Олег Верходанов
«Троицкий вариант — Наука» № 2(296), 28 января 2020 года

Это классно, когда люди умеют читать. Особенно на английском языке. Еще больше радует, что любители астрономии читают статьи по астрофизике и активно их обсуждают. Другое дело, что большая масса обсуждаемых популярных статей, написана либо по аннотациям, либо содержит излишне усиленные выводы. В последний год целое направление астрофизики — наблюдательная космология — буквально бурлит от революционных новостей: нобелевский лауреат Адам Рисс с коллегами в нескольких статьях утверждает, что Вселенная расширяется быстрее, чем предполагается в согласованной космологической модели (см., например, в [1]), т. е. плотность темной энергии выше, чем ожидалась; известные космологи Джо Силк и Алесандро Мельхиори, а также Элеонора Ди Валентина, которая является первым автором, в своей работе в Nature Astronomy [2] заявляют, что из данных космической обсерватории Planck следует, что Вселенная имеет положительную кривизну. И вот наконец появляется работа корейских коллег [3], где по результатам анализа данных по SN Ia и химического состава их родительских галактик делается вывод, что эволюционными свойствами галактики и вспыхивающих в ней SN Ia можно объяснить эффект, интерпретированный как ускоряющееся расширение Вселенной в диаграмме Хаббла в области красных смещений z > 0,7. Обнаружение этого эффекта и привело к открытию нового компонента плотности Вселенной, названного темной энергией. Красное смещение z (т. е. смещение спектров излучения объектов в красную сторону) с величиной порядка 0,7 соответствует этапу перехода примерно 6 млрд лет назад от эпохи доминирования вещества к эпохе доминирования темной энергии (когда z < 0,7). Большинство космологов о возникающих проблемах молчат или занимаются (что скорее всего) другими делами. Так что же вообще происходит? К радости или к сожалению, всегда есть опция, которая любому заинтересованному читателю поможет разобраться в проблеме: надо читать оригинальные тексты. Но также понятно, что обывателю проще их не читать, а узнавать о происходящем из популярных изданий. Тогда начнем разбираться.
Данный текст можно рассматривать как продолжение истории, начатой в «ТрВ-Наука» в прошлом году [4]. Но сначала надо сказать несколько общих слов о терминологии. Сверхновые типа Ia (обозначаются SN Ia) — это вспыхнувшие объекты в результате взрыва одного из типов звезд, белого карлика, в двойной звездной системе. Белый карлик — это плотный компактный объект, который является финальной стадией не очень массивной звезды. Ожидается, что Солнце станет белым карликом через несколько миллиардов лет. Белый карлик имеет фиксированный верхний предел массы (1,44 массы Солнца), называемый чандрасекаровским пределом, поэтому если на него стекает вещество с соседней звезды в двойной звездной системе, то белый карлик теряет устойчивость и взрывается полностью либо (по расчетам в некоторых моделях) коллапсирует в нейтронную звезду, что также сопровождается взрывом известной мощности. Кривая блеска (т. е. изменение яркости со временем, а именно ее затухание) у таких объектов хорошо изучена. И даже если не удается успеть зафиксировать максимум блеска SN Ia, то по дальнейшему спаду яркости всё равно удается откалибровать кривую и определить расстояние (точнее, модуль расстояния) до этого объекта. В космологических исследованиях объекты SN Ia рассматриваются как стандартные свечи, т. е. объекты с известной яркостью. Эти объекты очень удобны в космологии, потому что их яркость сравнима с яркостью родительских галактик и они видны на больших удалениях от нас. Для того чтобы использовать сверхновые Ia как стандартные свечи, необходимо было выполнить процедуру независимой привязки расстояний, для которой используется так называемая лестница расстояний (см. [5]), включающая метод тригонометрических параллаксов — определения расстояний до близких звезд тригонометрическим способом (точный метод) и косвенные: привязку по переменным звездам цефеидам по диаграмме «светимость — период», по диаграмме Хаббла «красное смещение — звездная величина», как для сверхновых Ia. Также есть множество других методов. Лестница расстояний позволяет переходить в измерениях расстояний от близких объектов к далеким.
