Леонид Ашкинази
«Квант» №10, 2019
Начало в «Кванте» № 8, 2019.
На рисунке 5 представлены фотографии двух образцов — из монокристалла CaF2 и нанокерамики (поликристалла) CaF2 : Ce3+. Оба образца — абсолютно прозрачные!
Теперь обсудим преломление. У газов коэффициенты преломления мало отличаются от единицы, и они вообще мало кого волнуют — кроме астрономов. Откройте зимой окно и посмотрите, как елозит пейзаж, или просто посмотрите вверх, вспомнив не знаю кем сказанное «человек отличается от животного тем, что иногда поднимает глаза к небу», и заметьте, как загадочно подмигивают начинающим интересоваться физикой звезды. И задумайтесь, почему елозит пейзаж и подмигивают звезды... Хаотичное (турбулентное) движение в атмосфере потоков воздуха с разной температурой, а значит с разными плотностью и коэффициентом преломления, и вызывает дрожание и размывание изображения. У астрономов есть такое понятие — астроклимат, т.е. атмосферные условия, влияющие на качество изображений, куда входит и однородность воздуха.
Жидкости с высокими коэффициентами преломления n называют «иммерсионными» (от латинского immersio — ‘погружение’). Их применяют для определения показателей преломления, для чего прозрачную частичку исследуемого вещества помещают в иммерсионные жидкости с известными n — при равенстве показателей преломления частичка делается невидимой. Стандартные наборы состоят из 30–100 таких жидкостей с коэффициентами преломления от 1,4 до 2,1, но твердые вещества берут верх. Хотя стекла еле дотягивают до n = 1,9, но у алмаза n = 2,4, рядышком с ним — титанаты кальция и стронция и иодид таллия (n = 2,4), оксид титана (n = 2,5) и почти рекордсмен карбид кремния SiC (n = 2,6). Именно поэтому SiC, муассанит, используется как имитатор бриллиантов в украшениях (для этого также используется фианит ZrO2 с добавками, но у него n поменьше). Недавно было синтезировано соединение Al3C2B48 с рекордным значением n = 2,9–3,1, но про него еще мало что известно.
Освоив оптический диапазон, человек стал распространяться на соседние участки электромагнитного спектра. Для этого ему потребовались прежде всего оптические материалы, в частности — прозрачные для всякого рода окошек и преломляющие для линз и призм. Иными словами, потребовался материал, прозрачный в соответствующей области спектра, т.е. не слишком сильно поглощающий излучение. Упрощая, можно сказать, что обычное стекло прозрачно в диапазоне 0,35–2 мкм, т.е. ультрафиолет (УФ) оно не пропускает, а инфракрасное излучение (ИК) пропускает частично. Конечно, эти значения, приводящиеся в справочниках, условны — достаточно тонкая пленка любого материала пропустит любое излучение. Но обычно оптики работают с миллиметрами и требуют пропускания большей части излучения. Естественное решение — кварц. И вот диапазон расширяется в сторону УФ до 0,2 мкм. Есть особые сорта стекол с немного большим доступом в ИК. На этом возможности стекол исчерпаны. В сторону УФ чуть дальше кварца забираются BaF2, MgF2 и LiF — примерно до 0,12 мкм. Со стороной ИК дела обстоят лучше: материалов много, а рекордсменом будет CsI — он добирается примерно до 60 мкм. Практически непрерывно прозрачен алмаз. Вообще же, оптические материалы при увеличении длины волны прозрачны в основном начиная с 200–300 мкм, SiO2 — с 100 мкм, ZnS — с 50 мкм. Таким образом, самая сложная область — десятки микрометров. Что касается коэффициента преломления, то для материалов ультрафиолетового диапазона он составляет около 1,4, для инфракрасного — группируется вокруг 1,7. Исключения — Si (n = 3,4), Ge (n = 4,1) и, конечно, алмаз.

Рис. 6
На рисунке 6 приведены прозрачности некоторых оптических материалов (отложены по оси ординат) и указаны соответствующие толщины образцов. А на рисунке 7 проиллюстрированы два примера использования материалов, прозрачных вне оптического диапазона. Это микросхема памяти с кварцевым окошком для стирания информации ультрафиолетом и линза из хлорида калия KCl для работы в инфракрасном диапазоне.
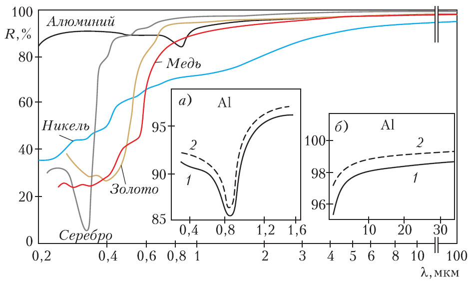
Если все-таки говорить о пластинках толщиной в миллиметры, то для волн короче 0,1 мкм с прозрачными материалами дела обстоят плохо, т.е. почти никак. Поэтому приходится довольствоваться отражательной оптикой. Но и тут все не здорово — металлы в диапазоне УФ отражают плохо. Например, Ag при длине волны более 0,4 мкм отражает, как и положено хорошему металлу, 90% и более, но при 0,25 мкм отражает только 30%. С остальными металлами дело обстоит еще хуже, разве что Al, причем именно при 0,25–0,4 мкм, ведет себя лучше (отражает 90%). Вот они вдвоем и изображают из себя рекордсменов. Поднять отражение, и существенно, удается «просветлением» — нанесением на металл интерференционных покрытий. Так можно получить отражение 50% на волне 0,01 мкм — а ведь это уже почти рентген.
