
Биологи из Великобритании исследовали, какое значение имеет половой отбор в эволюции углеводородного состава кутикулы у плодовых мушек Drosophila pseudoobscura. Для этого они на протяжении нескольких лет вели линии мух двух типов (82 поколения), которые различались только по одному признаку. В одном типе линий каждую самку ссаживали только с одним самцом, в другом типе линий на каждую самку приходилось по шесть самцов. В итоге углеводородный состав кутикулы в двух типах линий оказался различным как по количеству, так и по качеству.
Гениальная идея полового отбора была впервые предложена Дарвином в его труде «Происхождение человека и половой отбор». Дарвин отличал половой отбор от естественного отбора, проводя следующие сравнения. Естественный отбор происходит в процессе борьбы за существование всех особей в популяции независимо от пола. Половой отбор происходит в процессе борьбы между самцами за обладание самками (как правило, в животном мире именно самцы соревнуются за самок, так как на производство спермы затрачивается меньше времени и ресурсов, чем на производство яйцеклеток). В результате мы имеем не гибель неприспособленных и выживание приспособленных особей, как в случае естественного отбора, а малое или нулевое число потомков неудачливых самцов и большое число потомков самцов-победителей.
В одних случаях естественный и половой отбор не противоречат друг другу и могут идти рука об руку (см., например, Женская привередливость способствует видообразованию, «Элементы», 25.12.2009). Такие признаки, как устойчивость к паразитам, высокая выживаемость, плодовитость, эффективность метаболизма могут подхватываться обеими формами отбора. В других случаях половой отбор трудно объяснить с точки зрения естественного отбора. Очень длинный хвост мешает летать или удирать от хищника, очень большие рога понижают мобильность и скорость передвижения, очень громкая любовная песня привлекает не только самок, но и потенциальных хищников, и т. д.
Проблема Дарвина была в том, что он не смог объяснить механизмы предпочтений самок: почему самки выбирают самца с экстравагантным признаком, если этот признак часто только мешает его владельцу? Если в одних случаях самочьи предпочтения еще можно было объяснить практической выгодой для самки (например, если самец выстраивает замечательное гнездо для будущего потомства или приносит большой «брачный подарок» самке), то в других, гораздо более многочисленных, случаях эти предпочтения были непонятны. Если самец не вносит никакого вклада в заботу о будущем потомстве, а дает только свои гены, то, кажется, какая разница, какого цвета у него хвост или сколько колен он выводит в своей песне?
Хотя со времен опубликования труда Дарвина прошло уже 140 лет, дебаты по поводу важности полового отбора в эволюции не прекращаются. Несмотря на то, что было предложено несколько механизмов и моделей полового отбора, как правило, ни один из механизмов не был убедительно доказан на конкретном эмпирическом материале.
Более того, не так много можно найти в литературе данных по экспериментальной эволюции, которые бы доказывали наличие полового отбора. Чаще всего мы можем найти лишь предположения, что тот или иной экстравагантный признак есть результат действия этой формы отбора. Поэтому каждый новый эксперимент, в котором ставилась бы четкая задача продемонстрировать действие полового отбора, заслуживает внимания.
Английские биологи из Эксетерского и Шеффилдского университетов поставили долгосрочный лабораторный эксперимент на мухах Drosophila pseudoobscura (близких родственниках D. melanogaster). Биологи сконцентрировали внимание на химических сигналах, которыми обмениваются мухи противоположного пола во время ухаживания, а точнее — на углеводородном составе кутикулы. Предполагается, что исходная функция углеводородов, находящихся во внешнем слое кутикулы, — защита организма от высыхания. На разных видах насекомых было показано, что чем суше условия, в которых живет данный вид, тем больший процент углеводородов с длинными цепями можно обнаружить в составе его кутикулы. В то же время, разные виды насекомых, живущие в одних и тех же условиях, существенно различаются по углеводородному составу. Считается, что углеводороды используются не только для межвидовой, но и для внутривидовой коммуникации. Например, на D. melanogaster было показано, что особи противоположного пола различаются по относительному количеству определенных углеводородов (cм. Феромоны не привлекают, а заставляют задуматься, «Элементы», 19.10.2009), и, более того, это количество может меняться даже в процессе ухаживания и спаривания. Кутикулярные углеводороды почти не летучи, поэтому считается, что насекомые обнаруживают их лишь на близком расстоянии с помощью обонятельных и вкусовых рецепторов.
Авторы исследования создали в лаборатории два типа экспериментальных линий: «моногамный» и «промискуитетный». В моногамных линиях (дальше — М‑линиях) один половозрелый самец всегда ссаживался с одной половозрелой самкой, и от такой пары получали потомство. В промискуитетных линиях (дальше — Е‑линиях) одну самку всегда ссаживали с шестью самцами, предоставляя ей выбор. Самкам давали срок 10 дней на копуляцию и откладку яиц, после чего пускали их в расход. Через 82 поколения (а это довольно долгий срок даже у быстроразмножающихся дрозофил!) мухи были подвергнуты химическому анализу на предмет углеводородного состава кутикулы. Анализ проводили традиционным методом газовой хроматографии, который сам по себе несложен, но требует большого опыта и навыков в анализе хроматограмм. Хроматограмма показывает зависимость различных свойств соединений, выходящих из хроматографической колонки с потоком подвижной фазы, от времени с момента начала разделения (рис. 1). В случае углеводородного анализа основным определяемым с помощью хроматографии свойством является молекулярная масса соединения, то есть длина углеводородной цепи. Чем позже появляется пик (повышение концентрации соединения) на хроматограмме, тем длиннее углеводородная цепь соединения. У D. pseudoobscura авторы обнаружили 18 различных углеводородов, концентрации которых, как мы можем видеть, очень различны (рис. 1). Некоторые пики очень маленькие (что соответствует крайне низким концентрациям соответствующих соединений), поэтому от исследователей требовался большой опыт, чтобы отличить реальные пики от шума.
