Такие «крупномасштабные» генетические характеристики, как размер генома и число хромосом, как правило, почти не варьируют внутри вида, но могут сильно различаться у разных видов одного рода. Два независимых исследования, выполненные на бабочках и коловратках, показали, что ранние этапы видообразования могут сопровождаться взрывообразным ростом изменчивости по размеру генома и числу хромосом. Различия по этим признакам не обязательно приводят к немедленному формированию репродуктивной изоляции, хотя и являются важной предпосылкой для ее развития.
Крупномасшатабные геномные перестройки, такие как разрыв или слияние хромосом, считаются одним из важных механизмов быстрого формирования репродуктивной изоляции. Как правило, особи с разным числом хромосом либо вовсе не могут произвести потомство, либо это потомство оказывается бесплодным. У гибридов первого поколения, получивших от отца и матери разное количество хромосом, в ходе мейоза хромосомы не могут должным образом «разбиться на пары» и распределиться по половым клеткам, которые в результате оказываются нежизнеспособными.
Это, однако, далеко не абсолютное правило (будь оно абсолютным, изменения числа хромосом в ходе эволюции у организмов, размножающихся половым путем, были бы большой редкостью). Иногда различия в числе хромосом не препятствуют их нормальному спариванию в ходе мейоза и образованию жизнеспособных гамет. Хромосомы просто соединяются гомологичными участками: например, две половинки разорвавшейся хромосомы могут пристроиться к соответствующим половинкам своего неразорванного прототипа.
Известны виды, у которых число хромосом варьирует, а особи с разным числом хромосом сохраняют генетическую совместимость. Впрочем, такая ситуация вряд ли может сохраняться очень долго: плодовитость гибридов, скорее всего, будет понижена, поэтому отбор будет способствовать выработке дополнительных изолирующих механизмов. В итоге родительский вид разделится на два дочерних, различающихся по числу хромосом. Или, что еще вероятнее, измененный кариотип будет просто отсеян отбором, и вид сохранит исходное число хромосом.
Межвидовая изменчивость по числу хромосом встречается гораздо чаще, чем внутривидовая. Например, у человека 23 пары хромосом, а у шимпанзе и других человекообразных – 24. Вторая хромосома человека возникла в результате слияния двух предковых хромосом (см.: Молекулярно-генетические и биохимические доказательства эволюции). Если не учитывать многочисленные случаи полиплоидии, то самая большая вариабельность по числу хромосом среди видов одного рода наблюдается у бабочек-голубянок Agrodiaetus (см.: Елена Бадьева. О том, как встреча после разлуки завершает видообразование.. Синопсис по статье В. А. Лухтанова «Правило Добржанского и видообразование путем усиления презиготической репродуктивной изоляции в зоне вторичного контакта популяций» // Журнал общей биологии. 2010. Т. 71. №5. С. 372–385). В пределах этого рода диплоидное число хромосом (2n) варьирует от 20 до 268, несмотря на то что род начал дивергировать недавно и все его виды морфологически очень похожи друг на друга.
У позвоночных внутриродовая изменчивость по числу хромосом тоже может быть весьма значительной: например, у сомиков Corydoras 2n колеблется от 44 до 102, у южноамериканских грызунов туко-туко (род Ctenomys) — от 10 до 70.
Каким образом у близких, недавно разделившихся видов формируются такие сильные различия по числу хромосом, если внутривидовая хромосомная изменчивость — явление сравнительно редкое? Теоретически здесь возможны два сценария.
Во-первых, различия по числу хромосом могут накапливаться постепенно, причем каждая крупная перестройка (слияние или разрыв хромосом) соответствует одному акту видообразования. Такое «пошаговое» формирование межвидовых хромосомных различий, по-видимому, широко распространено в природе. Его начальные этапы можно наблюдать у некоторых видов с варьирующим числом хромосом, таких как домовая мышь и обыкновенная бурозубка.
Но возможен и другой сценарий: кратковременный «взрывообразный» рост хромосомной изменчивости внутри вида, за которым следует быстрое разделение исходного вида на несколько дочерних, различающихся по числу хромосом, и вымирание промежуточных форм.
