
Исследование голландских климатологов показало, что ключевую роль в изменении длительности ледниковых периодов, произошедшем 1 млн лет назад, сыграли массивные североамериканские ледники.
В течение последних миллионов лет климат на Земле регулярно колебался между холодными и теплыми периодами (оледенениями и межледниковьями). В фазе оледенения значительную часть континентов в северном полушарии занимали огромные ледниковые щиты, а в межледниковьях они таяли или отступали в приполярные области. Сейчас мы живем в довольно кратковременный (по геологическим меркам) период межледниковья, хотя еще 20 тыс. лет назад на Земле наблюдался максимум оледенения последнего ледникового периода.
Темп смены глобальных похолоданий и потеплений не оставался всё это время постоянным. С момента начала четко выраженного колебательного режима (примерно 2,7 млн лет назад) и примерно до 1 млн лет назад оледенения происходили примерно каждые 40 тыс. лет. Однако затем произошло нечто, и ритм ледниковых периодов замедлился до одного в 100 тыс. лет. Кроме того, заметно усилилась амплитуда климатических колебаний, то есть разница между холодным и теплым климатическими периодами (см. рис. 2).
Из-за чего в принципе происходят ледниковые периоды, климатологи понимают — из-за изменения параметров земной орбиты и вызываемого этими изменениями колебания потока солнечного света, падающего на Землю. Но вот почему колебательный режим изменил свой темп миллион лет назад — это остается предметом жарких споров.
В частности, разобраться в этой проблеме могло бы помочь прояснение роли ледников в смене теплых и холодных периодов. Конечно, ледники (или их отсутствие) помогают удерживаться в состоянии холодного или теплого климата, но какова их роль в моменты наступления оледенений и межледниковий?
Ответить на этот вопрос трудно из-за отсутствия прямых данных по объему ледников в течение достаточно длительного времени. Поэтому все выводы приходится делать на основании данных по изотопному составу придонных океанических отложений (а конкретно, величине δ18O, характеризующей относительное содержание изотопа кислорода-18). Эта величина зависит как от средней δ18O по всему океану, так и от локальной придонной температуры на момент осаждения этих отложений. Если бы эти два фактора удалось однозначно разделить и выделить средне-океаническое значение δ18O, то отсюда можно было бы извлечь и объемы ледников.
Именно это научились делать (правда, модельно-зависимым способом) голландские климатологи, чья статья появилась на днях в журнале Nature. Результаты их работы четко указывают на ключевую роль североамериканского ледникового щита в этом переходе.
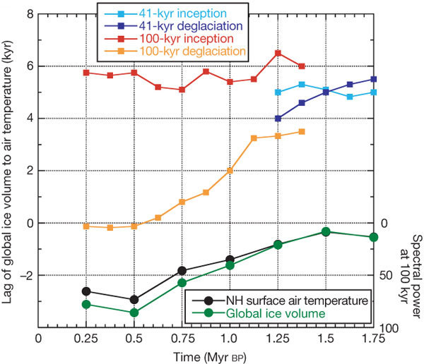
Для того чтобы разделить два фактора, авторы построили модель динамики ледовых щитов и глубинных океанических вод и с помощью них описали данные по δ18O. Это позволило им получить отдельные графики приповерхностной температуры и объема ледниковых шапок в Северном полушарии в течение последних 3 млн лет. На обоих этих графиках были четко видны колебания, связанные с ледниковыми периодами. Сопоставив два графика, исследователи могли выяснить, что наступало раньше — изменение температуры или изменение объема ледников, и с какой задержкой.
Оказалось, что изменения температуры, как в сторону понижения (при начале очередного оледенения), так и в сторону повышения (при наступлении очередного межледниковья) почти всегда предшествовали соответствующим изменениям в объеме континентальных ледников. Однако сдвиг по времени между этими моментами был разным (см. рис. 3).

В эпоху сорокатысячелетних ледниковых периодов (то есть раньше, чем 1 млн лет назад) эта задержка составляла 4–5 тыс. лет (см. голубую и синюю линии, которые отвечают наступлению оледенений и потеплений соответственно). Это означает, что ледники послушно росли или уменьшались вслед за изменениями температуры — то есть они играли пассивную роль в климатических изменениях.
Однако затем, в эпоху стотысячелетних ледниковых периодов, ситуация изменилась. Если момент наступления ледников по-прежнему запаздывал примерно на 6 тыс. лет по сравнению с моментом похолодания (красная ломаная), то момент исчезновения ледников практически совпадал с моментом потепления (оранжевая ломаная).
Это означает, что межледниковье наступало лишь тогда, когда это позволяли сделать ледники. Иными словами, континентальные ледники северного полушария превратились из простого зрителя в активного участника ледниковых колебаний. Такое могло произойти благодаря тому, что ледники стали достаточно большими, обрели большую климатическую «инерцию». По мнению авторов, именно в этом и кроется причина перехода к более медленному режиму климатических колебаний.
Итак, согласно результатам этой работы, ледниковые периоды происходили следующим образом. Последние миллионы лет Земля постепенно остывала и примерно 2,7 млн лет назад остыла до такой степени, что в полярных широтах Северного полушария, как в Евразии, так и в Северной Америке, стали образовываться отдельные массивные ледники. Умеренно высокие широты (50–70°с.ш.) там, где проходили границы этих ледников, стали «болевой точкой» климата — слегка «надавливая» на нее с периодом 40 тыс. лет, Солнце заставляло эти ледники исчезать и вновь появляться.
Однако по мере дальнейшего постепенного остывания планеты континентальные (и прежде всего, североамериканские) ледники объединились и стали настолько массивными, что могли пережить даже минимум сорокатысячелетнего цикла. Заставить ледники отступить (а значит, начать новое межледниковье) могло лишь совместное действие нескольких факторов, которое происходило реже, примерно раз в 100 тыс. лет. Именно поэтому оледенения переключились на более медленный темп.
Авторы признают, что все эти выводы модельно-зависимы — они опираются на выбранный метод обработки данных по δ18O, и поэтому не могут считаться окончательным ответом на этот вопрос. Однако, по крайней мере, впервые доказано, что североамериканский ледовый щит мог играть ключевую роль в изменении темпа оледенений. Подтвердить это могут лишь новые данные или более совершенные метода анализа.
Источник: R. Bintanja, R. S. W. van de Wal. North American ice-sheet dynamics and the onset of 100,000-year glacial cycles // Nature. V. 454. P. 869–872 (14 August 2008).
См. также:
1) Климат Антарктиды в течение последних 800 тысяч лет определялся изменениями орбиты Земли, «Элементы», 17.08.2007.
2) M. A. Maslin, A. D. Ridgwell. Mid-Pleistocene Revolution and the "eccentricity myth’ // Geological Society, London, Special Publications; 2005. V. 247. P. 19–34. PDF, 767 кб.
3) И. Иванов Раздел физики, родившийся из ошибки, «Элементы».



