Борис Штерн,
астрофизик, Институт ядерных исследований РАН
«Троицкий вариант» №8(227), 25 апреля 2017 года

«Астрономы нашли атмосферу у экзопланеты земного типа» — новость под примерно таким заголовком облетела мир в начале апреля 2017 года. Планета по размеру (1,2–1,4 RЗ) и по массе (1,6 ± 0,5 МЗ) подобна Земле, но для жизни непригодна — находится слишком близко к звезде. Равновесная температура для планеты — около 650 кельвинов, то есть она слишком горячая. Звезда GJ 1132 — красный карлик, время обращения планеты вокруг звезды — 1,6 дня.
Речь шла о планете GJ 1132 b, находящейся в 39 световых годах от нас. Источником новости стала статья интернационального коллектива (John Southworth et al.), опубликованная в журнале Astronomical Journal [1]. Данные были получены на одном из телескопов Европейской южной обсерватории в Чили.
Это была бы хорошая и важная новость, окажись она правдой. Дело в том, что совсем недавно нашли планеты земного типа в зоне обитаемости у красных карликов Проксима b [2] и TRAPPIST-1 [3]. Проксима Центавра — ближайшая к нам звезда, а в системе TRAPPIST-1 сразу семь планет, по меньшей мере три из которых находятся в зоне обитаемости. То есть на поверхности этих планет может существовать вода в жидком виде. Но красные карлики — весьма проблемные звезды из-за сильной магнитной активности. На них происходят мощнейшие звездные вспышки, они испускают сильный звездный ветер и жесткое излучение.
Для системы TRAPPIST-1 рентгеновское облучение планет на три порядка выше, чем для Земли, звездный ветер сильней примерно в той же пропорции, и как раз он — главная проблема для возникновения жизни. Он, грубо говоря, сдувает атмосферу планет, как сдул большую часть атмосферы Марса. Единственная защита атмосферы — сильное магнитное поле планеты, выдерживающее давление звездного ветра. Видимо, требуется планетарное поле сильнее земного, что проблематично из-за более медленного вращения перечисленных выше планет вокруг своей оси.
И вот обнаружена планета земной группы, находящаяся еще ближе к звезде, чем Проксима b и планеты TRAPPIST-1, при этом ее атмосфера сохранилась! Значит, у других, более холодных планет, что вращаются вокруг красных карликов, тоже могли сохраниться атмосферы! Значит, они могут быть пригодны для жизни! Замечательное было бы доказательство, если бы результат оказался верным.
Почему я использую сослагательное наклонение? Дело в том, что еще в декабре 2016 года, когда был опубликован электронный препринт упомянутой выше работы, мне бросилась в глаза неправдоподобно огромная величина эффекта.
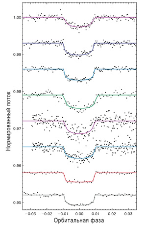
Вот что, собственно, обнаружили. Планета — транзитная, то есть для земного наблюдателя она пересекает диск своей звезды, отчего наблюдаемая яркость звезды немного падает на время. Благодаря этому свойству ее и нашли. Периодические падения яркости одинаковой продолжительности — это и есть четкий признак планеты. Земля затмевает Солнце всего на одну десятитысячную, но это можно обнаружить с расстояния в тысячу световых лет.
Измеряя кривую блеска звезды, можно определить размер планеты по глубине «корытца», вызванного прохождением планеты (рис. 1). По данным в оптическом диапазоне, радиус GJ 1132 b получается равным 1,37 радиуса Земли. А в ближнем инфракрасном диапазоне (фильтр z, около 900 нанометров) — почти 1,6 радиуса Земли, причем статистическая значимость отличия составляет 4 s (рис. 2).
Как эта разница интерпретируется астрофизиками? Допустим, у планеты есть атмосфера. В оптическом диапазоне она прозрачна, по крайней мере выше уровня облаков, если на планете есть облака. Нижний уровень прозрачности дает меньшее значение радиуса. Но в ближнем инфракрасном диапазоне излучение поглощают пары воды. Это происходит и на Земле: в среднем в земной атмосфере около 0,25% водяного пара — он поглощает около четверти внешнего излучения в районе 900 нанометров. Если посмотреть на Землю на фоне Солнца, то на 900 нанометрах она будет казаться чуть больше, чем в видимом свете. Разница в видимом радиусе будет невелика — порядка 15–20 км, в зависимости от широты. А в случае планеты GJ 1132 b аналогичная разница составляет 0,2 радиуса Земли — больше тысячи километров! Как такое может быть?
Разумеется, какую-то часть этой разницы в оптическом и инфракрасных диапазонах можно объяснить за счет температуры на экзопланете. Там она вдвое выше (в градусах Кельвина), поэтому она вдвое более пухлая (плотность при данном давлении вдвое ниже). Но всё равно получается эффект в десятки, а не в тысячи километров.
