
Известно два способа индуцировать сверхпроводимость, то есть создать сверхпроводящий переход в веществе — сильное сжатие исследуемого материала и замена части атомов в нём на специально подобранные химические элементы (допирование). Около года назад группа японских ученых обнаружила возникновение сверхпроводимости под действием воды в пленках SrFe2As2. Объяснить данный феномен исследователи не смогли. Недавно другой коллектив ученых из Японии подтвердил существование этого необычного явления в поликристаллах FeTe0,8S0,2. В серии экспериментов выяснилось, что не только водная среда способна индуцировать сверхпроводящее состояние, но также и алкогольные напитки, среди которых наибольший эффект имеет красное вино.
Экспериментальная наука устроена так, что при обнаружении учеными необычного или не предсказанного теорией эффекта очень важно независимое подтверждение его существования другой группой исследователей. Об одном из таких явлений «Элементы» писали чуть более года назад (см. Вода усиливает сверхпроводимость?, «Элементы», 09.04.2009), когда коллектив японских ученых совершенно неожиданно открыл возникновение сверхпроводимости в изначально несверхпроводящих пленках SrFe2As2, находившихся в течение длительного времени (несколько часов и больше) на открытом воздухе. В серии экспериментов и последовавшей за этим публикации в журнале Physical Review B было показано, что появление сверхпроводящего состояния связано с поглощением данным соединением воды из атмосферы.
И вот недавно в том же журнале независимый коллектив исследователей из Японии опубликовал статью Moisture-induced superconductivity in FeTe0,8S0,2, в которой сообщается об аналогичном эффекте в схожем с SrFe2As2 теллуриде железа, допированном серой FeTe0,8S0,2. Оба эти соединения принадлежат к одному семейству недавно открытых и активно изучаемых железосодержащих высокотемпературных сверхпроводников (см. Открыт новый тип высокотемпературных сверхпроводников, «Элементы», 12.05.2008). Нецелые индексы в химической формуле FeTe0,8S0,2 означают, что 20% атомов теллура подменялись (допировались) атомами серы.
До сих пор было известно два способа добиться сверхпроводящего состояния — допирование и сильное сжатие образца. Можно ли теперь говорить, что появился еще один? На этот вопрос, среди прочего, и попытались дать ответ японские ученые.
Первоначально авторы статьи хотели индуцировать сверхпроводимость в более простом, недопированном, теллуриде железа FeTe. Его внутренняя структура имеет антиферромагнитный порядок расположения атомов в кристаллической решетке. Но специалистам в области сверхпроводимости отлично известно, что магнетизм уничтожает сверхпроводящее состояние вещества. Поэтому, чтобы разрушить магнитное упорядочение в теллуриде железа, его допировали серой — получились поликристаллы FeTe0,8S0,2.
Однако желанной сверхпроводимости свежеприготовленные образцы так и не проявили. Сложно сказать, по какой причине японские ученые снова вернулись к этому соединению, но спустя некоторое время обнаружилось, что, полежав на открытом воздухе, поликристаллы теллурида железа, допированного серой, начали подавать признаки сверхпроводящего перехода. И чем дольше лежали образцы, тем ярче проявлялась сверхпроводимость.
Здесь необходимо сделать несколько важных замечаний. Бытует мнение, что сверхпроводимость — это отсутствие у материала электрического сопротивления (отсюда, собственно, и приставка «сверх» к слову «проводимость»). На самом же деле, назвать вещество сверхпроводящим можно лишь при одновременном выполнении двух условий — уже упомянутом отсутствии сопротивления (или бесконечной проводимости) и идеальном диамагнетизме (невозможность слабого внешнего магнитного поля проникнуть внутрь образца). Следовательно, доказать, что некое вещество является сверхпроводником, можно только с помощью резистивных (зафиксировать нулевое сопротивление) и магнитных (обнаружить идеальный диамагнетизм) экспериментов.
Ученые определяют и другие параметры, среди которых особое место занимает критическая температура (Tc) — температура, при которой вещество переходит из обычного состояния в сверхпроводящее. И хотя этот переход довольно резкий и скачкообразный, однозначно и точно идентифицировать, при какой температуре вещество стало сверхпроводником, очень трудно, потому что существует температурный интервал конечной ширины, на протяжении которого происходит трансформация вещества из обычного состояния в сверхпроводящее. Для некоторых веществ-сверхпроводников интервал может быть очень узким — сотые и тысячные доли кельвина, а может быть и довольно широким — более одного кельвина (такая ситуация обычно имеет место в сверхпроводниках со сложной химической формулой либо с высокой Tc). В связи с этим исследователи часто используют такие характеристики, как
— температура, при которой на графике температурной зависимости сопротивления началось его стремительное уменьшение, и
— температура, которая соответствует уже нулевому сопротивлению образца. Разные экспериментаторы по-своему определяют критическую температуру. Некоторые считают Tc =
, другие полагают критическую температуру равной
, третьи ее определяют как среднее арифметической между
и
. Авторы обсуждаемой статьи в своих экспериментах придерживались второго варианта.
Критическую температуру можно определить также из магнитных исследований — она рассчитывается как температура, при которой наступает идеальный диамагнетизм материала. Здесь она будет обозначаться как
(верхний индекс mag представляет собой сокращенный вариант английского слова magnetic, магнитный).