Коэффициенты отражения от гладких поверхностей некоторых металлов в зависимости от длины волны приведены на рисунке 8. На фрагментах а) и б) показано влияние технологии изготовления алюминиевого зеркала на величину коэффициента отражения: 1 — когда зеркало напылено в высоком вакууме (10−6 Тор), 2 — когда в сверхвысоком вакууме (10−9 Тор). Даже в пределах оптического диапазона коэффициент отражения для некоторых металлов изменяется заметно. Например, для длины волны 0,4–0,7 мкм коэффициент отражения Au составляет 0,39–0,95, для Cu — 0,55–0,96, для Al — 0,92–0,90, для Ag — 0,97–0,99. Поэтому Au и Cu иного, нежели Al и Ag, цвета. Человек с хорошим цветным зрением или металловед отличит никелевое покрытие от хромового — первое немного желтее. Иногда вариации цвета совершенно неожиданны. Так, принято считать, что у тантала — голубой оттенок. Но таков только тантал, имеющий примесь ниобия Nb около 3%, а чистый тантал — серый.
Что касается отражения от порошков, то порошок выглядит белым, если размер порошинок таков, что отражение преобладает над поглощением. Поэтому чем сильнее поглощение, тем мельче надо раздробить вещество, чтобы порошок побелел. Поглощение графита столь велико, что для реально достижимых размеров частиц оно преобладает над отражением.
Особый случай представляет отражение от неоднородных сред или сильно шероховатых поверхностей — например, от естественных, природных. Ведь для описания их формы надо вводить разные масштабы — «шероховатость» в масштабе метров и километров может влиять иначе, чем мелкомасштабная. Так, до сих пор не ясно, почему яркость диска Луны не убывает к краю. При падении света на рассеивающую поверхность она должна отражать по касательной (ниже мы это обсудим чуть подробнее) совсем мало света, поэтому край диска Луны, который мы наблюдаем именно что по касательной, должен быть темным. Одна из гипотез состоит в том, что плоские участки поверхности Луны темнее склонов гор, и поэтому край диска, на котором мы видим в основном склоны, кажется относительно ярче (гипотеза Галилея). В более поздних моделях учитывали рельеф разного порядка — и горы, и отдельные камни. Другая гипотеза предполагает, что в поверхностном слое Луны много стеклянных шариков (оплавление при ударах метеоритов?), которые действуют, как катафот, т.е. отражают свет навстречу падающему лучу, навстречу Солнцу. А в полнолуние это будет как раз направление на Землю. Но это объяснение не действует в остальное время.
Жидкости в качестве «оптических материалов» используются весьма редко. Кроме указанных выше случаев иммерсионных жидкостей известно использование в астрономии некоторых жидкостей для заполнения полостей в объективах. Оптические свойства жидкостей в инфракрасной области используются очень широко, но не оптиками, а химиками — для установления состава. Соответственно, и оптические свойства газов используются для исследования смесей газов. Важны эти свойства и для расчета тепловых процессов в атмосфере. Есть, правда, один случай, когда смесь газов (а именно — атмосфера) используется как оптическая среда — при лазерной связи. Но тут нет выбора, атмосфера уж какая есть, такая и есть, и связисты говорят лишь об «окнах прозрачности». Для обычной атмосферы это окно 0,3–1,3 мкм — как раз наше зрение, окошки 1,5–1,8 мкм, 2,0–2,6 мкм, 3,5–4,0 мкм, 4,3–5,5 мкм, окна 7,0–15,0 мкм (этим пользуются змеи) и 30–70 мкм, форточки в области 1 мм и 3 мм, а далее, начиная с 1 см, — это уже радиодиапазон.
И еще в одной ситуации важно добиться предельно малого поглощения — это тоже дальняя связь, только не по воздуху, а по стеклу. Оптоволокно для передачи сигнала на большое расстояние делается из SiO2, т.е. из кварца. Главный параметр оптоволокна — способность передавать сигнал с малыми искажениями на большое расстояние. Искажения и потери зависят от материала, конструкции и эксплуатации. Конкретно — от материала нужны малые потери (т.е. поглощение и рассеивание) и дисперсия. Чтобы уменьшить потери, нужно использовать диапазон 1,2–1,7 мкм и уменьшать примеси Fe, Cr, Cu, Co, V, Mo, OH-групп. Именно выяснение причин потерь и получение кварца с низким содержанием этих примесей дало в свое время возможность начать активно применять световоды. С тех пор потери уменьшены примерно раз в сто, сегодня рекорд 0,15 дБ/км, причем это почти теоретический предел. (Про размерность децибел на километр можно посмотреть в интернете.) Предел — «релеевское рассеивание», то самое, из-за которого небо голубое, оно дает 0,13 дБ/км. Но ослабление 0,13–0,15 дБ/км означает, что на километровом куске кабеля сигнал теряет 3–3,5% мощности.