С помощью более толстой и влажной атмосферы можно натянуть еще большую разницу, где-нибудь до сотни километров. Но выше не прыгнешь, плотность атмосферы убывает с высотой экспоненциально. Для Земли постоянная в экспоненте — 7 км. Если атмосфера GJ 1132 b по составу подобна земной (доминирует N2) или венерианской (доминирует СО2), то давление в ней будет падать в е раз каждые 10–15 км. Поэтому ожидаемый эффект поглощения в полосе около 900 нанометров для атмосферы типа земной или венерианской на порядок меньше того, что декларируется для планеты GJ 1132 b. Так диктует барометрическая формула.
Но это справедливо для атмосфер типа земной, марсианской или венерианской — азот, углекислый газ. А если взять юпитерианскую атмосферу — водород + гелий — и приложить ее к планете земного типа? Тогда получится на порядок более пухлая атмосфера — молекула водорода в 14 раз легче молекулы азота, не говоря о СО2. Напомним: при данном давлении число молекул в единице объема не зависит от молекулярного веса. Это значит, высота падения давления в е раз будет на порядок больше. В такой атмосфере, где основной газ — водород, пары воды действительно могут оказаться в достаточном количестве на высоте 1000 км.
Авторы статьи понимают, что водородная атмосфера необходима, чтобы объяснить результат, и сравнивают его с расчетами, сделанными именно для водородно-доминированной атмосферы. И полученные данные примерно совпадают с их гипотезой. Но...
Рассмотрим общепринятый график убегания планетных атмосфер (рис. 3). По горизонтали — равновесная температура, по вертикали — вторая космическая для данной планеты. Если точка, соответствующая планете, ниже пунктира, обозначенного Н2, то водород из атмосферы убегает за время меньшее, чем время существования Солнечной системы. Точка, соответствующая GJ 1132 b, лежит заметно глубже, чем Земля.

Картинка неточная — по горизонтальной оси отложена равновесная температура, а скорость убегания зависит от температуры в экзосфере (существенно более высокая), которая может зависеть от ряда условий. Но она примерно правильно показывает масштаб бедствия. И этот масштаб огромен.
Дело в том, что темп убегания водорода зависит от расстояния до линии Н2 на рис. 3 экспоненциально. Обычно тепловая скорость молекул меньше второй космической и убегание молекул происходит на экспоненциально падающем хвосте распределения Максвелла. Поэтому на более горячей планете с близким к земному гравитационным потенциалом скорость убегания водорода будет выше, чем на Земле, не в разы, а на порядки. На Земле время убегания водородной атмосферы на порядки меньше времени ее существования.
Повторюсь, что авторы статьи совершенно не обсуждают эту проблему. Статей других авторов на эту тему применительно к данной планете пока нет. Вероятно, они сейчас пишутся. Наверное, есть и те, кто ищет лазейки — как сохранить водородно-доминированную атмосферу в таких условиях. Думаю, им нелегко. Я могу лишь высказать пару общих методологических соображений.
Утверждение о водородно-доминированной горячей атмосфере достаточно старой планеты земной массы относится к классу чрезвычайных. Такая атмосфера нефизична, даже если с помощью каких-то натяжек ее можно обосновать. Есть хорошее высказывание Карла Сагана: чрезвычайные утверждения требуют чрезвычайных свидетельств. Можно ли считать результат измерения со статистической значимостью 4 сигма чрезвычайным свидетельством? Теоретически вероятность случайной флуктуации данных на 4сигма — порядка одной десятитысячной. Но человек, хорошо знакомый с научной литературой в области астрофизики, лишь криво усмехнется.
Число неподтвердившихся эффектов со статистической значимостью 4 сигма, возможно, превышает число подтвердившихся. В физике высоких энергий 4 сигма вызывают большее уважение, поскольку там условия эксперимента лучше контролируются, а в астрофизике сама проблема определения статистической значимости часто сложна.
Она сложна и в данном случае, поэтому допущение, что авторы недооценили ошибки измерений, гораздо правдоподобней, чем допущение о водородно-доминированной атмосфере в данных условиях. Тем более данные разных работ противоречат друг другу: значение радиуса планеты в предшествующей работе оказывается на 0,2 земных радиуса меньше, точки для полосы g из разных работ расходятся более чем на 3 сигма (рис. 2).
Водородные атмосферы есть у массивных планет (см. рис. 3), и они найдены у нескольких экзопланет примерно тем же методом с помощью «Хаббла», который имеет более высокую чувствительность. Это горячие юпитеры и даже горячий нептун. Вполне возможно, атмосферы есть и у землеподобных планет близ красных карликов, но они не детектируются наземными телескопами и едва ли по зубам «Хабблу».
Скорее всего, их сможет зарегистрировать новый космический телескоп «Джеймс Уэбб», который будет запущен в следующем году. Подождем, осталось недолго.
1. Общедоступная версия опубликована в архиве электронных препринтов
2. Штерн Б. Е. Есть ли жизнь у Проксимы Центавра // ТрВ-Наука, №212 от 6 сентября 2016 года
3. Штерн Б. Е. Надежда... на экзопланетную жизнь // ТрВ-Наука, №223 от 28 февраля 2017 года