
Люди ведут себя более «правильно»,, если думают, что кто-то может за ними наблюдать. Как выяснилось, этот эффект распространяется и на строгость суждений об аморальных поступках. Даже слабый намек на возможность наблюдения — изображение глаз на листочке с тестовым заданием — побуждает людей более сурово осуждать нарушения общепринятых моральных норм. Возможно, склонность к такому поведению сложилась как адаптация, направленная на поддержание своей репутации в коллективе.
Эволюционные психологи предполагают, что важной составной частью эволюции социального поведения у наших предков было развитие специальных психологических и поведенческих адаптаций, направленных на улучшение собственной репутации в глазах соплеменников. В полном согласии с этим предположением многочисленные эксперименты показали, что склонность людей к просоциальным (общественно-полезным) и альтруистическим действиям резко усиливается при малейшем намеке на то, что об этих действиях может кто-то узнать (подробнее об этих экспериментах и их теоретической основе рассказано в заметке В присутствии нарисованных глаз люди ведут себя лучше, «Элементы», 11.03.2011).
Впрочем, альтруистические поступки — не единственный (и не самый легкий) способ продемонстрировать соплеменникам свои высокие моральные качества. Люди оценивают друг друга не только по делам, но и по словам, что открывает потрясающие возможности для саморекламы. Мы часто судим о моральном облике ближних по тому, как они оценивают те или иные нарушения принятых в обществе моральных норм. Не случайно некоторые политики в ходе предвыборных кампаний соревнуются друг с другом в том, кто суровее осудит те или иные пороки и преступления. Доходит до смешного: например, бывший губернатор Техаса Марк Уайт, выступавший в поддержку смертной казни во время своих предвыборных кампаний, впоследствии стал выступать за ее отмену, объясняя это тем, что теперь он никуда не баллотируется и поэтому может говорить то, что действительно думает.
Исходя из этого, естественно предположить, что стимулы, намекающие на неанонимность ситуации (например, нарисованные глаза, уже ставшие «классикой» в подобных исследованиях), должны подталкивать людей к более резкому осуждению аморальных поступков. Психологи из Австралии, США и Великобритании решили это проверить.
Добровольцев для участия в эксперименте «завербовали» в библиотеках на территории университетского кампуса Жюсье (Campus de Jussieu) в Париже. Для пущей анонимности участников не просили ничего о себе сообщать. Их случайным образом разделили на две группы — опытную (43 человека) и контрольную (48 человек).
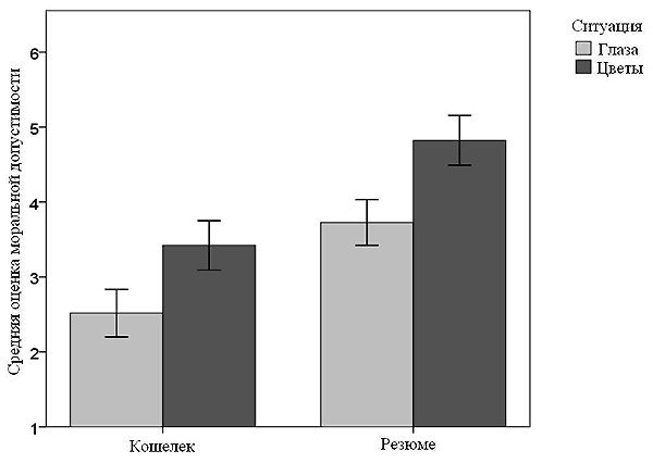
Добровольцы из опытной группы получили тестовое задание, напечатанное на двух сторонах стандартного листа А4. На каждой стороне листа находилось описание ситуации, связанной с нарушением моральных норм. Первая ситуация была такая: представьте, что вы нашли на улице кошелек с несколькими сотнями долларов и документами владельца. Судя по кредитным картам и другому содержимому, хозяин кошелька — человек богатый. У вас же сейчас период неудач, и деньги нужны позарез. Вы задумались, можно ли послать кошелек с документами владельцу, а деньги оставить себе. Как вы оцениваете моральную допустимость такого поступка?
