Анализ найденных археологами к сегодняшнему дню костных остатков средне- и позднепалеолитических людей показал, что взрослая смертность у ранних сапиенсов была так же высока, как у неандертальцев и других «архаичных людей». По-видимому, из всех доживших до двадцати лет лишь около четверти доживало до сорока. Это означает, что предполагаемый рост численности сапиенсов в конце среднего — начале позднего палеолита не был связан со снижением взрослой смертности. Он может объясняться снижением детской и подростковой смертности, или, что менее вероятно, ростом плодовитости, но проверить эти гипотезы на основе имеющихся данных трудно.
Многие антропологи предполагают, что в начале верхнепалеолитической эпохи (примерно 50–30 тысяч лет назад), а возможно, и раньше — в среднем палеолите, популяции Homo sapiens испытали значительный демографический рост. Не исключено, что демографические факторы способствовали быстрому вытеснению сапиенсами неандертальцев и других «поздних архаичных людей» (это условное обобщенное наименование среднепалеолитических людей, не имеющих характерных «продвинутых» сапиентных признаков; сюда относятся не только неандертальцы, но и другие люди, которых нельзя с уверенностью отнести ни к сапиенсам, ни к неандертальцам). Причины демографического роста сапиенсов точно не известны, но логично предположить, что одной из причин могло быть снижение взрослой смертности и увеличение ожидаемой продолжительности жизни взрослых людей. На такую возможность указывает тот факт, что кости и зубы неандертальцев несут в среднем больше следов болезней, травм и других признаков тяжелых и стрессовых жизненных условий по сравнению с костями ранних сапиенсов.
Для проверки предположения о снижении взрослой смертности у средне- и верхнепалеолитических сапиенсов Эрик Тринкаус (Erik Trinkaus) с антропологического факультета Университета Вашингтона в Сент-Луисе (Department of Anthropology, Washington University, St. Louis) проанализировал возрастной состав древних людей, чьи костные остатки позволяют определить индивидуальный возраст. Для определения возраста палеоантропологи используют несколько признаков, главным из которых является степень стертости эмали коренных зубов. Учитывались только взрослые индивиды (начиная от 20 лет).
Автору удалось получить достоверные данные по 59 «поздним архаичным людям» (преимущественно неандертальцам), 13 среднепалеолитическим сапиенсам из Азии и Северо-Восточной Африки (10 из них происходят из знаменитых пещер Схул и Кафзех на севере Израиля; см. Skhul and Qafzeh hominids), и 49 сапиенсам, жившим в начале позднего палеолита (45–25 тысяч лет назад). В каждой из трех выборок было подсчитано соотношение молодых (до 40 лет) и «старых» (40 лет и более) индивидов. Оказалось, что это соотношение практически одинаково у «поздних архаичных людей» и ранних сапиенсов.
Из 59 «поздних архаичных людей» лишь 14 (23,7%) дожили до сорока, из 13 среднепалеолитических сапиенсов — только один (7,7%), из 49 верхнепалеолитических сапиенсов — 13 (26,5%). Достоверных различий между ранними сапиенсами и неандертальцами по данному показателю не обнаружено.
При этом все три выборки резко отличаются по возрастному составу от аналогичных археологических выборок, относящихся к голоцену, то есть к последним 10 тысячелетиям. В голоценовых археологических выборках доля людей от сорока и старше составляет в среднем 39,3%. Еще выше этот показатель у современных диких народов, не имеющих медицины (65% двадцатилетних доживают до сорока).

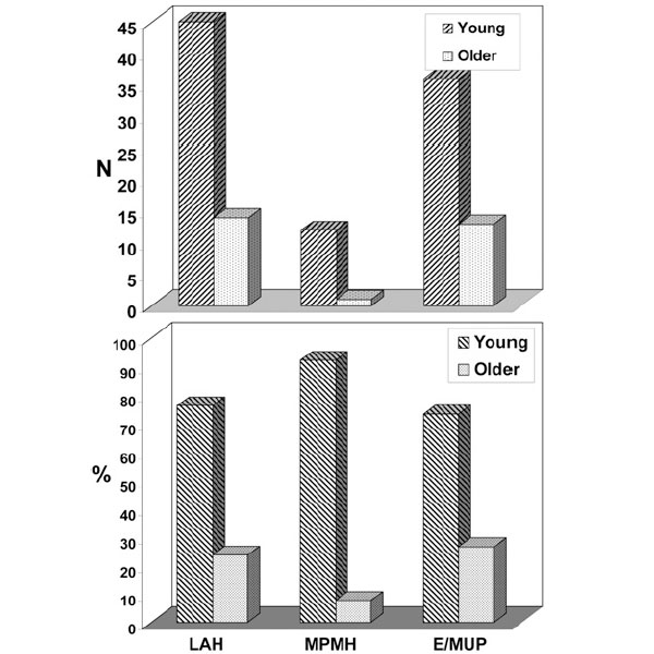
Автор показал, что малое число людей старшего возраста в палеолитических выборках нельзя объяснить тем, что в палеолите люди по каким-то причинам предпочитали хоронить молодых, умерших в расцвете сил, а престарелых чаще оставляли без погребения (вероятность того, что скелет сохранится и попадет в руки археологов, резко возрастает, если человека похоронить). Имеющиеся данные указывают как раз на обратную картину: среди палеолитических людей, которые были сознательно похоронены своими соплеменниками, доля пожилых существенно выше, чем в среднем по всей выборке. Из 59 «поздних архаичных людей» похоронено было 18, из них 44,4% старше сорока; из 13 среднепалеолитических сапиенсов похоронено 11 (9,1% старше сорока); из 49 позднепалеолитических сапиенсов похоронено 27 (33,3% старше сорока).
По-видимому, древние люди чаще предавали земле как раз пожилых соплеменников, а не молодых. Поэтому избирательность погребений могла исказить реальную картину лишь в сторону завышения (а не занижения) доли пожилых среди умерших.
Таким образом, радикального снижения взрослой смертности у сапиенсов в среднем и первой половине позднего палеолита, по-видимому, не было. Оно произошло позже, но когда именно — сказать пока трудно. Средне- и позднепалеолитические сапиенсы обычно умирали молодыми, и по этому демографическому показателю их популяции не отличались от неандертальских. Во всех человеческих коллективах того времени, по-видимому, численно преобладали дети и подростки, среди которых было много сирот. Малое число взрослых людей в группе вело к тому, что трудовая нагрузка на каждого из них была очень велика, что вряд ли способствовало их долгой жизни. К тому же и дедушек с бабушками, которые могли бы помочь нянчиться с малышней, в группах почти не было.
Чем же был обусловлен предполагаемый рост численности сапиенсов в позднем палеолите, если взрослая смертность не уменьшилась? Одно из двух: либо выросла плодовитость (женщины стали чаще рожать), что автор считает маловероятным, либо снизилась детская и подростковая смертность. Проверить это крайне трудно, потому что детей в те времена хоронили редко, и их останки имели мало шансов сохраниться.
Источник: Erik Trinkaus. Late Pleistocene adult mortality patterns and modern human establishment // Proc. Nat. Acad. Sci. USA. Published online before print January 10, 2011, doi: 10.1073/pnas.1018700108.