Чтобы сделать световод, нужен способ управления коэффициентом преломления. И тут нам повезло — есть примеси, которые его понижают (фтор F, бор B) и увеличивают (алюминий Al, германий Ge, фосфор P), но не вызывают поглощения. Материал должен быть сверхчистым именно по поглощающим примесям и надо обеспечить оптимальную концентрацию полезных, причем переменную по сечению волокна, т.е. оптимально зависящую от радиуса. В технике не так много областей, для которых нужны сверхчистые вещества. Общеизвестный пример — полупроводниковая техника: многие примеси катастрофически влияют на свойства. Другой пример — атомная техника: так, в реакторных материалах должна быть мала примесь веществ, поглощающих нейтроны (B, Li, Cd). Оптоволокно с концентрацией примесей порядка 10−8 процента по массе — третий пример.
Вне диапазона 1,2–1,7 мкм потери в SiO2 увеличиваются, а использовать видимое или более далекое ИК-излучение тоже хочется. Поэтому для видимого диапазона существует оптоволокно из «обычных» стекол: натрий — кальций — кремний ( Na2O — CaO — SiO2) или натрий — бор — кремний (Na2O — B2O3 — SiO2). В ИК-диапазоне применяют фторидные (например, на ZrF4 — BaF2) и халькогенидные (As2S3, As2Se3) стекла, а также кристаллические материалы на основе TlCl, AgCl. Разнообразие материалов этих групп довольно велико и выделить лучшие трудно — пока что потери в них всех довольно велики и используют их для передачи только на короткие расстояния. Но теоретически в оптоволокне из этих материалов возможно достижение даже лучших параметров, нежели в SiO2, поэтому нас еще ждут приключения. И эти приключения могут стать вашими приключениями, если вы будете их искать и найдете...
Теперь — о том, с чего мы начали статью, т.е. о блеске. В природе его немного, зато сороки и некоторые люди его любят. В результате в человеческом обществе образовалась «субкультура блеска», сильно пересекающаяся со всем ювелирным. Специалисты по минералам считают, что по характеру блеска минералы можно разделить на три группы: с металлическим, полуметаллическим и неметаллическим блеском. Металлический блеск минералов напоминает блеск гладкой свежей поверхности металла. Он характерен для непрозрачных минералов (галенит, пирит, халькопирит, самородные золото, серебро, платина). Названия некоторым из этих минералов первоначально давались по их интенсивному металлическому блеску, например — свинцовый блеск (галенит), сурьмяный блеск (антимонит). Полуметаллический блеск сходен с блеском потускневшей поверхности металла и встречается у непрозрачных и полупрозрачных минералов (графит, гематит, темный сфалерит, магнетит). Наиболее широко распространен неметаллический блеск. Он характерен для целого ряда прозрачных и полупрозрачных минералов. Выделяется достаточно большое количество разновидностей неметаллического блеска:
Между тем, остается неясным, при каких условиях человек называет отраженный сигнал оптического диапазона «блеском». Оказывается, мозг называет блеском не просто хорошо отражающее, а отражающее узким пучком лучей, причем так, чтобы лучи попали преимущественно только в один глаз. Об этом подробно и увлекательно рассказывается, например, в книге Я. И. Перельмана «Занимательная физика» (книга 1, глава 9). Впрочем, эту книгу можно просто пересказывать всю, так что скачайте ее из интернета и читайте сами на досуге.
В заключение заметим, что когда мы говорим об оптических свойствах, то всегда подразумеваем видимое глазом, т.е. определенную частоту излучения и определенный — видимый — размер объекта. Но бывают другие частоты и другие размеры объектов. Ультрафиолетовое и инфракрасное излучения анализируют традиционно вместе с видимым, а по мере удаления от радуги и попадания в область рентгеновского излучения и миллиметровых радиоволн, когда вещества начинают вести себя существенно иначе, мы попадаем в другой, не менее интересный раздел учебника. Что же до размеров объекта, то вещества состоят из атомов и молекул, и мы вправе спросить, как фотон взаимодействует с одиночным атомом или молекулой и как из взаимодействия с одиночным атомом получается взаимодействие с молекулой и веществом.
Фотоны могут либо поглощаться, либо рассеиваться, причем рассеивание существенно при значительно больших энергиях (рентген, гамма-излучение). Поглощение может происходить через передачу энергии либо электронам в атоме, либо колебаниям атомов в молекуле, либо электронному газу в проводниках. А дальше — или излучение атома, который поглотил фотон (люминесценция, отражение диэлектриками), или колебания электронного газа и его излучение (отражение света металлами), или переход в тепло (именно поэтому металлы отражают по-разному, а коты так любят греться на солнышке).
Рис. 5