
Американские ученые сумели вырастить бактерий, которые способны жить без фосфора — одного из базовых элементов жизни. Вместо фосфора эти бактерии используют мышьяк. Мышьяк является химическим аналогом фосфора, поэтому способен подменить фосфор в биохимических реакциях, идущих внутри клетки. Результаты этого эксперимента фантастичны. Если они подтвердятся, то перед нами первый пример живого существа, изменившего репертуар жизненно необходимых элементов.
Несколько лет назад мне довелось принять участие в исследовании осадков озер, которые расположены в зоне активной вулканической деятельности на Камчатке. В одном из таких озер — озере Фумарольное (см. фумарола) — в осадках обнаружились скопления полностью фоссилизованных (окаменелых) бактерий, всё органическое вещество которых заместилось серой и мышьяком (рис. 1). Это образовались так называемые серо-мышьяковистые псевдоморфозы по бактериям. Удивляться находкам фоссилизованных бактерий не приходится, ведь известно, что бактерии фоссилизируются очень быстро, в течение одного-двух часов (если не быстрее) — был бы в воде переизбыток того или иного минерального вещества.
В случае с мышьяковистыми псевдоморфозами удивил именно материал, который участвовал в фоссилизации, — мышьяк. Ведь обычно бактерии фоссилизируются более распространенными минералами: силикатами, карбонатами; ну, железом и серой, если среда соответственная. Хотя для специалиста-геомикробиолога в арсенатных псевдоморфозах на дне вулканического озера ничего удивительного нет. Хорошо известно, что мышьяк обычно сопутствует любым рудным накоплениям цветных металлов, которые образуются, как правило, в результате вулканической активности, и потому его концентрация в этих районах может быть резко увеличена. Также хорошо известно, что мышьяк — это не тот элемент, избыток которого благоприятствует росту живого. Скорее, наоборот: мышьяк исключительно губителен для живых клеток. Так что в зоне его повышенной концентрации клетки гибнут, и их остатки быстро замещаются окружающими серой и мышьяком.
Но с этим ядовитым для клеток веществом не всё так просто. Есть ряд бактерий, которые в присутствии мышьяка не умирают и как раз приспособили его для своих нужд. Такие бактерии ухитряются восстанавливать мышьяк, используя его в дыхании как акцептор электронов (As V+ → As III+), то есть превращая арсенаты в арсениты. Так действуют анаэробные бактерии. Другие, предпочитающие аэробные условия, напротив, окисляют арсенит кислородом, превращая его в арсенат.
Помимо этих арсенофилов существует много других, способных просто нормально выживать в условиях высоких концентраций мышьяка, не используя его. Эти бактерии, да и не только они, имеют систему защиты от мышьяка, проникшего в клетку, — своего рода механизм детоксикации арсената. В клетке работает особый фермент арсенатредуктаза, превращающий арсенаты в арсениты, которые выводятся из клетки и с затратой энергии.
Почему ядовиты производные мышьяка? Это объясняется весьма просто: в таблице Менделеева мышьяк располагается прямо под фосфором. Это означает, что по своим химическим свойствам он схож с фосфором, и ферменты в клетке не отличают фосфат от арсената. Если подменить в клетке фосфаты на арсенаты, то процессы брожения — поэтапное фосфорилирование глюкозы — всё равно продолжаются с нормальной скоростью. Иными словами, мышьяк пытается заменить фосфор в жизненно важных процессах. Но в отличие от фосфора он не образует устойчивых соединений: арсенатные «биомолекулы» моментально распадаются, необходимых энергозапасающих молекул наподобие АТФ не образуется. Получается, что все процессы как будто идут своим порядком, а никакой энергии клетка не получает. Кроме того, мышьяк связывается с серой, ингибируя ключевые серосодержащие ферменты. Из-за дефицита энергии и выведения из строя ферментов клетка очень быстро погибает. Таким образом, арсенаты — смертельный двойник фосфатов. Так что задача клетки — отличить двойника от оригинала и как можно быстрее избавится от лишней молекулы.
Это длинное вступление должно показать, что наши представления о мышьяке укладывались в несколько вполне понятных тезисов. Во-первых, если в среде концентрация мышьяка очень высока, клетка умирает, замещаясь мышьяком и другими элементами, ему сопутствующими (обычно это сера и железо). Во-вторых, при чуть более низких концентрациях некоторые клетки используют этот элемент себе на пользу в энергетических процессах — либо переходя на арсенатное дыхание, либо окисляя арсениты. В-третьих, в клетках имеются специальные ферменты для обезвреживания и выведения наружу арсенатов — смертельных двойников фосфатов.
Остается лишь добавить, что арсенаты проникают в клетку за счет той же схожести с фосфором. Те молекулы, которые осуществляют внутриклеточный транспорт фосфора, могут переправить внутрь клетки и мышьяк. У многих организмов, например у E. coli, имеется две системы, которые занимаются транспортировкой фосфора. Одна из них фосфороспецифичная и точно распознает именно фосфор, другая неспецифичная и может захватывать и фосфор, и мышьяк (см. Jackson et al., 2003, PDF, 204 Кб). Так что у тех организмов, которые помимо специфической транспортной системы используют и неспецифическую, мышьяк — если он имеется в среде — обязательно попадет в клетку.
Казалось бы, взаимодействие живого компонента планеты с этим довольно экзотичным веществом этим и ограничивается. Все факты свидетельствуют о скромных возможностях мышьяка. Но ведь ученые обладают еще и фантазией, которая ограничивается в известной степени лишь логикой. Эта фантазия может увести их далеко за фактическую основу земной жизни.