Этот второй сценарий до сих пор не был убедительно документирован. Пробел восполнили В. А. Лухтанов из Зоологического института РАН и Санкт-Петербургского университета и его испанские коллеги. В статье, опубликованной недавно в журнале BMC Evolutionary Biology, авторы описали удивительный случай крайне высокого хромосомного полиморфизма в пределах одного широко распространенного вида бабочек, Leptidea sinapis (беляночка горошковая). Этот вид встречается от Португалии и Испании на западе до Сибири на востоке.
Оказалось, что число хромосом у бабочек этого вида убывает с запада на восток — от 2n = 106 в испанских популяциях до 2n = 56 в восточном Казахстане. Кроме того, число хромосом может варьировать в пределах одной и той же популяции (внутрипопуляционная изменчивость зарегистрирована в Италии, Румынии и Казахстане).
Большинство особей в этих популяциях являются хромосомными гетерозиготами. Это значит, что они получили разное количество хромосом от отца и матери. В ходе мейоза у таких особей образуются наряду с обычными бивалентами (парами соединившихся гомологичных хромосом) еще и триваленты (две хромосомы из одного набора спариваются с одной хромосомой из другого). Эти триваленты затем нормально разделяются и расходятся по дочерним (половым) клеткам. Судя по обилию хромосомных гетерозигот, в изученных популяциях они не отсеиваются отбором (или отсеиваются очень медленно), то есть потомство родителей с разным числом хромосом имеет нормальную или почти нормальную жизнеспособность и плодовитость.

Авторы заметили, что чем больше у данной бабочки хромосом, тем они в среднем мельче. Это, наряду с другими косвенными данными, свидетельствует о том, что изменение числа хромосом в пределах изученного вида осуществляется «стандартным» способом: путем разрывов и слияний (а не за счет размножения каких-либо «паразитических» элементов генома, что тоже случается у некоторых насекомых).
Сравнение нуклеотидных последовательностей нескольких митохондриальных и ядерных генов изученных бабочек подтвердило, что между особями и популяциями с разным числом хромосом нет существенных генетических различий: это действительно один и тот же вид (а не комплекс из нескольких «скрытых» видов или видов-двойников).
Крайне низкий уровень генетического полиморфизма у Leptidea sinapis, наряду с некоторыми особенностями географического распределения генетических вариантов (такими как присутствие наиболее распространенного варианта митохондриального гена COI (Cytochrome oxidase I) во всех без исключения изученных популяциях) свидетельствуют об очень недавней географической экспансии. По оценкам авторов, основанным на определении «времени схождения» генов (см. coalescent theory), последний общий предок всех изученных популяций жил от 8500 до 31 000 лет назад. Похоже на то, что быстрый рост численности и расселение Leptidea sinapis по обширным территориям были приурочены к завершению последнего ледникового максимума, причем экспансия сопровождалась взрывообразным ростом хромосомной изменчивости.
Тот факт, что число хромосом варьирует не хаотически, а закономерно убывает с запада на восток, едва ли может быть случайностью. Причины такой клинальной изменчивости остаются неизвестными, так же как и то, откуда и в каком направлении расселялись бабочки. Хотя особи, живущие по соседству, сохраняют генетическую совместимость невзирая на различия в числе хромосом, вполне возможно, что бабочки из удаленных популяций, у которых число хромосом различается очень сильно, уже стали частично или полностью несовместимыми (это еще предстоит проверить).
Так или иначе, исследование показало, что быстрый рост внутривидовой изменчивости по числу хромосом — реальное явление. Какую роль оно играет в видообразовании — опять-таки покажут дальнейшие исследования, а пока можно лишь констатировать, что теоретически эта роль может быть весьма значительной. Помимо того, что хромосомные перестройки, как уже говорилось, могут стать непосредственной причиной появления частичной или полной генетической изоляции, они также могут способствовать этому косвенно — через ослабление рекомбинации (обмена участками) перестроенных хромосом в процессе кроссинговера (см. Chromosomal crossover).
