
Сдвиг цветения растений на более раннее время давно считается одним из очевидных следствий глобального потепления климата. Однако новое исследование американских экологов говорит о том, что на этот сдвиг могут влиять и другие факторы, не менее значимые, чем увеличение температуры. Проведенный ими эксперимент показал, что растения могут зацветать раньше также в ответ на уменьшение числа других видов, растущих совместно с ними. Причем этот эффект не объясняется только опосредованным влиянием изменения факторов неживой природы, также сопровождающих уменьшение разнообразия.
Одно из наиболее заметных проявлений влияния глобального потепления на органический мир Земли — постепенный сдвиг сроков цветения растений на более раннее время, от нескольких дней до недель. Существуют и экспериментальные данные, показывающие, что повышение температуры приводит к более раннему цветению. Однако очевидно, что фенология растений — так называют систему знаний о сезонных явлениях в природе, а также и сами сезонные явления — не определяется лишь температурой. И хотя фенологические исследования прежде всего фокусируются на абиотических факторах, относящихся к неживой природе, биотические факторы окружающей среды также могут оказывать влияние на сроки цветения. Среди прочего к биотическим факторам относятся состав, обилие и разнообразие сообществ — они также меняются под действием происходящих на нашей планете глобальных изменений.
Изменение состава сообщества может менять фенологию опосредованно, через изменение абиотических факторов (таких, как влажность почвы и количество доступных минеральных веществ в почве), однако точно не известно, хватает ли этого для объяснения наблюдаемых сдвигов в сроках цветения. Вполне можно предположить и существование прямого воздействия растений друг на друга. Тем более что известно, что растения одной местности распределяют между собой время цветения, что способствует снижению конкуренции за опылителей и межвидового переноса пыльцы (см. G. N. Stone et al., 1998. Partitioning of pollinators during flowering in an African Acacia community). Однако разброс времени цветения (flowering partitioning) принято объяснять долговременным действием естественного отбора, а не быстрой реакцией на изменение условий за счет фенотипической пластичности (см. Phenotypic plasticity).
Непосредственно оценить, как влияет снижение биоразнообразия на время цветения растений, решила группа ученых из нескольких научных заведений Калифорнии (США) во главе с Амалией Вольф. Для этого они изменяли число видов на отдельных участках травянистых сообществ, растущих на серпентиновых почвах природного парка Койот-ридж (Coyote Ridge Open Space Preserve) возле города Сан-Хосе в Калифорнии. Серпентиновые почвы (см. Serpentine soil) содержат труднорастворимые, медленно разрушающиеся силикаты магния. Исследователей интересовали три вопроса: 1) влияет ли изменение числа видов в растительном сообществе на сроки цветения; 2) как это влияние связано с воздействием изменения биоразнообразия на абиотические факторы и 3) влияет ли изменение разнообразия на распределение времени цветения внутри сезона.
Отдельные экспериментальные площадки представляли собой круг диаметром 58 см, в котором произрастали 16, 12, 8, 5 или 2 вида растений. Кроме того, каждый вид выращивался в монокультуре (в качестве контрольной группы). Исследователи использовали два метода уменьшения разнообразия: в одном случае растения удалялись в том порядке, как они исчезают из сообщества при засухе, во втором — выбывающие определялись случайно. Но так как различий между этими вариантами обнаружено не было, данные объединили. Из шестнадцати видов девять были выбраны в качестве объектов исследования (рис. 1). Ученые измеряли сроки пикового цветения этих растений, подсчитывая число раскрывшихся цветков в период с февраля по май. Параллельно исследователи измеряли несколько абиотических показателей: количество доступного почвенного азота, влажность почвы и температуру поверхности почвы.
Оказалось, что уменьшение биоразнообразия приводило к более раннему пику цветения у исследуемых растений — в среднем на 0,6 дней на один утраченный вид. Однако разные виды неодинаково реагировали на этот фактор: пять из девяти исследованных видов цвели раньше, а вот один из них, Layia gaillardioides, цвел позже (рис. 2). У трех видов эффект оказался незначимым (однако они также показали тенденцию к более раннему цветению).

Рис. 2. Зависимость среднего по экспериментальным участкам пикового времени цветения от числа совместно произрастающих видов для девяти исследованных растений. Линии регрессии, показывающие размер обнаруженного эффекта, проведены только для тех видов, у которых зависимость оказалась статистически значимой. Рисунок из обсуждаемой статьи в PNAS
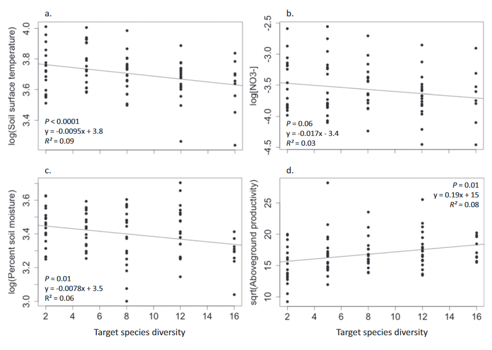
Абиотические факторы также менялись при уменьшении числа видов на участке (рис. 3), в согласии с результатами многих предыдущих исследований. Чтобы разделить действие биотических и абиотических факторов, исследователи статистически оценили (см. Generalized linear model) их вклад в общий сдвиг времени цветения, а также рассчитали их влияние на цветение отдельных видов. Из четырех факторов (биоразнообразия, а также трех абиотических параметров — количества доступного почвенного азота, влажности почвы и температуры поверхности почвы) на общий фенологический сдвиг значимо не влиял только доступный почвенный азот.
Рис. 3. Влияние числа видов на участке на: a — температуру поверхности почвы (°C), b — доступный почвенный азот N (мг N·г−1·день−1), c — влажность почвы (%), d — наземную первичную продукцию (г·м−2·год−1). Рисунок из дополнительных материалов к обсуждаемой статье в PNAS
Время цветения под воздействием уменьшения биоразнообразия в сообществе сильнее снижалось у видов с более широким разбросом времени пикового цветения (рис. 4).

