Игорь Акулич
«Квантик»№2, 2024

В 1872 году доктора Канехиро Такаки назначили врачом японского флота. Потом он был послан на несколько лет на усовершенствование в Англию и вернулся в 1880 году. Ему пришлось заняться ужасной новой болезнью бе́ри-бе́ри, которая поражала матросов в японском флоте. При этой болезни человек страшно слабеет, худеет до истощения, теряет память и в конце концов умирает. Тогдашняя наука считала эту болезнь инфекционной.
Довольно быстро Такаки обнаружил, что болезнь распространена очень избирательно: ею никогда не болели матросы на европейских кораблях, а на япоских болели только матросы, но не офицеры.

Неочищенный рис (слева) содержит в кожуре витамин B1, в очищенном рисе (справа) он отсутствует

Образ жизни матросов на европейских и японских кораблях не отличался, и Такаки предположил, что дело в рационе японских матросов. На японских кораблях рис выдавали бесплатно, а всякую другую еду надо было покупать. Только недавно, в 1861 году, английский изобретатель Сэмпсон Мур изобрёл машину для очистки риса от кожуры. Эта машина стала популярна в Японии, и матросов кормили очищенным, белым рисом, который ценился выше. Матросы, в основном из бедных семей, посылали деньги семьям, а сами жили на одном белом рисе.
В 1883 году военный корабль «Рюдзё» совершил 9-месячную экспедицию в Новую Зеландию, Южную Америку и Гавайи. Из 267 членов экипажа 169 заболели бери-бери, 25 умерли. Такаки предположил, что белый рис не содержит какого-то необходимого питательного элемента и что он есть в пище, которую покупали офицеры. Он написал письмо императору с просьбой позволить ему в виде эксперимента добавить к рациону немного мяса, сгущённого молока и ячменя. Такаки сам отправился на корабле, чтобы лично проследить за соблюдением рациона. И действительно, на корабле «Цукуба», совершившем такое же плавание, заболело всего 14 человек из более чем 300. Все они по своим причинам не ели мяса.

Фотографии из статьи 1918 года
Успех был решительным, и командование флота распорядилось разнообразить пищу матросов. Но флот — это флот, а есть ещё и армия. И руководство армии наотрез отказывалось принять рекомендации Такаки: крупнейшие профессора-медики утверждали, что бери-бери — инфекционная болезнь. Известный японский профессор в 1885 году опубликовал статью об открытии бактерии-возбудителя бери-бери. В последующие годы другой японский учёный — ученик Роберта Коха — опубликовал статью, опровергающую открытие бактерии, но препирательства продолжались.

Бери-бери болели не только японские матросы. Благодаря техническому прогрессу шлифованный рис стал настолько дёшев, что продавался по такой же цене, как раньше неочищенный, и все стали его покупать. Это ударило по беднякам, которые питались только им — в Китае, Индонезии и других странах риса. Индонезия тогда была голландской колонией, и поэтому голландские врачи стали изучать новую болезнь.
В 1897 году голландец Эйкман уже подробно изучил и доказал, что бери-бери происходит от нехватки какого-то элемента питания и полностью излечивается, если давать больному отвар из кожуры неочищенного риса. Годом позже Фредерик Хопкинс сформулировал, что пища содержит микродобавки, необходимые для жизни. В 1912 году эти добавки назвали витаминами (от лат. vita — жизнь). Эйкман и Хопкинс в 1929 году получили Нобелевскую премию, Такаки к этому моменту уже не было в живых.
Особенность дефицита витаминов — то, что выздоровление наступает очень быстро, иногда в течение нескольких часов после того, как человек или животное получает витамин. На верхней картинке — крыса, которую держали на диете без витамина B1. Она весит 54 грамма вместо положенных 120. На нижней — та же самая крыса через 23 часа после того, как ей стали давать экстракт из пшеничных зародышей, обогащённый витамином B1.

Тиамин
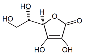
Вещество, которого не хватало в очищенном рисе, называется витамин B1, или тиамин. Животные и люди не умеют его сами производить и должны получать с пищей, взрослый человек — примерно 1 миллиграмм в день. Это очень небольшое количество, но без него человек не может существовать. Производное из него вещество тиамин пирофосфат служит коферментом в некоторых важных ферментативных реакциях. Если этот ферментативный путь не работает, клетка не может усваивать пищу, даже если этой пищи хватает.

Несмотря на то, что витамин B1 был уже открыт, руководство японской армии продолжало настаивать, что бери-бери — инфекционная болезнь, и в начале русско-японской войны в 1904 году 80 тысяч японских солдат были отправлены в тыл из-за того, что заболели бери-бери, а 10% из них умерло.
Только в феврале 1905 года, после долгих межведомственных препирательств, японский министр обороны распорядился изменить рацион в армии и добавлять к рису ячмень, к большому неудовольствию солдат. Одновременно те же изменения ввели в тюрьмах, тоже к большому неудовольствию заключённых.
Но ещё в 1942 году американцы, захватывая в плен японских солдат на разных отдалённых островах, к своему удивлению, находили много больных берибери. Причина была организационной. Американские солдаты получали готовые индивидуальные порции, которые можно было есть холодными или разогревать. А в японской армии продукты выдавали оптом, на целую часть. Повара, конечно, получали инструкции, что к белому рису надо добавить столько-то ячменя, но на практике в боевых условиях солдаты нередко готовили себе сами и брали только рис.