Рис. 1. Хроматограмма типичного профиля углеводородов самца Drosophila pseudoobscura. Числа обозначают пики для разных углеводородов. По оси Х — время удерживания веществ хроматографической колонкой (=время появления максимума пика), по оси Y — количество углеводородов. Изображение из обсуждаемой статьи в Journal of Evolutionary Biology
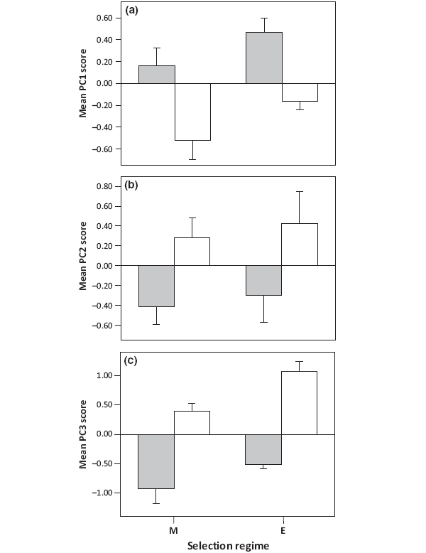
Авторы использовали статистический анализ главных компонент и сравнили первые три компоненты (которые в сумме объясняли больше 70% вариаций углеводородов) у самцов и самок двух типов линий. Первая компонента соответствовала абсолютному количеству углеводородов кутикулы. Оказалось, что значения этого признака были выше в Е‑линиях, чем в М‑линиях, причем для обоих полов (рис. 2а). Вторая компонента описывала соотношение углеводородов с длинными и короткими цепями, то есть отражала качественные изменения состава углеводородов. Напомним, что именно длина цепи имеет значение для защиты от высыхания. По этому признаку различий между линиями не было обнаружено (рис. 2b). Наконец, третья компонента также отражала качественные изменения углеводородного состава, но иные, чем длина цепи. По этому признаку различия между линиями были обнаружены, причем опять для обоих полов (рис. 2с).

Рис. 2. Средние значения и стандартные ошибки для трех первых главных компонент по данным статистического анализа углеводородов. Данные по самцам обозначены белым цветом, по самкам — серым; М — моногамные линии, Е — промискуитетные. Изображение из обсуждаемой статьи в Journal of Evolutionary Biology
Итак, количество и качество углеводородного состава кутикулы менялось, если самкам предоставлялся выбор половых партнеров. Не менялось лишь соотношение углеводородов с разной длиной цепи, и это как раз объяснимо, поскольку этот признак существенен при защите кутикулы от высыхания. Поскольку линии велись в одинаковых условиях температуры и влажности, защитные свойства кутикулы не должны меняться. В Е‑линиях суммарное количество углеводородов оказалось выше, чем в М‑линиях. На основании этих данных авторы заключили, что именно половой отбор влияет на углеводородный состав кутикулы, и предложили два объяснения тому, почему это происходит. Первое: различия в количестве углеводородов есть результат уменьшения их продукции в моногамных линиях. Это может происходить в том случае, если производство лишних углеводородов — дорогое удовольствие, требующее дополнительных ресурсов. В этом случае налицо конфликт естественного и полового отборов. Второе объяснение: в Е‑линиях увеличивается продукция углеводородов, если их производство дешево. Вполне возможно, что в условиях острой конкуренции за самку самцы стремятся перещеголять друг друга в силе запаха, привлекающего самку.
Остается не очень понятным, почему изменения состава кутикулы происходили у обоих полов (хотя, судя по рис. 2с, изменения третьей компоненты пусть не достоверно, но сильнее у самцов, чем у самок). Логично было бы ожидать, что эти изменения затронут только самцов. С другой стороны, несомненно, что в Е‑линиях самки подвергались более продолжительному ухаживанию, которое в принципе у дрозофил очень сложное и состоит из последовательности сигналов разной модальности (химических, акустических, тактильных и зрительных). Поэтому можно предположить, что состояние самок, пользующихся бешеным успехом у самцов, вполне могло отличаться от состояния самок, живущих скучной моногамной семьей. Это вполне могло отразиться на изменении углеводородного состава кутикулы самок. Кроме того, для D. melanogaster известно, что углеводороды связаны с продукцией предшественников жирных кислот, которые, в свою очередь, играют большую роль в продукции яйцеклеток и сперматозоидов. На разных видах животных было показано, что самки, спаривающиеся со многими самцами, производят больше яйцеклеток, чем самки, имеющие одного полового партнера.
Правда, в данном эксперименте никто не контролировал, со сколькими самцами в среднем спаривалась самка в Е‑линиях (это простительно — в 82 поколениях это исследовать очень трудно!). Остается также неизвестно, какой механизм полового отбора работал в этих экспериментах — соревнования самцов (драки), или выбор самкой «лучшего» самца, или то и другое. Для выяснения механизма нужно ставить новые эксперименты, а мы можем, по крайней мере, радоваться, что есть еще одно свидетельство работы полового отбора.
Источник: J. Hunt, R. R. Snook, C. Mitchell, H. S. Crudgington, A. J. Moore. Sexual selection and experimental evolution of chemical signals in Drosophila pseudoobscura // Journal of Evolutionary Biology. 2012. V. 25.P. 2232–2241.
Варвара Веденина




Дрозофил культивируют в лаборатории чаще всего в пробирках или банках, на дне которых помещают питательную среду; последняя служит и кормом, и субстратом для откладки яиц. Изображение с сайта www.sbes.stir.ac.uk