
Паразиты представляют собой серьезную угрозу общественным насекомым, образующим колонии с высокой плотностью популяции. Поэтому в процессе эволюции отбираются признаки, снижающие риск распространения инфекции. Муравьи-древоточцы, зараженные паразитическими грибами, радикально меняют свое поведение, в результате чего существенно уменьшается риск заражения других особей муравьиной семьи.
Не секрет, что общественный образ жизни, который ведут некоторые животные, дает им много преимуществ. К таким преимуществам относятся эффективность совместного поиска пищи, совместная забота о потомстве, усиленное размножение и совместная защита от врага. С другой стороны, жизнь в группах чревата быстрым распространением инфекций. Исследования, сделанные в первую очередь на общественных насекомых (пчелах, муравьях и термитах), показали, что для защиты от инфекций насекомые выработали различные механизмы, предотвращающие распространение болезней. К таким механизмам можно отнести как просто избегание заболевших здоровыми особями, так и такие специфические формы поведения, как сбор антимикробной смолы (см.: Simone et al., 2009. Resin collection and social immunity in honey bees // Evolution) или разбрызгивание секрета метаплевральных желез. Кроме того, среди общественных животных очень распространен так называемый груминг (от английского groom — скрести, наводить лоск), направленный на очистку поверхности собственного тела и других особей колонии.
Недавно было показано, что умирающие муравьи и пчелы покидают свои колонии и погибают в изоляции (см.: Heinze, Walter, 2010. Moribund Ants Leave Their Nests to Die in Social Isolation // Current Biology; Rueppell et al., 2010. Altruistic self-removal of health-compromised honey bee workers from their hive // Journal of evolutionary biology). Причин этому может быть несколько. Во-первых, больные особи могут прогоняться здоровыми. Во-вторых, больные особи могут добровольно покидать колонию, демонстрируя таким образом пример альтруистического поведения. Кроме того, сам паразит может манипулировать поведением своего хозяина. Пример такого удивительного поведения был показан в недавнем исследовании на муравьях. Муравьи, зараженные паразитическим грибом, умирали не просто в одиночестве, но предварительно забираясь на нижнюю поверхность листьев и вцепившись в них челюстями (см.: Andersen et al., 2009. The life of a dead ant: the expression of an adaptive extended phenotype // The American naturalist). Оказалось, что грибная инфекция, вызывающая такое поведение муравья, создает себе оптимальные условия (температуру и влажность) для дальнейшего роста.
До настоящего времени сведения о том, как ведут себя больные насекомые с эусоциальным образом жизни, были обрывочны. Биологи из Копенгагенского университета (Дания) и Университета Эмори (Атланта, штат Джорджия, США) решили провести комплексное исследование на муравьях из рода Camponotus, или муравьях-древоточцах. В качестве хозяина был выбран вид Camponotus aethiops из Итальянских Альп, в качестве паразита — Metarhizium brunneum, или M. anisopliae, относящийся к энтомопатогенным грибам (паразитическим грибам, поражающим насекомых).
Во-первых, авторы исследовали различные социальные взаимодействия у здоровых и больных особей внутри гнезда. Для этого пять колоний были перенесены из природы в лабораторию, в искусственные пластиковые садки, соединенные трубками. Для каждой колонии были выделены два садка, один в качестве гнезда, другой — в качестве арены для кормления. Из этих колоний было создано 12 мелких вторичных колоний по 50 рабочих особей и 10 личинок. Мелкие рабочие особи, которые предварительно были индивидуально помечены краской, были обработаны суспензией грибных спор. Поведение каждой маркированной особи записывали в течение 4 минут дважды в день. Авторы выделяли следующие поведенческие акты здоровых рабочих по отношению к зараженным особям: 1) отсутствие контакта, 2) ощупывание друг друга антеннами, 3) алло-груминг (чистка другой особи), 4) трофоллаксис. Кроме того, зараженные особи чистились сами (self-grooming). Примечательно, что особи из одной колонии не проявляли друг к другу никакого агрессивного поведения, независимо от того, больной это был муравей или здоровый. Местонахождение зараженных особей могло быть 1) в гнезде, 2) на кормушке, 3) рядом с расплодом (личинками).

Рис. 1. Выживаемость здоровых (control ants) и зараженных (infected ants) муравьев. По вертикальной оси — доля выживших муравьев. Изображение из обсуждаемой статьи в Journal of Evolutionary Biology
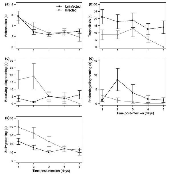
Какие же результаты получили авторы? Выживаемость больных муравьев начинала снижаться на четвертый день, и к седьмому дню они все погибали (см. рис. 1), поэтому результаты наблюдений приводятся для первых пяти дней после обработки суспензией грибных спор. Авторы не нашли различий между больными особями и контролем в количестве ощупываний антеннами (см. рис. 2а), но для остальных поведенческих актов различия обнаружены. Больные особи достоверно меньше демонстрировали трофоллаксис (см. рис. 2b), больше подвергались алло-грумингу со стороны других особей в течение первых двух дней (см. рис. 2с), меньше чистили других и больше — себя (см. рис. 2d–е).

Рис. 2. Средняя продолжительность различных поведенческих актов у здоровых (uninfected) и зараженных (infected) муравьев в течение пяти дней после заражения. а — ощупывание антеннами; b — трофоллаксис; c — чистка другими особями; d — чистка других особей; e — чистка себя. Изображение из обсуждаемой статьи в Journal of Evolutionary Biology
Больные муравьи проводили достоверно меньше времени внутри гнезда, чем здоровые особи, причем это время снижалось по мере развития инфекции (см. рис. 3а). Здоровые рабочие, напротив, проводили большую часть времени в гнезде. Кроме того, больные муравьи почти не взаимодействовали с личинками уже на второй день после заражения, тогда как здоровые активно продолжали ухаживать за личинками (см. рис. 3b).