Рис. 4. Зависимость эффекта уменьшения разнообразия на сдвиг пикового цветения (в днях на один утраченный вид) от диапазона времени пикового цветения (разница между минимальным и максимальным сроками пикового цветения для данного вида). Белые значки — виды, у которых время цветения значимо зависело от числа видов в сообществе, черные — виды, у которых этой зависимости обнаружено не было. Рисунок из дополнительных материалов к обсуждаемой статье в PNAS
Наконец, выяснилось, что по мере увеличения биоразнообразия времена цветения стали более размазанными по времени: время между пиками цветения для разных видов на участках с высоким разнообразием было распределено более равномерно, чем можно было бы ожидать на основе данных по их цветению в монокультуре, где они росли в одиночестве. Такой же эффект наблюдался и на уровне отдельных видов.
Результаты этого исследования еще ждут осмысления. Авторы не объясняют, как уменьшение биоразнообразия может влиять на фенологию, но приводят несколько гипотез. Влияние может быть косвенным, через абиотические факторы (возможно, через те, которые они непосредственно не измеряли, — иначе бы эффект разнообразия не оказался бы значимым), или, возможно, через изменения в меньшем пространственном и временном масштабе, чем был измерены в данном исследовании. Либо влияние может быть прямое, через обмен химическими сигналами между растениями (впрочем, авторы пишут, что на данный момент не известно сигналов, которые могли бы связывать состав сообщества и цветение).
Но каков бы ни был механизм обнаруженного явления, уменьшение разнообразия может быть одной из причин более раннего цветения растений под воздействием глобального потепления — масштабы наблюдаемых фенологических сдвигов оказываются схожими. В частности, полученные результаты могут объяснять, почему эксперименты по выращиванию растений при повышенной температуре недооценивают влияние глобального потепления на фенологию (см. E. M. Wolkovich et al., 2012. Warming experiments underpredict plant phenological responses to climate change).
Интересно, что в данном исследовании наблюдалось явление, похожее на упоминавшееся выше распределение времени цветения между совместно растущими видами. Впрочем, как мы уже говорили, обычно это считают результатом генетических изменений, а не фенотипической пластичности (в некоторых случаях это даже показано прямо) — но в данном эксперименте источник семян для всех участков был один и тот же, поэтому генетическая изменчивость не должна была оказать существенное влияние. Впрочем, растения травянистых сообществ серпентиновых почв отличаются высокой пластичностью, что может быть адаптацией к высокой межгодовой изменчивости уровня осадков и состава сообщества (см. B. S. Jacobs, M. L. Stanton, 2010. Characterizing selection on phenotypic plasticity in response to natural environmental heterogeneity).
Еще один важный результат исследования — несмотря на общий вывод о сдвиге времени пикового цветения на более ранний срок, не все виды реагируют абсолютно одинаково на уменьшение биоразнообразия. Сила их ответной реакции оказывается зависимой от, опять же, фенотипической пластичности, выраженной в разбросе времени цветения. Интересно, что в данном исследовании не выявилась известная по предыдущим работам закономерность: фенологический сдвиг сильнее у наиболее раннецветущих растений. Более того, исследователи затруднились объяснить и необычную реакцию Layia gaillardioides — вида, который стал цвести позже на более бедных видами участках. Авторы прямо пишут об отсутствии объяснения этого факта и считают это указанием на то, что фенология растений высоко изменчива и зависит от многих факторов, часть из которых, возможно, ускользает от внимания исследователей.
В целом, данная работа показывает, что наблюдающиеся в биосфере глобальные изменения гораздо сложнее, чем простое влияние повышения температуры при глобальном потеплении. Вместе с этим меняются и другие абиотические факторы, изменяется состав сообществ (к этому может приложить руку и человек, вольно или невольно уничтожая одни виды и занося другие) — и знание реакции организмов на эти перемены необходимы для адекватной оценки возможных последствий.
Источник: Amelia A. Wolf, Erika S. Zavaletad, and Paul C. Selmants. Flowering phenology shifts in response to biodiversity loss // PNAS. 2017. V. 114. № 13. P. 3463–3468.
Сергей Лысенков




Рис. 1. Виды, использованные в исследовании влияния биоразнообразия на сдвиг времени пикового цветения. А — Stipa pulchra, B — Muilla maritima, C — Plantago erecta, D — Festuca microstachys, E — Lasthenia californica, F — эшшольция калифорнийская (Eschscholzia californica), G — Layia gaillardioides, H — Acmispon wrangelianus, I — Cryptantha flaccida. Черные буквы обозначают виды, которые стали цвести раньше при уменьшении числа сосуществующих с ними видов, голубая — вид, который стал цвести позже, белые — виды, которые не обнаружили значимого сдвига во времени цветения