Аскорбиновая кислота
Формально аскорбиновую кислоту называют витамином С. Человеческий организм не умеет его производить и не может без него существовать. Но есть существенное отличие.

Для большинства животных это не витамин, поскольку образуется в процессе обмена веществ. У человека для синтеза аскорбиновой кислоты не хватает гена всего одного фермента: L-гулонолактоноксидазы (ГУЛО). Ферменты — это белки, которые катализируют, то есть ускоряют, те или иные химические реакции в организме. Правильнее, вероятно, сказать «осуществляют» — без них во многих случаях эти реакции вообще не могли бы произойти. Названия почти всех ферментов традиционно оканчиваются на -аза, а перед этим обычно идёт длинное слово, описывающее химическую реакцию, которую осуществляет этот фермент.
L-гулонолактоноксидаза окисляет L-гулонолактон кислородом, и образуется аскорбиновая кислота.
На месте, где у других животных находится ген ГУЛО, у человека находится псевдоген. То есть там есть последовательность ДНК, похожая на ген ГУЛО, но она содержит такие мутации, что фермент не может быть синтезирован. Люди в этом не одиноки: гена ГУЛО нет у всех обезьян, его нет у костистых рыб, у птиц отряда воробьиных, у морских свинок. Его нет у некоторых летучих мышей, причём в отряде летучих мышей он независимо исчезал несколько раз.

Непонятно, с чем связано такое частое его исчезновение, но, конечно, оно возможно потому, что большинство животных получают аскорбиновую кислоту из пищи. Её нужно совсем немного: взрослым людям — 60 — 90 мг в день. Она есть, хотя и в разных количествах, почти в любой сырой пище. Проблема возникает у людей, когда они оказываются в условиях, где нет свежих овощей и фруктов, а вся пища термически обработана или высушена: в дальних плаваниях, осаждённых городах, лагерях за колючей проволокой...
В рассказе Джека Лондона «Ошибка Господа Бога» из серии рассказов про Смока Беллью большая группа сектантов во главе со своей «пророчицей» отправились на Аляску, чтобы разбогатеть. По неопытности они обменяли свои запасы сырого картофеля на сушёный, не содержащий витамина С, — и все заболели цингой. Только один негодяй, который руководил хозяйством секты, не заболел. Герои рассказа понимают, что у него, вероятно, хранится небольшой запас сырого картофеля, отбирают его и спасают больных.

Всю долгую ночь, снова и снова сменяя друг друга, Смок и Малыш давали больным картофельный сок, втирали его в распухшие дёсны, в которых шатались и постукивали зубы, и заставляли несчастных тщательно глотать каждую каплю драгоценного эликсира.
Назавтра к вечеру в состоянии обоих пациентов произошла чудесная, прямо невероятная перемена. Они уже не были самыми тяжёлыми больными в лагере. Через сорок восемь часов, когда была выпита последняя капля картофельного сока, оба они оказались вне опасности, хотя и далеки ещё от полного выздоровления.
Среди разных химических реакций, для которых нужна аскорбиновая кислота, — «перешивание» между собой молекул коллагена, основного белка соединительной ткани. На рисунке на с. 15 показана цепь химических реакций, которая приводит к «перешиванию» коллагена. Центральная реакция в этом процессе — окисление аминокислоты лизина ферментом лизилоксидазой. Вот для этого процесса совершенно необходима аскорбиновая кислота. В её отсутствие коллаген не перешивается, и соединительная ткань становится менее прочной. В первую очередь это проявляется в стенках сосудов — сосуды становятся ломкими и у человека происходят внутренние кровотечения, зубы оказываются плохо прикреплёнными к надкостнице, начинают качаться и выпадать. Болезнь, связанная с дефицитом аскорбиновой кислоты, называется цингой.

История цинги, так же как история бери-бери — это история медицинской косности. Первое упоминание о цинге в египетском медицинском «папирусе Эберса» предлагает правильное лечение чесноком. Но Гиппократ, а за ним европейская наука, считали цингу инфекционной болезнью. С XVI века ходили слухи, что фрукты помогают от цинги, и Британская Ост-Индская компания рекомендовала давать матросам лимоны. Но это считалось предрассудком, а передовая медицинская наука считала, что цинга — это эпидемия, вызываемая грязью или плохими условиями.
Английский адмирал Ансон был хорошо образованным аристократом и прекрасно знал, что, по мнению учёных, цинга бывает от грязи и антисанитарии. Он всячески боролся за то, чтобы на его кораблях была идеальная чистота. Поэтому в его кругосветном путешествии (1740 — 1744 гг.) из 1900 человек умерло 1400.
А знаменитый путешественник Джеймс Кук — выходец из самых низов, сын батрака — начинал с того, что служил юнгой на корабле, перевозившем уголь. Он впоследствии хорошо обучился навигации и астрономии, необходимым капитану, но в других вопросах он руководствовался здравым смыслом. На его кораблях всегда стояла бочка с кислой капустой, и матросы могли её оттуда брать. В его трёх кругосветных путешествиях (1768 — 1779 гг.) никто никогда не болел цингой.
Художник Мария Усеинова

Канехиро Такаки