Далее. Кривизна Вселенной — особая топологическая характеристика, позволяющая выразить будущее Вселенной через ее плотность. Вселенная хорошо описывается как трехмерная гиперсфера очень больших размеров, и мы наблюдаем, по-видимому, только ее мизерную часть радиусом примерно 45 млрд световых лет. Если плотность Вселенной больше критической, то Вселенная имеет положительную кривизну, т. е. замкнута, и в этом случае в будущем расширение может смениться сжатием. «Может» — потому что могут существовать гипотетические механизмы изменения ее физических и космологических свойств в будущем. Если же плотность Вселенной меньше критической, то ее кривизна отрицательна, и Вселенная будет расширяться с ускорением. Если плотность Вселенной равна критической, то Вселенную называют плоской. И она будет описываться евклидовой моделью мира с постоянным расширением. Евклидова модель — это физически однородный (с одинаковой плотностью), изотропный (статистически одинаковый по всем направлениям), неискривленный и неэволюционирующий мир. В геометрии плоским называют мир, в котором сумма углов любого треугольника равна 180°. Мир при этом не обязан быть двумерным. Критическая плотность Вселенной — примерно 5,5 атомов водорода на кубический метр в эквиваленте вещества. Это такая плотность, которая соответствует всей энергии, пересчитанной в количество видимого вещества в виде атомов водорода. Но во Вселенной много различных компонент энергии. Кроме видимого вещества, это темная материя, темная энергия, электромагнитное излучение, нейтрино, гравитационные волны, энергия кривизны и др. Астрофизики измеряют компоненты энергии по отношению к критической плотности. Поэтому говорят, что если относительная плотность Вселенной Ω0 равна единице, то наш мир плоский. Плотность энергии пространственной кривизны Вселенной равна ΩK = 1 − ΩO.
По данным космической обсерватории Planck 2018 года, относительная плотность энергии кривизны ΩK = 0,0007±0,0019, т. е. близка нулю и Вселенная с высокой точностью плоская. Отметим еще, что, несмотря на то что мир плоский, Вселенная расширяется с ускорением из-за особых свойств темной энергии, которая имеет отрицательное давление (см. интересное обсуждение свойств темной энергии [5] и серьезный обзор [6]).
Вернемся теперь к революционно звучащим заявлениям, которые воспринимаются как критика стандартной космологической модели. Стандартной космологической моделью называется космологическая модель ΛCDM, описывающая эволюцию Вселенной, с доминированием темной энергии (в простейшем случае в уравнении общей теории относительности, описываемой Λ-членом) и холодной темной материи (Cold Dark Matter — CDM) в настоящую эпоху (см. также [4]). По данным Planck 2018 года, компонентный состав энергобаланса в относительных плотностях Вселенной такой: ΩΛ = ~0,69, ΩCDM ~0,26, Ωb = ~0,05. Последний параметр Ωb — плотность видимой (барионной) материи. Все остальные компоненты энергобаланса в настоящую эпоху — лишь малая толика от перечисленных. Мы живем в эпоху доминирования темной энергии, которая, как уже упоминалось, началась примерно 6 млрд лет назад (что соответствует красному смещению z ≈ 0,7), при том что возраст Вселенной по последним данным — 13,8 млрд лет.
Перейдем к пресс-релизу Университета Ёнсе (Южная Корея) от 6 января 2020 года [7] и подчеркнем некоторые моменты в этом сообщении. Авторы обнаружили:
«... Значимую корреляцию между светимостью сверхновых и возрастом звездного населения на уровне достоверности 99,5%. Это [показал] самый прямой и строгий тест, который когда-либо проводился для эволюции SN Ia. Так как прародители в родительских галактиках становятся моложе с ростом красного смещения (при взгляде назад по времени), этот результат указывает на серьезный систематический байес (сдвиг в распределении) с ростом красного смещения в космологии сверхновых. Если применить эти величины, то обнаруженная эволюция светимости получается настолько значимой, что ставит под сомнение само существование темной энергии. При учете должным образом эволюции светимости сверхновых команда обнаружила, что доказательство существования темной энергии просто уходит».
И еще.
«Другие космологические способы проверки, такие как космический микроволновой фон (CMB) и барионные акустические колебания (BAO), также, как известно, дают непрямые и косвенные доказательства темной энергии; но недавно были выдвинуты предположения, что CMB, по данным Planck, более не поддерживает согласованную космологическую модель, что может потребовать новой физики (Di Valentino, Melchiorri, & Silk 2019). Некоторые исследователи также показали, что BAO и другие космологические тесты при малых красных смещениях могут быть совместимы с неускоряющейся Вселенной без темной энергии (см., например, Tutusaus et al. 2017). В этом отношении настоящий результат, показывающий эволюцию светимости, мимикрирующую под темную энергию в космологии по сверхновым, чрезвычайно важный и очень своевременный».
И также отметим окончание того же текста:
«Эта работа принята для публикации в Astrophysical Journal и будет опубликована в январском выпуске в 2020 года».
Далее идем по ссылке на соответствующую работу [3] и... никаких таких чрезвычайных выводов в ней не находим.