Ниже на странице находилось изображение двух глаз размером 47 × 17 мм (см. рисунок), а еще ниже — девятибалльная шкала, по которой нужно было оценить свое отношение к воображаемому поступку (от 1 — «недопустимо» до 9 — «допустимо»).
Вторая история, напечатанная на обратной стороне листа, рассказывала о «вашем друге», который включил в свое резюме ложную информацию, чтобы устроиться на работу. Работа была ему очень нужна. Обман удался, и друга взяли на работу, отказав нескольким более компетентным кандидатам. Ниже опять-таки находилась пара глаз и шкала для оценки данного поступка.
Добровольцы из контрольной группы получили такой же тест, отличавшийся только тем, что в качестве «элемента оформления» вместо глаз использовались цветочки.
Полученные результаты совпали с теоретическими ожиданиями. В присутствии нарисованных глаз участники оценили оба воображаемых поступка как менее приемлемые по сравнению с контрольной ситуацией, когда вместо глаз были изображены цветы.

Это может означать, что изображение глаз усиливает остроту восприятия аморальных поступков, «пробуждает совесть», или что оно создает ощущение, что за человеком наблюдают, и поэтому испытуемый начинает «работать на публику». В обоих случаях это вполне может быть проявлением эволюционно обусловленной адаптации, направленной на поддержание собственной репутации в глазах окружающих.
Это первая работа, показавшая влияние степени анонимности на строгость моральных суждений. Авторы честно отмечают ряд ограничений, с которыми нужно будет разбираться в ходе дальнейших исследований. Например, известно, что университетские студенты в развитых странах по ряду психологических параметров сильно отличаются от случайной выборки из всего населения; изображение цветов теоретически тоже как-то может влиять на психическое состояние (например, улучшать настроение и делать людей чуть менее суровыми, что, впрочем, маловероятно).
В этом исследовании изучались ни к чему не обязывающие моральные оценки, то есть то, что специалисты по рекламе (и теории игр) называют «дешевой болтовней» (cheap talk). Этим специалистам (как и эволюционным биологам) прекрасно известно, что такая необременительная, бесплатная самореклама не заслуживает большого доверия — ее слишком легко подделать, в отличие от рекламы дорогостоящей, такой как, например, павлиний хвост (см. о принципе гандикапа в заметке Когда нельзя выбирать самцов, можно выбрать детей, «Элементы», 22.05.2006). Впрочем, если человек пренебрежет этими бесплатными возможностями, то есть не будет афишировать на словах свои достоинства, окружающим это может показаться подозрительным. В результате возникают «мыльные пузыри» дешевой рекламы: обложки книг испещряются славословиями, соискатели заваливают работодателей кипами восторженных характеристик и рекомендаций. Все понимают, что этим сведениям грош цена, но их отсутствие смотрелось бы подозрительно.
В области борьбы за моральные ценности есть и свои аналоги обременительных, «дорогих» способов саморекламы. Это, прежде всего, так называемое «дорогостоящее наказание» (costly punishment) — распространенная во всех человеческих обществах разновидность альтруизма, проявляющаяся в готовности людей жертвовать своими личными интересами ради того, чтобы «по справедливости» наказать нарушителя общественных норм (см., например: Henrich et al., 2006). Было бы крайне интересно проверить, влияют ли нарисованные глаза также и на склонность к дорогостоящему наказанию.
Источник: Pierrick Bourrat, Nicolas Baumard, Ryan McKay. Surveillance Cues Enhance Moral Condemnation (PDF, 169 Кб) // Evolutionary psychology. 2011. V. 9(2). P. 193–199.
См. также:
В присутствии нарисованных глаз люди ведут себя лучше, «Элементы». 11.03.2011.