Схожее явление обнаружили австрийские биологи у коловраток, относящихся к виду Brachionus plicatilis. Эти крошечные (не более 0,3 мм в длину) существа обитают в соленых озерах по всему миру и используются как корм для мальков аквариумных рыбок. Коловратки рода Brachionus в последнее время стали популярным лабораторным объектом (см.: Разнообразная среда способствует половому размножению, однообразная — бесполому, «Элементы», 15.11.2010).
Что касается вида B. plicatilis, то он привлекает внимание исследователей в первую очередь тем, что на нём удобно изучать ранние этапы видообразования. B. plicatilis является единым видом только на первый взгляд. Детальное изучение показало, что в действительности этих коловраток правильнее считать комплексом «скрытых» (криптических) видов, или видов-двойников, которые начали дивергировать (расходиться), по-видимому, несколько миллионов лет назад и уже успели накопить существенные генетические различия.

Понятие «вид» в биологии не имеет строгого и однозначного определения, что естественно, поскольку виды эволюционируют. Биологи используют параллельно несколько разных концепций вида: морфологическую (вид как совокупность особей с примерно одинаковым строением), генеалогическую (вид как обособленная ветвь на эволюционном дереве), биологическую (по признаку наличия или отсутствия репродуктивной совместимости) и др. В зависимости от применяемой концепции число видов в пределах комплекса B. plicatilis оказывается разным.
На основе морфологической концепции эти коловратки были описаны как один вид. Генеалогический подход, основанный на сравнении ДНК, позволил разным авторам выделить от 14 до 22 видов-двойников, которые по морфологии либо вообще неразличимы, либо для их определения требуются большие выборки особей и изощренный статистический анализ. При этом некоторые из видов-двойников заметно отличаются друг от друга по своим экологическим характеристикам: они приспособились к разной температуре и солености.
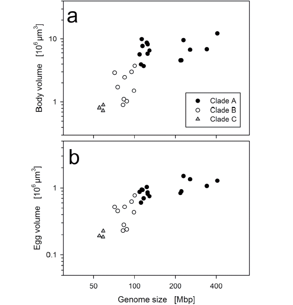
Применение критерия репродуктивной совместимости требует большого количества экспериментов по скрещиванию коловраток из разных популяций. Таких экспериментов пока проведено не очень много, но уже ясно, что «биологических» видов в этом комплексе существенно меньше, чем «генеалогических» (хотя и больше, чем «морфологических»). По-видимому, представители трех основных клад A, B и C (см. рисунок) почти полностью изолированы друг от друга (не дают гибридного потомства и, как правило, даже не спариваются), однако между представителями многих «генеалогических видов», относящихся к одной и той же кладе, возможна гибридизация: в ряде случаев в лаборатории удавалось получить жизнеспособное гибридное потомство.
При помощи метода поточной цитометрии авторы определили размер генома у представителей 33 популяций В. plicatilis из разных районов мира. Размер генома у животных меняется в ходе эволюции в основном за счет разрастания или сокращения некодирующих участков ДНК. Принято считать, что эти изменения, как правило, мало влияют на приспособленность организмов, то есть являются эволюционно нейтральными.
Изученные популяции коловраток относятся к 12 условным «генеалогическим» видам (см. рисунок). Размах выявленной изменчивости по размеру генома оказался поистине потрясающим. Оказалось, что размер генома в разных популяциях В. plicatilis может различаться более чем в семь раз: от 55 до 407 млн пар оснований (п. о.). Число хромосом не подсчитывалось.
Статистический анализ показал, что 67% вариабельности по размеру генома можно объяснить принадлежностью клона к одной из трех основных клад: A, B или C (клон в данном случае — это партеногенетическое потомство одной самки). Еще 25% изменчивости объясняется принадлежностью к тому или иному «генеалогическому виду». На долю внутривидовой изменчивости остается лишь 7% вариабельности. Но это — средние результаты по всем 33 клонам. В одном из генеалогических видов (B. "Austria’) размер генома варьирует в очень широких пределах: от 217 до 407 млн п. о. Скорее всего, здесь не обошлось без полногеномных дупликаций (полиплоидизации).
