
Шведские ученые в ходе остроумного эксперимента показали, что у бактерий имеются средства для уменьшения вреда, приносимого накапливающимися в геноме мутациями. Пока мутаций мало, жизнеспособность снижается пропорционально их числу, но при дальнейшем накоплении мутаций снижение жизнеспособности все более замедляется.
Группа ученых во главе с Даном Андерссоном (Dan Andersson) из Университета Уппсалы (Швеция) задалась вопросом: как меняется жизнеспособность организма в ходе накопления в геноме случайных мутаций? Для своего эксперимента ученые создали настоящее чудо генной инженерии — бактерию с регулируемой скоростью мутагенеза. Чтобы понять, как им это удалось, необходимо сделать маленькое отступление.
Еще недавно биологи были убеждены, что возникновение мутаций — процесс абсолютно случайный и ненаправленный. Сейчас известно, что это не совсем так. Живая клетка, конечно, не может «рассчитать», какое именно изменение генома ей в данный момент выгодно, и не может перекроить свои гены по заранее намеченному плану. Но иногда бывает выгодно увеличить частоту возникновения случайных мутаций во всем геноме или в отдельных его участках. И делать это клетки умеют. Например, у кишечной палочки обнаружены так называемые SOS-гены, включающиеся в некоторых экстренных случаях. Один из них — ген dinB — кодирует склонную к ошибкам ДНК-полимеразу (белок, управляющий созданием копий молекул ДНК). Активизация гена dinB приводит к резкому увеличению частоты мутаций. В некоторых смертельно опасных ситуациях это может оказаться спасительным для гибнушей популяции микробов: вдруг какой-то из возникших мутантов окажется более жизнеспособным в данных условиях?
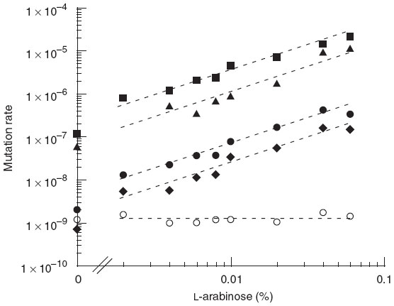
Именно этот ген dinB и был использован для создания микроба с регулируемой скоростью мутирования. Ученые соединили ген dinB с промотором, индуцируемым сахаром арабинозой (промотор — регуляторный участок ДНК, от строения которого зависит, в каких ситуациях и с какой интенсивностью будет работать соседний с ним ген или группа генов). Получившуюся конструкцию вставили в геном бактерии Salmonella typhimurium. Это дало возможность очень тонко регулировать скорость мутагенеза генно-модифицированной бактерии, просто меняя концентрацию арабинозы в среде. Чем больше арабинозы, тем активнее работает ген dinB и тем больше ошибок-мутаций происходит при репликации (копировании) молекулы ДНК.

Авторы показали, что мутации у модифицированной бактерии происходят случайным образом и распределяются более или менее равномерно по всему геному.
Жизнеспособность бактерий-мутантов оценивалась по скорости их размножения. Оказалось, что по мере накопления мутаций жизнеспособность сначала снижается быстро, но в дальнейшем, когда число мутаций переваливает за 3-5 десятков, снижение жизнеспособности очень резко замедляется.

Авторы предположили, что снижение вредоносности мутаций по мере роста их числа может быть связано с деятельностью белков-шаперонов, обеспечивающих правильное сворачивание (укладку) других белковых молекул. Повышение числа мутантных (и потому неправильно «свернутых») белков в клетке может привести к росту производства шаперонов, которые иногда способны помочь даже «испорченному» белку свернуться правильно. Для проверки этого предположения были измерены концентрации шаперонов у бактерий с разным числом накопившихся мутаций. Оказалось, что в линиях с большим числом мутаций уровень шаперонов действительно резко повышен.
Таким образом, живая клетка в некоторых случаях способна не только регулировать скорость мутирования своего генома, но и эффективно справляться с вредоносным действием возникших мутаций.
Важность открытия в том, что наличие подобных компенсаторных механизмов дает организмам возможность без чрезмерного ущерба для себя накапливать мутации, которые могут в дальнейшем «пригодиться» естественному отбору для создания новых форм жизни. Ведь любая мутация, вредная сегодня, может оказаться полезной завтра, когда условия переменятся.
Источник: Nature Genetics, т. 37. №12 (декабрь 2005), стр. 1376-1379.
См. также:
Эволюция на основе случайности или закономерности?.
В. А. Ратнер. Факторы и ограничения молекулярной эволюции (о факторах, придающих эволюции на молекулярном уровне не совсем случайный характер).
Английская статья о SOS-генах (механизм экстренной активизации мутагенеза в критических условиях).



