
Химики предполагают, что на заре жизни углеводы синтезировались из простых молекул в ходе автокаталитической реакции Бутлерова. Однако в стандартных условиях эта реакция производит смесь из множества разнообразных сахаров, среди которых молекулы, необходимые для жизни, составляют лишь доли процента и существуют недолго. Оказалось, что в присутствии силиката натрия — вещества, входящего в состав многих горных пород, — реакция Бутлерова становится более упорядоченной и предсказуемой, а получающиеся сахара обретают стабильность.
В начале 1860-х годов великий русских химик А. М. Бутлеров открыл химическую реакцию, в ходе которой простейшее органическое вещество формальдегид (CH2O) в щелочной среде самопроизвольно превращается в смесь разнообразных сахаров. Некоторые продукты этой реакции (например, гликольальдегид CH2(OH)CHO) являются ее же катализаторами. Это значит, что реакция Бутлерова — автокаталитический процесс, способный сам себя поддерживать.
Главный субстрат этой реакции — формальдегид — обнаружен на других небесных телах и в межзвездном пространстве, и даже молекулы, способные стать «каталитической затравкой» для реакции Бутлерова, такие как гликольальдегид, нередки в космосе. Всё это делает реакцию Бутлерова очень перспективным кандидатом на роль механизма, обеспечившего зарождающуюся жизнь необходимыми сахарами.
Дело, однако, осложняется тем, что реакция Бутлерова производит не какие-то конкретные сахара, необходимые для жизни, а сложнейшую смесь, включающую чуть ли не все мыслимые молекулы сахаров во всех их стереохимических вариантах. Между тем в состав живых организмов входит лишь очень небольшая часть этого разнообразия, причем это почти исключительно «правые» сахара, а реакция Бутлерова производит в равной пропорции как «правые», так и «левые» молекулы (см. хиральность). Нужные для жизни сахара, такие как рибоза (входящая в состав РНК), обычно составляют лишь доли процента среди продуктов реакции Бутлерова. К тому же все эти продукты нестабильны: они продолжают реагировать с другими компонентами реакционной смеси и превращаться в другие молекулы, и поэтому каждый отдельный сахар существует недолго и не может накапливаться. Чтобы получить какой-то конкретный сахар в сколько-нибудь заметном количестве, реакцию приходится насильственно останавливать в строго определенный момент.
Химики активно работают над решением этих проблем и уже нашли ряд способов сделать реакцию Бутлерова менее хаотичной. Об этом подробно рассказано в статье В. Н. Пармона «Новое в теории появления жизни». В частности, добавление цианамида, соединений бора и фосфора позволяет сделать синтез сахаров более избирательным. Проблема хиральности, по-видимому, тоже вполне разрешима. Отбору молекул углеводов с определенными оптическими свойствами могут способствовать алюмосиликаты, входящие в состав глин (R. M. Hazen, D. S. Sholl. Chiral selection on inorganic crystalline surfaces // Nature Materials. 2003. V. 2. P. 367–374).
Но как быть с проблемой нестабильности продуктов реакции? Важный шаг к ее решению сделали химики из Северо-Западного университета в Эванстоне (США), о чём сообщается в статье, опубликованной в последнем выпуске журнала Science.
Авторы показали, что ход реакции Бутлерова становится намного более упорядоченным, а ее продукты обретают стабильность, если в реакционной смеси присутствуют силикаты (соли кремниевой кислоты). Силикаты входят в состав самых распространенных минералов земной коры, а также других твердых небесных тел, включая Луну и астероиды. В щелочной среде (pH = 9 и выше), в которой идет реакция Бутлерова и которая встречается, например, в вулканических источниках, силикаты легко растворяются.
Ранее было показано, что пяти- и шестиуглеродные сахара образуют с силикатами устойчивые комплексы. Это и навело авторов на мысль о том, что реакцию Бутлерова можно стабилизировать при помощи силикатов. Их догадка блестяще подтвердилась. В экспериментах в качестве исходных субстратов использовались формальдегид (с одним атомом углерода), двухуглеродный гликольальдегид и трехуглеродный глицеральдегид в разных комбинациях. На выходе получались в основном четырех-, пяти- и шестиуглеродные сахара, причем их разнообразие было существенно ниже, чем без добавления силикатов, а конечные продукты были на редкость стабильны. В «обычных» условиях продукты реакции Бутлерова через полчаса после начала реакции радикально отличаются от того, что обнаруживается в реакционной смеси через 12 часов. В присутствии силикатов эта разница радикально уменьшилась.