К сожалению, авторы имели в своем распоряжении только по одному клону коловраток из каждой популяции, и поэтому не смогли выяснить, существует ли у В. plicatilis внутрипопуляционная (а не только межпопуляционная) изменчивость по размеру генома.
Однако имеющиеся данные позволяют утверждать, что значительные различия по размеру генома не являются непреодолимым препятствием для гибридизации. Так, ранее было показано, что один из клонов B. "Almenara’, исследованных в обсуждаемой работе, способен скрещиваться с B. ibericus и давать жизнеспособное гибридное потомство первого поколения (о плодовитости этих гибридов авторы, к сожалению, ничего не сообщают). Теперь выяснилось, что у одного из этих совместимых клонов размер генома составляет 71,4 млн п. о., у другого — 99,1 млн п. о.
Таким образом, даже особи с геномами, различающимися по размеру в 1,4 раза, не обязательно являются репродуктивно изолированными.
Авторы также обнаружили, что размер генома у исследованных клонов положительно коррелирует, во-первых, с размером животных, во-вторых — с размером их яиц, причем вторая корреляция остается статистически значимой после внесения поправок на филогенетическое положение клонов (принадлежность к той или иной кладе и «генеалогическому виду»). Очевидно, что оба признака могут иметь приспособительное (адаптивное) значение, то есть влиять на выживаемость коловраток в различных условиях среды.
С одной стороны, известно, что размер генома, как правило, положительно коррелирует с размером клеток (см.: Малый размер птичьих геномов — наследие эпохи динозавров, «Элементы», 16.03.2007). С другой, для коловраток характерна эутелия (см. eutely) — фиксированное количество клеток во взрослом организме. Из этого следует, что изменение размера генома в принципе может быть для коловраток удобным способом быстро изменить размер своего тела, если такое изменение почему-либо оказывается для них выгодным.

Обе рассмотренных работы оставляют больше вопросов, чем дают ответов, но это общее свойство большинства новаторских исследований. Полученные данные показывают, что на ранних этапах видообразования может наблюдаться резкий рост изменчивости по таким «крупномасштабным» генетическим характеристикам, как число хромосом и размер генома. О причинах и эволюционной роли этих изменений пока можно лишь гадать.
Кроме того, обе работы наводят на мысль, что как число хромосом, так и размер генома в некоторых случаях могут иметь адаптивное значение и эволюционировать под действием отбора. Это противоречит господствующим ныне представлениям, согласно которым оба признака являются преимущественно нейтральными (почти или вовсе не влияют на приспособленность). У бабочек число хромосом убывает с запада на восток, что позволяет предположить связь между этим признаком и недавней географической экспансией вида Leptidea sinapis. У коловраток размер генома коррелирует как с размером самих животных, так и с массой яиц — признаками, наверняка имеющими адаптивное значение.
К схожим выводам о наличии функционального значения у многих особенностей структуры генома, которые традиционно считались адаптивно нейтральными, сейчас начали приходить и некоторые специалисты по биоинформатике и функциональной геномике (см., например, публикации А. Е. Виноградова и О. В. Анацкой из Института Цитологии РАН).
Источники:
1) Vladimir A. Lukhtanov, Vlad Dinca, Gerard Talavera, Roger Vila. Unprecedented within-species chromosome number cline in the Wood White butterfly Leptidea sinapis and its significance for karyotype evolution and speciation // BMC Evolutionary Biology. 2011. V. 11. P. 109.
2) Claus-Peter Stelzer, Simone Riss, Peter Stadler. Genome size evolution at the speciation level: The cryptic species complex Brachionus plicatilis (Rotifera) // BMC Evolutionary Biology. 2011. V. 11. P. 90.
См. также:
Е. Бадьева. О том, как встреча после разлуки завершает видообразование.. Синопсис по статье В. А. Лухтанова «Правило Добржанского и видообразование путем усиления презиготической репродуктивной изоляции в зоне вторичного контакта популяций» // Журнал общей биологии. 2010. Т. 71. №5. С. 372–385.