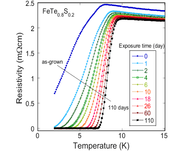
Рассмотрим зависимость удельного сопротивления FeTe0,8S0,2 от температуры (рис. 1), полученную коллективом японских ученых.
На графике видно, что только что синтезированный образец (синяя кривая) демонстрирует лишь признак сверхпроводящего перехода, его удельное сопротивление стало уменьшаться, начиная с температуры 8 K, то есть здесь
= 8 K. Однако утверждать, что теллурид железа, допированный серой, стал сверхпроводником, нельзя, поскольку температура, соответствующая нулевому сопротивлению (
) в ходе экспериментов не наблюдалась. Иными словами, образец всё время демонстрировал ненулевое электрическое сопротивление. Проведенные магнитные измерения также не зафиксировали факта трансформации изучаемого материала в сверхпроводящее состояние.
Зато оно появилось после того, как поликристаллы FeTe0,8S0,2 полежали на открытом воздухе. Более того, чем дольше они находились в атмосфере, тем выше была Tc. Самая высокая критическая температура наблюдалась, как видно из графика, по истечении 110 дней. Ширина сверхпроводящего перехода становилась более узкой и не такой размытой. Магнитные измерения также подтвердили наличие сверхпроводимости в FeTe0,8S0,2 и показали уверенный рост Tc по мере увеличения времени экспозиции образцов на воздухе.
Результаты проведенных резистивных и магнитных измерений авторы статьи суммировали в виде графика, показывающего, как меняются критическая температура и объем, который занимает сверхпроводящее состояние (в процентах от всего объема поликристалла), в зависимости от времени пребывания материала на открытом воздухе (рис. 2). Через 110 дней несверхпроводящий теллурид железа, допированный серой, стал сверхпроводником с Tc приблизительно 8 K и объемом сверхпроводящего состояния около 50%.

Дальнейшая схема исследования у авторов статьи была такой же, как и у их коллег, обнаруживших возникновение сверхпроводимости в SrFe2As2 под действием воды. Они начали помещать образцы FeTe0,8S0,2 сначала в вакуумную камеру на 40 дней, после этого на такой же срок в ограниченное пространство, заполненное исключительно кислородом, а затем водой на 10 дней. Выяснилось, что сверхпроводимость появлялась лишь в случае пребывания данного соединения в водной среде. Кроме этого, удалось установить, что в горячей воде время индуцирования сверхпроводимости в FeTe0,8S0,2 сокращалось до 4 часов. Таким образом, эксперименты однозначно указывали на то, что именно вода является причиной появления сверхпроводимости.
Но на этом исследователи не остановились и решили попробовать выяснить природу и процессов, стимулирующих сверхпроводимость в несверхпроводящем веществе. Проведя рентгеноструктурный анализ поликристаллов, находившихся длительное время на открытом воздухе, ученые обнаружили, что с течением времени поглощение воды приводит к сжатию кристаллической решетки. Это означает, что рождение сверхпроводимости под действием воды нельзя рассматривать как отдельный способ создания сверхпроводящего состояния, поскольку оно фактически эквивалентно возникновению сверхпроводимости под давлением. Однако выяснить, каким образом молекулы воды сжимают кристаллическую решетку и почему этот способ возникновения сверхпроводимости работает для очень ограниченного круга соединений, авторы статьи пока не смогли, честно заявляя о необходимости дальнейших изысканий.
Такие эксперименты не заставили себя долго ждать. Буквально через месяц после публикации своей работы в Physical Review B та же группа японских исследователей в Архиве электронных препринтов поместила статью Superconductivity in FeTe1-xSx induced by alcohol. В ней сообщалось о появлении сверхпроводимости в тех же образцах FeTe0,8S0,2 после того, как их продержали сутки в нагретых до 70°C алкогольных напитках типа пива, красного и белого вина, саке и сётю. Причем обычная смесь воды и этанола при тех же условиях не давала такого сильного эффекта, как их коммерческие варианты (рис. 3).

Резистивные и магнитные исследования показали, что критическая температура поликристаллов FeTe0,8S0,2 слабо зависит от типа алкогольного напитка, в котором они находились: она меняется в диапазоне от 7,1 K для сётю до 7,8 K для красного и белого вина. Что касается объема сверхпроводящего состояния, то разница здесь более ощутима (рис. 3). Авторы статьи установили, что наиболее эффективной средой оказалось красное вино: объем, занятый сверхпроводимостью, по сравнению со случаем стимуляции обычной водой вырастает на 10–60%.
Несмотря на такие неординарные результаты, приблизиться к пониманию механизма возникновения сверхпроводимости ученые так и не смогли. Тем не менее стало ясно, что искать решение проблемы следует путем детального изучения кристаллической решетки FeTe0,8S0,2 и тщательного анализа ее структурных изменений, происходящих под влиянием воды и/или горячих алкогольных напитков.
Источники:
1) Y. Mizuguchi, K. Deguchi, S. Tsuda, T. Yamaguchi, Y. Takano. Moisture-induced superconductivity in FeTe0.8S0.2 // Phys. Rev. B. 81, 214510 (2010).
2) Keita Deguchi, Yoshikazu Mizuguchi, Toshinori Ozaki, Shunsuke Tsuda, Takahide Yamaguchi, Yoshihiko Takano. Superconductivity in FeTe1-xSx induced by alcohol // arXiv:1008.0666.
Юрий Ерин



