Нашу картинку дня от 19.12.2016 «Запах жареного мяса» раскритиковал в своем ЖЖ химик-флейворист, специалист в области пищевой химии Сергей Белков. Мы попросили Сергея написать корректный с его точки зрения текст о запахе жареного мяса, и он любезно согласился. Представляем вашему вниманию новый вариант.
Не только труд сделал из обезьяны человека. Умение обращаться с огнем оставило нестираемый отпечаток на нашей биологии и даже внешнем виде. На заре человечества, когда и современных людей-то еще не было, огонь стал важнейшим физическим агентом, уникальным для животного мира, изменяющим свойства нашей еды.
Огонь — это не только универсальный антибиотик и антипаразитический агент. Следствие применения огня для приготовления пищи мы сегодня можем видеть в особенностях нашего тела. Огонь — это «внешние зубы», позволяющие снизить нагрузку на жевательный аппарат. Это отразилось на строении наших относительно небольших зубов и даже самом механизме пережевывания пищи, на которое мы тратим намного меньше времени, чем наши близкие родственники. Даже с поправкой на разницу в образе жизни и питании мы, по всей видимости, наблюдаем влияние кулинарии на эволюцию. Огонь — это «внешний желудок и кишечник», что, вероятно, привело к сокращению и изменению нашей пищеварительной системы. Даже наше главное отличие и гордость — развитый мозг — отчасти обязан огню своим размером и возможностями поскольку еда с измененной после предварительного нагрева химической и физической структурой обладает большей калорийностью.
Помимо питательной ценности и безопасности огонь наградил нашу еду новыми ароматами, до которых не додумалась живая природа. Две молекулы с картинки, 2-метил-3-фурантиол и бис-(2-метил-3-фурил)-дисульфид, имеют к ним прямое отношение, ибо эти два вещества характерны для термически обработанного мяса, рыбы и ряда других продуктов. Можно смело сказать, что это одни из первых искусственных ароматизаторов в пище человека.
Особенностью этих двух выдающихся молекул является крайне низкий порог восприятия их обонянием человека. Если говорить о водных растворах, то 2-метил-3-фурантиол отчетливо ощущается на вкус начиная с концентрации 0,007 мкг/л. Бис-(2-метил-3-фурил)-дисульфид вообще является своеобразным рекордсменом вонючести: его аромат чувствуется, начиная с 0,00002 мкг/л. Этих веществ в мясе содержится очень мало, само их обнаружение и идентификация отняли много усилий. Чувствительности методов аналитической химии только совсем недавно оказалось достаточно для идентификации веществ, детектируемых человеческим носом. Так часто бывает в «душистой» химии: самые незначительные по количеству вещества оказываются самыми важными для восприятия аромата. Сегодня эти вещества стали доступны в синтетическом виде и часто используются в качестве компонентов мясных ароматизаторов для чипсов, лапши и многих других продуктов.
2-метил-3-фурантиол является одним из минимум тысячи продуктов реакции Майяра, которая происходит между аминокислотой и сахаром при нагревании — например, при жарке мяса или выпечке хлеба — и сопровождаются карамелизацией.

Бис-(2-метил-3-фурил)-дисульфид, в свою очередь, образуется из 2-метил-3-фурантиола в процессе окисления на воздухе. Реакция Майяра — это не одна реакция. Это огромное количество переплетенных химических взаимодействий всех компонентов еды между собой и с промежуточными продуктами. Именно этому огромному множеству реакций обязана своим ароматом почти вся наша еда. Объединяет их лишь первая стадия — взаимодействие редуцирующих (обладающих восстановительными свойствами) сахаров и аминосоединений. В силу сложности процесса, предсказать или смоделировать конкретный набор продуктов такой реакции не представляется возможным, но именно им определяется итоговый аромат, вкус и даже цвет. Говядина отлична от свинины: в них разный набор исходных реагентов. Вареная говядина отличается от жареной: исходные реагенты одинаковы, но реакции идут по-разному в разных условиях.
В качестве сахаров выступают продукты гидролиза гликогена (глюкоза) и распада РНК (рибоза), но также участвуют и сахара, привнесенные с другими компонентами блюда, например с луком или панировочным сухарями. В качестве аминосоединений выступают аминокислоты, которые начинают накапливаться в мясе в результате автолиза животного белка сразу после смерти животного. Именно необходимостью накопления сахаров и свободных аминокислот объясняется то, что мясо вкуснее не «парное», но «созревшее». Строго говоря, нагревать мясо для протекания реакции Майяра не обязательно: не очень быстро, но она протекает и при комнатной температуре, наличие готового «сырья» для этой реакции делает это возможным. Кстати, реакция Майяра протекает прямо сейчас внутри вашей любимой кровеносной системы. Ничего хорошего, впрочем, в этом нет — ее продукты увеличивают шансы на развитие у вас, например, диабета и заболеваний, связанных со старением.
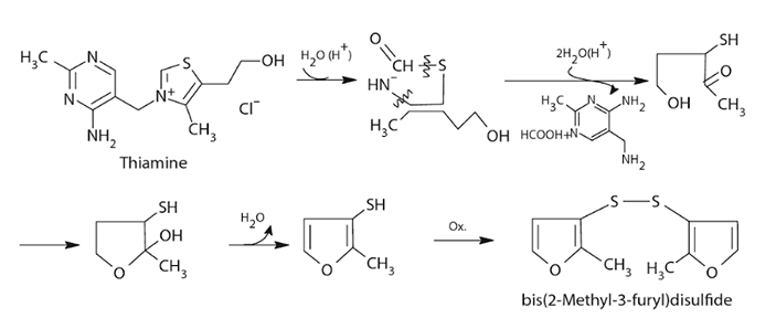
Второй путь образования этих соединений — это деградация витамина В1:

Деградация тиамина с образованием душистых веществ
Любой, кто хоть раз в жизни нюхал тиамин (витамин B1), подтвердит, что он обладает выраженным запахом, напоминающим запах мяса. Сам витамин при этом запаха не имеет, а пахнут молекулы с картинки.
На фото — главные компоненты запаха жареного мяса: 2-метил-3-фурантиол и бис-(2-метил-3-фурил)-дисульфид. Фото с сайта findmeals.com, формулы соединений с сайта chemspider.com.
Сергей Белков




Финальные стадии образования 2-метил-3-фурантиола в реакции Майяра