Рис. 3. Усредненное время нахождения здоровых (uninfected) и зараженных (infected) муравьев внутри гнезда (а) и рядом с личинками (b) в течение пяти дней после заражения. Изображение из обсуждаемой статьи в Journal of Evolutionary Biology
Следующий этап исследований, проведенный авторами, был посвящен химическому анализу кутикулы, образующей экзоскелет (см. Arthropod exoskeleton) насекомого, и сравнению состава кутикулы у здоровых и больных муравьев. Известно, что химическая коммуникация имеет огромное значение в жизни насекомых. Для насекомых важны как летучие химические соединения, или феромоны, так и нелетучие вещества, которые воспринимаются в процессе контактной хеморецепции, например когда насекомые ощупывают друг друга усиками. Эти нелетучие органические соединения, входящие в состав кутикулы, представлены в основном различными углеводородами. Состав и соотношение углеводородов может различаться не только у разных видов, но и у разных полов и даже у разных особей в пределах одного пола. Для проведения химического анализа муравья опускали в растворитель, в котором происходила экстракция углеводородов, после чего исследователи проводили анализ полученного углеводородного состава методом газовой хроматографии. Что же получилось? Больные и здоровые муравьи не различались по химическому составу кутикулы, зато особи из разных колоний хорошо различались (см. рис. 4).

Рис. 4. Результаты химического анализа кутикулы здоровых (белые символы) и зараженных (черные символы) муравьев. Показаны три первых фактора анализа главных компонент. Здоровые особи не отличаются от больных, но хорошо различаются особи из разных колоний (колонии помечены символами разной формы). Изображение из обсуждаемой статьи в Journal of Evolutionary Biology
Авторы провели еще серию экспериментов, в которых попытались понять, как ведут себя зараженные муравьи по отношению к неродственным особям из других гнезд. Для этого больного муравья сажали вместе со здоровым муравьем из другой колонии на арену и фиксировали различные типы поведения в течение трех минут. В целом наблюдали две формы поведения: избегание больным муравьем здорового и, напротив, агрессивное поведение больного по отношению к здоровому. Агрессивное поведение проявлялось в открывании челюстей, кусании и изгибании брюшка. Эксперименты показали, что больные муравьи существенно чаще проявляют агрессию по отношению к чужакам, тогда как здоровые особи, напротив, стараются избегать особей из другой колонии (см. рис. 5).

Рис. 5. Степень агрессивности (а) и поведение избегания (b) у зараженных (infected) и здоровых (control) муравьев по отношению к особям из чужой колонии. Измерения сделаны на третий день после заражения. Изображение из обсуждаемой статьи в Journal of Evolutionary Biology
Итак, больные муравьи ведут себя кардинально иначе, чем здоровые особи. Внутри колонии они меньше делятся пищей с другими муравьями, больше чистятся сами и больше подвергаются грумингу со стороны других муравьев. Последний факт можно объяснить тем, что здоровые муравьи понимают, что больной нуждается в чистке. Это может происходить по разным причинам. Во-первых, больной муравей может пахнуть по-другому. Но это маловероятно, так как состав углеводородов не различался у здоровых и больных особей. Во-вторых, муравьи могут начинать усиленно чистить больного, так как он сам много чистится. Но это также не подтвердилось эмпирическими наблюдениями. В-третьих, больной муравей может выказывать какое-либо иное ненормальное поведение, например издавать вибрационные сигналы. Присутствие грибных спор на кутикуле может быть также обнаружено посредством зрительной или тактильной коммуникации.
Больные муравьи проводят больше времени вне гнезда, чем здоровые, и практически не взаимодействуют с личинками. Тот факт, что здоровые муравьи не проявляют агрессивного поведения по отношению к больным особям внутри колонии, говорит о том, что, скорее всего, больные муравьи сами подвергают себя изоляции, а не изгоняются здоровыми особями. Таким образом, мы вновь сталкиваемся с удивительным проявлением альтруизма у эусоциальных животных, когда самоудаление больной особи уменьшает риск заражения родственников, что способствует выживанию семьи и распространению своих же генов.
Зараженные муравьи становятся более агрессивными по отношению к чужакам, чем их здоровые товарищи по гнезду. Авторы довольно оригинально объясняют это тем, что больным «нечего терять», и сравнивают такое поведение муравьев с поведением больного человека, который удаляется от людей и становится агрессивным. С другой стороны, отмечают авторы, у муравьев хорошо известно такое явление, как полиэтизм, когда более старые рабочие начинают выполнять более рискованные функции, чем молодые особи. Например, именно более старые рабочие занимаются поиском и добыванием пищи, тогда как молодые преимущественно сидят в няньках. Для муравьев-фуражиров характерно более агрессивное поведение по отношению к неродственным муравьям, чем у муравьев-нянек. Возможно, инфекция запускает тот же самый путь развития, который характерен при старении организма, но в ускоренном темпе.
Источник: N. Bos, T. Lefèvre, A. B. Jensen, P. d’Ettorre. Sick ants become unsociable // Journal of Evolutionary Biology. V. 25. Issue 2. P. 342–351. February 2012.
Варвара Веденина














Муравей-древоточец Camponotus aethiops. Изображение с сайта perdidoenelamazonas.blogspot.com