Если мы посмотрим на график (рис. 1), который обсуждался среди научных новостей как доказательство отсутствия темной энергии, то увидим, что по измерениям 51-й специально отобранной галактики, данные по которым приведены в оригинальной статье, наблюдается связь между светимостью сверхновых и возрастом Вселенной, определяемым красным смещением z. Здесь, конечно, важный момент — число (которое, на самом деле, очень мало) и правило отбора галактик.
Рис. 1. Диаграмма «Невязки Хаббла — красное смещение», демонстрирующая эволюцию светимости в космологии сверхновых, которая предсказывается в рассматриваемой работе [3]. Невязки в диаграмме Хаббла вычисляются в рамках космологической модели без Λ (Ωm = 0,27, ΩΛ = 0,00; черная пунктирная линия). Красная и зеленая линии — два варианта модели эволюции сверхновых, предложенных авторами статьи [3]. Голубые кружочки — это бинированные (усредненные в некотором диапазоне красных смещений) данные по сверхновым из работы Betoule et al. (2014). По выводам авторов, сравнение эволюционных кривых с данными по сверхновым показывает, что эволюция светимости может имитировать значительную долю невязок в диаграмме Хаббла, использованных при открытии и заключении о существовании темной энергии (см. черную сплошную линию)
Рис. 2. Диаграмма Хаббла («модуль расстояния — красное смещение»), построенная по результатам исследований двух групп, открывших темную энергию. Верхний график — результаты измерений, нижний график — разность между данными верхнего графика и ожидаемыми измерениями в простом расширяющемся евклидовом мире без темной энергии
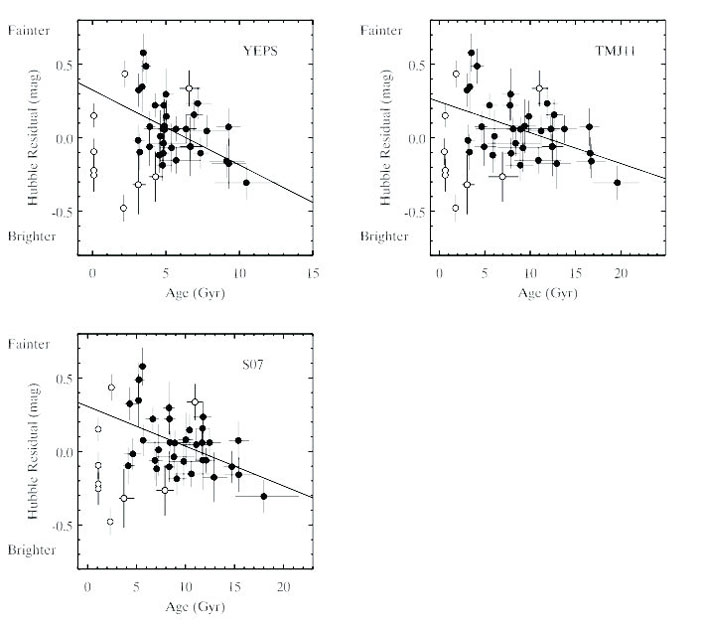
Естественный вопрос: как работу по эволюционным данным с критикой космологической модели, основанной на тяжеловесных данных Planck, приняли в ApJ? И здесь стоит сказать, что приведенные в работе данные измерений действительно хорошие и вывод о связи светимости некоторых сверхновых с возрастом галактик тоже интересный. Авторы использовали ряд корреляций, обнаруженных в работах других групп, например, что объекты SNe Ia в менее массивных галактиках (с массами, меньшими раз в 10) на ~0,08 зв. величины слабее, чем вспыхнувшие в более массивных галактиках; что менее массивные (тоже на порядок) родительские галактики примерно на 2 млрд лет моложе, чем более массивные галактики, а также что яркость сверхновых типа Ia коррелирует с морфологией родительской галактики и темпом звездообразования в ней. Эти факты могут предполагать возможную корреляцию со свойствами звездного населения. Что и изучалось. Измерения новые, результаты интересные. Поэтому и приняли в ApJ. Но поломать текущую космологическую модель, на мой взгляд, с таким малым количеством точек (в таблице данные для 51 галактики с z < 0,1) не удается. Отметим, что борьба за точность измерения вклада темной энергии по SN Ia сейчас идет, когда число объектов больше 1,5 тыс. и объектов с z > 0,7 несколько десятков (см. данные групп исследователей SN Ia на рис. 2). И естественно, для такой малой выборки объектов заявление о закрытии темной энергии в Astrophysical Journal и критика других методов звучали бы слишком громко, и в оригинальной статье авторы без нее обошлись. Зачем они это делают в пресс-релизе? Процитирую Бориса Штерна: «Жажда деятельности и т. п. — вполне нормальные движущие мотивы» [8]. Отметим, как пример, еще один момент, связанный с другим рисунком (см.: [3]), где демонстрируется зависимость возраста родительской галактики от отклонения (невязки) на диаграмме Хаббла от прогнозируемой кривой в стандартной космологической модели (рис. 3). Разброс данных, используемых для регрессии, большой (больше половины звездной величины). И наклоны рассчитанных регрессионных кривых разные для разных моделей, что говорит о различии методов оценки возрастов и не дает однозначно выбрать оценку возраста родительской галактики. А именно эта оценка в дальнейшем используется в подгонках при «отмене» темной энергии.

