
Принято считать, что зеркало способно практически полностью отражать жесткое рентгеновское излучение (с длиной волны порядка 0,1 нм и меньше) только тогда, когда угол скольжения (угол между поверхностью материала и лучом) близок к 0°. Однако теоретические расчеты предсказывают, что поверхность алмаза может отражать свыше 90% (коэффициент отражения 0,9 и больше) рентгеновских лучей, даже падающих на него под прямым углом. Американские физики экспериментально подтвердили теоретические предсказания, показав, что поверхность искусственного алмаза имеет коэффициент отражения приблизительно 0,9. Результаты исследования в будущем могут быть использованы в рентгеновских лазерах нового поколения и других приложениях рентгеновской оптики.
Рентгеновское излучение занимает на шкале электромагнитных волн частотный диапазон от 1016 до 1019 Гц, или, в терминах длин волн, от 10 нм до 0,001 нм. Нередко вместо частотно-волновых характеристик электромагнитных волн оперируют энергией излучаемых фотонов; при таком подходе рентгеновское излучение — это излучение с энергией фотонов приблизительно от 100 эВ до 100 кэВ (приведенные границы задают порядок величин и достаточно условны). Диапазон достаточно широкий, поэтому его принято подразделять на так называемый жесткий рентген (длина волны 0,1 нм и меньше, энергия 10 кэВ и больше) и мягкий рентген.
В последнее время физики стали проявлять к жесткому рентгену большой интерес, связанный прежде всего с созданием новых источников когерентного жесткого рентгеновского излучения — рентгеновских лазеров XFELO (x-ray free electron laser oscillator). По сравнению с предыдущими поколениями подобных устройств, XFELO имеет значительно большую яркость и очень малый разброс (расходимость) по энергии фотонов в рентгеновском луче.
В процессе конструирования таких приборов ученые столкнулись с проблемой создания качественного зеркала — устройства, способного хорошо отражать жесткие рентгеновские лучи. Проблема зеркала для обоих видов рентгеновских лучей важна не только для рентгеновских лазеров, но и в других прикладных исследованиях, например для рентгеновских телескопов.
Основная трудность заключается в том, что из-за большой энергии фотонов жесткий рентген, падающий на поверхность материала перпендикулярно или под углом, близким к 90°, отражается от него крайне слабо (коэффициент отражения близок к нулю). Большая часть излучения либо проходит через материал, либо поглощается, либо происходит и то, и другое. В настоящее время эту проблему пытаются решить путем создания комбинаций и сплавов различных веществ, но добиться существенного прогресса (то есть коэффициента отражения, близкого к единице) пока не удавалось. Отчасти заставить рентгеновские лучи отражаться от вещества удается, направляя их под очень малым углом скольжения — несколько градусов и меньше: угол определяется строением вещества. Лишь при таких углах материал ведет себя как зеркало для рентгеновского «света».
Сравнительно недавно исследователи, занимающиеся рентгеновскими лазерами, предположили, что прекрасным материалом для зеркала в XFELO могут оказаться кристаллы алмаза. Эта гипотеза опирается на теоретические расчеты, согласно которым алмаз имеет чрезвычайно высокий коэффициент отражения (RH) жестких рентгеновских лучей — более 0,9. То есть алмаз отражает свыше 90% падающего на него под прямым углом рентгена (см. рис. 1а). Такое высокое значение RH данная разновидность углерода приобретает благодаря своей идеальной кристаллической структуре. Те же расчеты показывают, что требуемая для такого отражения толщина алмазного зеркаласоставляет порядка 1 мм для очень «жесткого» рентгена (рис. 1b).
Однако чтобы реализовать коэффициент отражения, близкий к единице, необходимо получить монохроматический или почти монохроматический луч — то есть частота (или длина волны, или энергия) всех фотонов должна быть очень близка к некоторому заданному значению. Дело в том, что ширина полосы отражения рентгеновского излучения от алмазного зеркала очень мала.
