любой комбинации).
Колонии С. secundus собирали в мангровых зарослях около города Дарвин в Австралии, где эти термиты живут в древесине Ceriops tagal (cемейство Rhizophoraceae). Затем термитов переселяли в сосновую древесину, в которой они на удивление хорошо адаптировались. Полевые эксперименты проводились в родных для термитов условиях, около города Дарвин, а лабораторные — в Германии. В полевых экспериментах исследовали, как происходит объединений колоний. Для этого исследовали 14 пар неродственных колоний сходного размера, поместив каждую пару в отдельный кусок дерева (рис. 1с); через год колонии проверяли на предмет общих ходов и состава термитов. Новых производителей распознавали по цвету и величине брюшка.
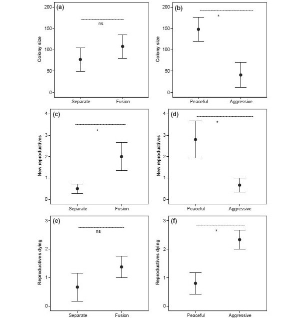
Оказалось, что меньшее число пар колоний (6) остались независимыми, тогда как большее число пар (8) объединилось. Пять объединений были мирными, а три — агрессивными. Когда авторы сравнили размер раздельных и объединенных мирным путем колоний, то не нашли достоверных различий по этому параметру (рис. 2a). Зато мирно объединившиеся колонии оказались существенно больше по размеру, чем агрессивно объединившиеся пары (рис. 2b). Кроме того, число особей, ставших новыми производителями, было выше в объединенных колониях, чем в одиночных (рис. 2c), и выше при мирном, чем при агрессивном объединении (рис. 2d). Интересно, что при этом число погибших производителей оказалось сходным в изолированных и объединенных колониях (рис. 2e).

Рис. 2. Результаты полевых экспериментов по объединению неродственных колоний. Размер колоний достоверно не различался в случае объединившихся (fusion) и изолированных (separate) колоний (a), но различался в случае мирно слившихся (peaceful) и агрессивно объединившихся (aggressive) колоний (b). Число репродуктивных особей было выше в объединенных колониях, чем в изолированных колониях (c), и в мирно слившихся колониях, чем в агрессивно объединившихся колониях (d). Число погибших половых особей не различалось в объединенных и изолированных колониях (e), но различалось в мирно слившихся и агрессивно объединившихся (f). Рисунок из обсуждаемой статьи в Journal of Evolutionary Biology
В лаборатории были поставлены контрольные эксперименты с родственными колониями. Это было сделано для того, чтобы исключить конфликт между неродственными особями и исследовать причины и последствия объединения колоний. Вначале каждую колонию разделяли на две и давали им время адаптироваться. Затем пары родственных колоний использовали в двух сериях экспериментов. В одной серии экспериментов пары колоний не могли объединиться, даже если очень хотели, так как кусок занимаемого им дерева был поделен на две части и разделен мелкоячеистой сеткой, которая препятствовала образованию ходов (рис. 1d, unfused). В другой серии экспериментов колонии могли объединиться, так как два куска дерева были объединены без всяких препятствий между ними (рис. 1d, fused). Этот эксперимент длился два года, после чего авторы оценивали рост колоний, выживаемость термитов и число производителей (цариц и царей).
В лаборатории все семь пар родственных колоний, которым можно было объединиться, объединились, хотя в двух случаях объединение было агрессивным. Интересно, что агрессивное объединение было отмечено для самых маленьких пар колоний. Как и в полевых экспериментах, авторы не нашли различий в росте объединенных и изолированных родственных колоний. Но выживаемость колоний была разная: все объединенные колонии выжили, а одна пара из трех изолированных колоний погибла. Опять же, как и в полевых экспериментах, число погибших репродуктивных особей не различалось в объединенных и изолированных колониях, но число новых производителей было выше в объединенных колониях.
Какой вывод из всей этой работы делают авторы? Объединение колоний выгодно лишь немногочисленным термитам, которые получают шанс стать царем или царицей. Большинство же особей не получают никакой выгоды, а могут даже проиграть, так как замедляется рост колонии в случае агрессивного объединения. Почему же, в таком случае, происходит объединение колоний С. secundus? Авторы предполагают, что объединение способствует выживаемости колонии в целом, даже в том случае, если объединение происходит в агрессивной форме. Здесь, правда, кроется некоторое противоречие. Как показано в этой работе, агрессивное объединение более характерно для колоний меньшего размера (этому феномену авторы даже находят объяснение: каждый представитель колонии имеет свой запах, и в маленьких колониях индивидуальная изменчивость запаха ниже, чем в больших колониях; чем выше эта изменчивость, тем легче перепутать представителей своего и чужого гнезда при встрече особей из разных колоний). С другой стороны, логично предположить, что именно мелким колониям наиболее выгодно было бы объединяться. На разных эусоциальных животных показано, что у видов с большими колониями кооперация обычно развита лучше (см.: Межгрупповая конкуренция способствует внутригрупповой кооперации). В то же время авторы подчеркивают, что в природе чаще объединяются более крупные, чем мелкие колонии С. secundus. В таком случае, в природе должны встречаться либо совсем мелкие колонии, либо очень крупные.
Но если отключиться от процессов, которые могут происходить в природе, и анализировать только экспериментальные данные, полученные в данной работе, то вывод авторов вполне убедителен. Термиты С. secundus, стремясь превратиться в репродуктивных особей, преследуют эгоистические интересы за счет остальных членов колонии. Очевидно, что такие эгоистические интересы вполне могут способствовать эволюции эусоциальности.
Источник: J. Korb, E. A. Roux. Why join a neighbour: fitness consequences of colony fusions in termites // Journal of Evolutionary Biology. Published online 21.09.2012.
Варвара Веденина




Рис. 1. (a) Царица с увеличенным брюшком (слева внизу) и рабочие термиты Сryptotermes secundus. (b) Изображение куска сухой древесины с колонией термитов, полученное с помощью компьютерной томографии; видны предварительно просверленная полость (голубой диск) и проделанные термитами ходы. (c) Схема полевого эксперимента «Объединение колоний»; две неродственные колонии A и B одного размера помещались в один древесный блок. (d) Схема эксперимента «Причины и последствия объединения колоний»; в одном случае родственным колониям давали возможность объединиться (fused), в другом случае объединение было невозможно (unfused). Рисунок из обсуждаемой статьи в Journal of Evolutionary Biology