
На фотографии — молодой ястреб-перепелятник (Accipiter nisus), только что полакомившийся добычей. О его молодости (то есть о возрасте менее одного года) свидетельствует рельефность пестрин на груди — характерные «сердечки» — и белые пятна на крыльях.
Перепелятники — довольно мелкие дневные хищные птицы: самец размером с голубя, самка крупнее — чуть меньше вороны. Они широко распространены в Евразии — от северной тайги до Средиземноморья. Перепелятники — перелетные птицы. Но последнее время всё чаще остаются в Москве на всю зиму (см. детский вопрос Куда исчезли снегири?).
Перепелятники питаются в основном птицами, в меньшей степени мелкими грызунами. Обычно они нападают из засады или незаметно подкрадываются к жертве, летя низко над землей. В девяностые годы в Швеции оценили риск для птиц стать жертвой перепелятника. Исследователи учитывали численность разных видов потенциальных жертв в окрестностях гнезд перепелятников и определяли соотношение съеденных видов по останкам птиц. Останки, в основном перья, находили либо около гнезд, либо на специальных «постах ощипывания» метрах в 30 от гнезда (дело в том, что перепелятники очищают свою добычу от перьев, прежде чем съесть ее или скормить птенцам). Работа проводилась в то время года, когда самки сидели на гнездах и охотились в основном самцы. Самец ловил птицу, затем прилетал на свой «пост» на пне или бревне, очищал ее от перьев и относил самке, которая либо съедала ее сама, либо разделяла между птенцами. На этих-то постах исследователи с определенной периодичностью забирали материал для определения.
Видов насчитали более 60. В основном это были мелкие воробьиные, почти половина которых приходилась на четыре вида: большая синица (Parus major), лазоревка (Cyanistes caeruleus), зарянка (Erithacus rubecula) и домовый воробей (Passer domesticus). Но были и более крупные, такие как сорока (Pica pica), кукушка (Cuculus canorus), вяхирь (Columba palumbus), разные дятлы.
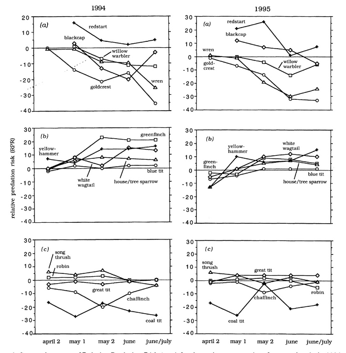
По соотношению численности вида и его обилию в рационе хищника орнитологи рассчитали степень риска стать жертвой. В первую очередь выяснили, что значения риска для многих видов изменяются в течение гнездового сезона, с апреля по начало июля. Для корольков (Regulus regulus), крапивников (Troglodytes troglodytes), горихвосток (Phoenicurus phoenicurus), черноголовых славок (Sylvia atricapilla) и пеночек-весничек (Phylloscopus trochilus) риск стать жертвой уменьшался. Для зеленушек (Chloris chloris), обыкновенных овсянок (Emberiza citrinella), белых трясогузок (Motacilla alba), лазоревок и домовых воробьев, напротив, увеличивался. А для певчих дроздов (Turdus philomelos), больших синиц, зарянок, зябликов (Fringilla coelebs) и московок (Periparus ater) оставался на постоянном уровне.
Авторы объясняют эти изменения тем, что ястребы в начале сезона охотятся по большей части в лесу, постепенно перемещаясь на более открытые, обжитые человеком, местообитания: деревни, поля и кромки леса, где численность и доступность птиц больше. Поэтому в первой группе в основном лесные виды, во второй — представители более открытых местообитаний и в третьей — гнездящиеся повсеместно.
Риск стать жертвой возрастает с ростом массы птицы, но после отметки 40 грамм начинает, наоборот, снижаться. Видимо, маленькие птицы не так бросаются в глаза, а с большими уже труднее справиться. Высота гнезда никак не коррелировала с риском. Зато высота, на которой птица обычно кормится, показала зависимость: чем выше, тем безопаснее. Та же тенденция наблюдается для высоты, на которой птица сидит во время пения или отдыха. Очевидно, это связано со способностью перепелятника незаметно подкрадываться на низком полете. Степень же открытости места, где птица сидит, также снижает его безопасность.
То есть больше шансов быть съеденным ястребом-перепелятником у птиц средних размеров, сидящих или летящих невысоко над землей на открытом пространстве. Что интересно, поющие птицы, которые, казалось бы, должны привлекать хищника больше, чем молчащие, как раз не относятся к группе высокого риска из-за того, что выбирают в качестве песенных постов места повыше, чтобы подальше распространять звук.
Фото Марины Рахимбердиевой, Москва, апрель 2018 года.
Мария Монахова




Сезонные изменения риска стать жертвой перепелятника для основных видов в его рационе в разные годы. Вероятность снижается (а). Вероятность повышается (b). Вероятность не меняется (с). Рисунок из статьи F. Gotmark, P. Post, 1996. Prey selection by sparrowhawks, Accipiter nisus: relative predation risk for breeding passerine birds in relation to their size, ecology and behaviour