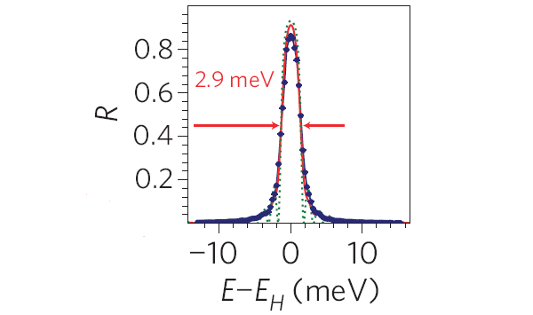
Что такое ширина полосы отражения? Предположим, что в нашем распоряжении есть монохроматический рентгеновский луч с энергией 12,5 кэВ, для которого коэффициент отражений близок к 1. Если отклонить энергию части фотонов от 12,5 кэВ даже совсем незначительно, то коэффициент отражения алмазного зеркала начнет стремительно уменьшаться. Полоса отражения — это характеристика, показывающая, при каком отклонении луча с заданной энергией вверх или вниз по энергетической шкале (или по волновой, или по частотной) его коэффициент отражения упадет до 0,5. Например, для излучения 12,5 кэВ коэффициент отражения, как следует из графика на рис. 1а, приблизительно равен 0,99. Если энергия фотонов в луче станет 12,5 кэВ ± 2 мэВ (миллиэлектронвольт, 1 мэВ = 10–3 эВ), то коэффициент отражения будет равен 0,5. Величина 2 мэВ для излучения с энергией фотонов 12,5 кэВ была получена из графика на рис. 1с. Этот график показывает зависимость ширины полосы отражения ΔЕH жесткого рентгеновского излучения от его энергии.
Если внимательно посмотреть на приведенные на рис. 1 графики, то нетрудно заметить, что зависимости коэффициента отражения, толщины материала и ширины полосы отражения жесткого рентгеновского излучения — дискретные (не непрерывные) кривые. Такая дискретность связана с тем, что рентгеновский луч с данной длиной волны будет отражаться от кристалла только в том случае, если для него выполняется условие Вульфа—Брэгга. Согласно этому условию, отражение, которое известно также как брэгговское, возможно лишь при определенном соотношении периода кристаллической решетки вещества, угла, под которым падает рентгеновский луч (угла скольжения), и его длины волны. Если кристалл располагается так, что условие Вульфа—Брэгга не выполняется ни для одной атомной плоскости, то брэгговского отражения не происходит. Поэтому очень важно, чтобы рентгеновское излучение было монохроматическим и его длина волны, а значит, и энергия, удовлетворяла условию Вульфа—Брэгга.
До недавнего времени никаких экспериментальных подтверждений того, что алмаз прекрасно справляется с ролью зеркала для жесткого рентгена, не было. И вот около месяца назад в журнале Nature Physics появилась статья High-reflectivity high-resolution X-ray crystal optics with diamonds, авторы которой, физики из Аргоннской и Брукхейвенской национальных лабораторий (США), сумели создать отражатель из алмаза для жесткого рентгена.
Авторы статьи использовали для создания рентгеновского зеркала искусственный алмаз типа IIa (по содержанию азота выделяют алмазы двух типов). Эта разновидность примечательна тем, что имеет очень низкий процент примесей, в частности азотных. Чтобы проверить качество изготовленного рентгеновского зеркала, исследователи направляли на кристалл толщиной приблизительно 0,4 мм «практически» монохроматический рентгеновский луч с энергией фотонов 23,7 кэВ. Схема и описание их экспериментальной установки приведены на рис. 2.
Ученые установили, что для излучения 23,7 кэВ коэффициент отражения зеркала составляет, с учетом погрешностей, 0,89 ± 0,015 (рис. 3). Слегка варьируя энергию фотонов в луче, ученые также обнаружили, что ширина полосы отражения равна 2,9 мэВ. Полученные данные прекрасно согласуются с теоретическими расчетами для энергии жесткого рентгена 23,7 кэВ, которая дает коэффициент отражения 0,9 и ширину полосы отражения 2,8 мэВ.

Таким образом, рекордно высокий коэффициент отражения жестких рентгеновских лучей, а также высокая прочность и очень малое термическое расширение делают алмаз потенциально привлекательным для использования в рентгеновской оптике. Причем это касается не только нового поколения рентгеновских лазеров, но также рентгеновских интерферометров Фабри—Перо, рентгеновской спектроскопии и других приложений.
Источник: Yuri V. Shvyd’ko, Stanislav Stoupin, Alessandro Cunsolo, Ayman H. Said, Xianrong Huang. High-reflectivity high-resolution X-ray crystal optics with diamonds // Nature Physics. Published online: 17 January 2010.
См. также: Кузьмин Р.Н. Рентгеновская оптика // Соросовский образовательный журнал, 1997, №2, с. 92–98.
Юрий Ерин