Рис. 3. Корреляция между возрастом звездного населения родительской галактики и невязками в диаграмме Хаббла для SN Ia. Возраст звездного населения по данным численных моделей распределения энергии в спектре YEPS, TMJ11, и S07 соответственно показан на разных картинках. Забракованные галактики раннего типа, исключенные из финальной выборки, отмечены белыми кружками. Сплошной линией показана регрессионная зависимость
Вернемся к самому пресс-релизу — там еще есть интересные моменты.
Вот два утверждения, например: 1) реликтовое излучение (или космический микроволновой фон) дает лишь непрямые косвенные доказательства существования темной энергии; и 2) CMB, как предполагают сейчас, по данным Planck, более не поддерживает согласованную космологическую модель.
Про первое замечание я подробно говорил [4]. Повторю здесь лишь тезисно. Нет по-настоящему прямых измерений космологических параметров. Все эксперименты проходят через набор предположений, часть из которых удается проверить легко, а часть нет. При этом использование данных по реликтовому излучению — самый надежный способ оценки космологических свойств среди разных наблюдательных экспериментов. Возвращаясь к статье [3], можно, например, сказать: чтобы сделать вывод об эволюционных свойствах родительских галактик, использованных для поиска связи с яркостью сверхновых, авторы должны были измерить возраст этих галактик. Для этого следовало применить модели распределения энергии в спектрах галактик (синтетические спектры), в которые исходно надо заложить свойства о распределении звезд по массам в галактике, содержание газа, скорость звездообразования и прочие параметры, а также рассчитать их совместную эволюцию на различные космологические эпохи. Авторы используют данные о синтетических спектрах из трех разных моделей, результаты применения которых немного отличаются. И если дальше детально рассматривать построение теории, альтернативной модели темной энергии, то нужно обратить внимание на то, как вообще оценивается светимость стандартной свечи типа SN Ia, и держать в голове не только потенциальную неуверенность в точности измерений расстояний до цефеид по данным спутника GAIA, где малые поправки приводят к накапливающимся сдвигам в оценках светимости, и нетривиальность взрывов SN Ia (см. обсуждение [4]), но и неожиданно открывшуюся и выглядящую катастрофически проблему использования цефеид как стандартных свечей [9]. Весь этот набор сложностей пока отодвигает на задний план утверждение о возможности прямых измерений эволюционных параметров [3] и выводов о значимых проблемах в наблюдениях существования темной энергии в пресс-релизе [7]. В то же время отметим еще раз важность данных по реликтовому фону. Скорость расширения Вселенной и связанный с ней параметр темной энергии отразились в данных CMB в нескольких космологических эпохах в следующих факторах РИ: в характерном масштабе сферы последнего рассеяния, в наблюдаемых угловых размерах неоднородностей CMB в распределении реликтового фона (чем быстрее сейчас расширяется Вселенная, тем меньше их наблюдаемый угловой размер) и даже в температуре космического микроволнового фонового излучения (чем больше скорость расширения, тем меньше температура РИ). Темная энергия также параметрически входит в описание эффекта Сакса — Вольфа, используемого при расчетах углового спектра мощности РИ (когда фотон CMB меняет свою частоту при прохождении через область с меняющимся за космологическое время гравитационным потенциалом, например при росте скоплений галактик) или расширения войдов. Полнота данных Planck и колоссальный объем измерений в сочетании с данными по барионным осцилляциям в обзоре BOSS создают фундамент, который сложно пока разрушить, в том числе и при оценке вклада темной энергии.