Обнаруженные эффекты объясняются тем, что силикаты избирательно присоединяют к себе некоторые сахара (по две молекулы сахара на один атом кремния), причем образующиеся комплексы уже не участвуют в дальнейших химических превращениях. Те молекулы сахаров, структура которых не позволяет им присоединиться к силикату, продолжают изменяться до тех пор, пока не приобретут такую способность. Тогда они тотчас же образуют сахарно-силикатный комплекс и выпадают из дальнейших превращений. Таким образом, силикаты осуществляют своеобразный отбор сахаров, а «избранным» молекулам придают устойчивость, которой лишены остальные сахара. В результате в растворе накапливаются молекулы сахаров определенного типа. Их можно потом отделить от силиката, уменьшив pH среды, и получить таким образом «чистые» сахара.

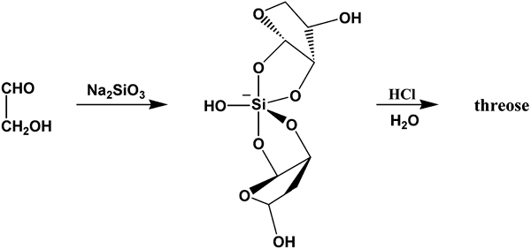
Чтобы сахар мог присоединиться к силикату, его молекула должна иметь определенную структуру. Она должна включать не менее четырех атомов углерода, быть замкнута в кольцо и иметь две соседние гидроксильные группы (–OH), повернутые в одну и ту же сторону (у молекул на рис. 1 такие гидроксильные группы есть у атомов углерода, помеченных цифрами 1 и 2). Таким образом, отбор осуществляется в том числе и по стереохимическим признакам, хотя проблему хиральности это не решает (силикаты не всегда отдают предпочтение «правым» сахарам). Авторы уверены, что с хиральностью им помогут справиться алюмосиликаты, с которыми они сейчас работают, а данная статья посвящена решению другой проблемы — стабильности.
Состав сахаров, получаемых в реакции Бутлерова в присутствии силикатов, зависит от состава исходной смеси. Например, если там изначально был только двухуглеродный сахар (гликольальдегид), то на выходе получаются в основном два четырехуглеродных сахара — треоза и эритроза (рис. 1). Это резко контрастирует с огромным разнообразием продуктов, получаемых в ходе «обычной» реакции Бутлерова без добавления силикатов.
Если в исходной смеси, кроме гликольальдегида, есть также глицеральдегид (трехуглеродная молекула), то на выходе получаются четырех-, пяти- и шестиуглеродные сахара. Аналогичный состав продуктов получается из смеси формальдегида с гликольальдегидом или из смеси всех трех исходных веществ. Если изначально в растворе был только глицеральдегид, получаются почти исключительно шестиуглеродные сахара. Исходные молекулы слишком малы, чтобы присоединиться к силикату, поэтому они начинают соединяться друг с другом, образуя сахара с числом атомов углерода от 4 до 6. Как только появляется молекула, структура которой позволяет ей образовать комплекс с силикатом, этот комплекс немедленно образуется, и сахар стабилизируется. Поэтому молекулы с большим числом атомов углерода (7, 8, 9, 10 и т. д.), не нужные для зарождения жизни, но весьма характерные для «обычной» реакции Бутлерова, в присутствии силикатов просто не успевают образоваться.
Таким образом, авторы нашли весьма изящное решение проблемы стабильности сахаров, образующихся абиогенным путем. Это решение к тому же является весьма правдоподобным, потому что силикаты есть повсюду, и их включение в модели абиогенеза совсем не похоже на «рояль в кустах» или «Бога из машины». В этом смысле данная работа напоминает другое недавнее открытие — простой способ абиогенного синтеза рибонуклеотидов в присутствии фосфата (см.: Химики преодолели главное препятствие на пути к абиогенному синтезу РНК, «Элементы», 18.05.2009).
Источник: Joseph B. Lambert, Senthil A. Gurusamy-Thangavelu, Kuangbiao Ma. The Silicate-Mediated Formose Reaction: Bottom-Up Synthesis of Sugar Silicates // Science. 2010. V. 321. P. 984–986.
См. также:
1) В. Н. Пармон. Новое в теории появления жизни.
2) Химики преодолели главное препятствие на пути к абиогенному синтезу РНК, «Элементы», 18.05.2009.
3) Тайна происхождения жизни скоро будет разгадана?, «Элементы», 12.01.2009.
4) Гидротермальные источники — колыбель жизни на Земле?, «Элементы», 30.10.2006.
5) Зарождение жизни.