Ссылка в пресс-релизе на то, что CMB, по данным Planck, более не поддерживает согласованную космологическую модель, тоже не совсем корректна. Если остановиться только на аннотации [2], на репутации журнала, в котором она была опубликована, и на известных именах соавторов, вдобавок на названии статьи, на том, что выводы следуют из данных Planck, то результаты кажутся громкими. И приводимый результат такой: Вселенная имеет положительную кривизну (−0,007 > ΩK > −0,095) на уровне достоверности 99%. Это значение получено при освобождении параметра ΩK, который обычно связан с параметрами плотности и определяется только через них. При его независимом определении авторы использовали также эффект аномального линзирования CMB. В качестве данных Planck при этом используется измеренный угловой спектр мощности. В целом подход исследования этого параметра интересен, хотя и не применяется в стандартных методах определения параметров. И чтобы не повторяться, что именно сделано там не так гладко, как должно быть при громких заявлениях, рекомендую посмотреть разбор статьи Михаилом Ивановым [10]. Еще любопытно взглянуть в статье [[2] на значения других космологических параметров, определяемых при применении такой методики: они резко противоречат как точным измерениям обсерватории Planck, так и друг другу при использовании разных наборов данных.
Вот что мы видим в публикации: применение предложенной методики к данным Planck дает оценку значения постоянной Хаббла км/с/Мпк с достоверностью 68%, а для [комбинированного] набора данных BAO + SN-Ia + BBN, что H0 = 79,6±6,8 км/с/Мпк на уровне достоверности 68%, т. е. они [эти оценки] несовместимы на уровне 3,4 стандартных отклонения. Отметим, что согласованные измерения H0 независимыми методами, включая измерения уровня неоднородностей РИ обсерваторией Planck, дают величину H0 = 67,66±0,42 км/с/Мпк).
Вывод о кризисе космологической модели ΛCDM делать пока рано. А почему опубликовали тогда эту работу в Nature Astronomy? Ответа нет. Ну разве что авторы — известные сильные астрофизики.
Итак, что мы видим. Для малого набора точек при многоступенчатом сложном анализе, т. е. в системе данных, описываемых моделью со множеством параметров, с отсутствием измерений в наиболее существенную космологическую эпоху (z > 0,7), требующуюся при фиксации вклада темной энергии, и следующих из измерений оценок параметров эволюции галактик строится модель эволюционирующей кривой блеска SN Ia в зависимости от z. Прямого вывода о закрытии темной энергии в оригинальной статье нет, кроме предположения о возможной имитации эффекта темной энергии. А приведенный в пресс-релизе строгий вывод не может быть сделан по данным оригинальной статьи из-за небольшого числа объектов и нечеткости оценок, использующих несколько этапов в эволюционном моделировании. В принципе, на этом вопрос можно и закрыть. Однако, по моему мнению, любая критика устоявшейся модели всегда полезна. А вдруг что-нибудь выскочит интересное. Другое дело, что часто вопросы о «революционных» сенсациях каждый может исследовать сам, только лишь прочитав оригинальную статью. И когда разговор идет о существовании самой загадочной компоненты Вселенной — темной энергии, дающей максимальный вклад во вселенский энергобаланс, то, как в фильме «Звездные войны», можно подумать, что война космологическая началась. Но нет. Равновесие современной космологической модели еще не нарушено. Пока не нарушено.
Литература
1. Riess A. G. et al. Milky Way Cepheid Standards for Measuring Cosmic Distances and Application to Gaia DR2: Implications for the Hubble Constant // Astrophys. J., V. 861, № 2, arXiv: 1804.10655
2. Valentino E. Di, Melchiorri A., Silk J. Planck evidence for a closed Universe and a possible crisis for cosmology // Nature Astronomy (2019), arXiv: 1911.02087.
3. Kang Y., Lee Y.-W., Kim Y.-L., Chung C., Ree C. H. Early-Type Host Galaxies of Type Ia Supernovae. II. Evidence for Luminosity Evolution in Supernova Cosmology // Astrophysical Journal, accepted.
4. Верходанов О. В. Есть ли проблемы с согласованием скорости расширения Вселенной? // ТрВ-Наука. № 280, с. 4–5, 04.06.2019.
5. Рубаков В. А. Темная энергия во Вселенной // ТрВ-Наука, № 258, с. 4–5, 17.07.2018.
6. Лукаш В. Н., Рубаков В. А. Темная энергия: мифы и реальность // УФН. 178, 301–308 (2008).
7. Yonsei University, January 6, 2020. New evidence shows that the key assumption made in the discovery of dark energy is in error.
8. «Фейсбук»: Штерн Б. 7.01.2020.
9. Lin W., Mack K. J., and Hou L. Investigating the Hubble Constant Tension — Two Numbers in the Standard Cosmological Model // arXiv: 1910.02978
10. Иванов М. Астрономы доказали, что Вселенная замкнута. Что? Нет!
Олег Верходанов