Одну из своих недавних публикаций Рональд Оремланд из Геологической службы США начал лирическим отступлением о давнем экзаменационном вопросе, не дающем ему покоя и по сей день: «Представьте себе наипримитивнейшую жизнь на Марсе. Какое геомикробиологическое явление вы бы положили в ее основу?» Оремланд считает, что, несмотря на свою грозную славу, мышьяк вполне мог бы быть одним из основных элементов внеземной жизни.
По некоторым показателям, на заре существования нашей планеты мышьяка на ее поверхности было гораздо больше, и он был способен образовывать те же соединения, что и фосфор. В щелочных условиях и в присутствии карбонатов мышьяк устойчив в восстановленной форме (As III). Так что в отсутствие кислорода он мог бы служить основой дыхания обитателей «восстановительных» планет. На Земле и в самом деле имеются такие места — щелочные пересоленные озера с очень высоким содержанием мышьяка. Там мышьяк присутствует в форме и арсената, и арсенита. Исследование таких экосистем, по мнению Оремланда, должно показать фантастические возможности форм жизни, обратить наш взгляд в самое далекое прошлое, возможно стартовавшее не на нашей планете.

Обитатели подобных озер успешно приспособились к экстремальным щелочным условиям, повышенной солености и высокой концентрации мышьяка. В самом насыщенном мышьяком озере Сирлз (Searles lake; см. рис. 2, цифра 5) со сверхвысокой соленостью вполне нормально выживает целый комплекс организмов, использующих мышьяк в своем энергетическом хозяйстве. Ниже приведена схема, на которой эти бактерии и археи собраны в филогенетическом порядке. Бактерий, как мы видим, гораздо больше, чем архей.
Оремланд полагает, что самыми примитивными, исходными, пользователями мышьяка были гетеротрофные окислители арсенита. По крайней мере, ферменты, которые задействованы у них в преобразовании мышьяка, оказываются филогенетически наиболее древними.
Но увлеченным исследователям было недостаточно показать еще одну сторону безграничных метаболических возможностей бактерий. Недостаточно доказать, что бактерии имеют и используют древнейший аппарат для взаимодействия с этой частью планетарной химии. Они решили продемонстрировать, что мышьяк, по сути ядовитый элемент, может стать составной частью основных биомолекул, сместив с позиций фосфор. Теоретически это возможно. Арсенаты постоянно встраиваются на место фосфатов в биомолекулах, но, будучи нестойкими, их соединения тут же замещаются нормальными фосфатами. В отсутствие фосфатов клетка может выработать способы увеличивать устойчивость таких арсенатных биомолекул. Так как в отсутствие фосфора заменить их будет нечем, то постепенно сформируется своего рода мышьячная химера, у которой вместо фосфора в биомолеулы встроен мышьяк.
Но способна ли клетка на подобное творчество, способны ли такие биомолекулы существовать сколько-нибудь продолжительное время, способны ли они поддерживать жизнь реального, а не гипотетического организма? Чтобы доказать эту сумасшедшую по своей сути идею, был поставлен микробиологический эксперимент. Вряд ли ученые могли всерьез надеяться на положительный результат, но эксперимент тем не менее удался. В нем участвовали 12 специалистов, представляющие 8 научных учреждений США, в том числе Аризонский государственный университет, Геологическую службу США, Институт астробиологии NASA и другие.
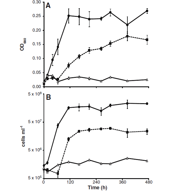
Сам эксперимент состоял в следующем. Донный осадок из озера Моно (Lake Mono; на рис. 2 оно под цифрой 4) поместили в пробирку со средой. Среда состояла из стандартного набора солей, витаминов, микроэлементов — за исключением фосфатов. Фосфора в раствор не добавляли. Предполагалось, что в этой среде будут размножаться бактерии, населяющие озерный осадок и, следовательно, уже адаптированные к высоким концентрациям мышьяка. Концентрацию арсенатов в течение 3 месяцев ступенчато увеличивали с 0,1 до 5 ммоль, то есть до уровня в 25 раз выше естественного для озера. При каждом новом повышении концентрации мышьяка в раствор пересевали пробу из старой пробирки и давали бактериям размножиться. Опять же, без фосфора.
Через три месяца проба из последней пробирки была перенесена на агар. И стало видно, что к этим сверхъядовитым условиям сумели приспособиться два вида бактерий, то есть выросли бактериальные колонии двух типов. Выбрали тот из них, где рост шел быстрее. Эти колонии, как оказалось, образовывала бактерия рода Halomonas. Выделенный штамм выращивали затем при разных концентрациях мышьяка без добавления фосфора, сравнив с ростом этой бактерии в нормальных условиях — без арсената, но с фосфором.
Самое удивительное, что в среде без фосфора бактерии продолжали размножаться, демонстрируя неплохие показатели роста. Средняя скорость роста, как подсчитали ученые, была всего в полтора раза ниже, чем у контролей с фосфором (0,53 сут–1 против 0,87 сут–1: рост оценивали по оптической плотности). Самое важное, что в среде без мышьяка и без фосфора клетки не росли совсем. Здесь стоит повторить, что клетки росли в среде, в которой фосфор обнаруживался лишь в следовых количествах, находящихся далеко за пределами жизненно необходимых концентраций этого элемента. Нехватку фосфора они восполнили мышьяком, оставшись при этом вполне жизнеспособными. Эту операцию по смене ориентации с фосфорной на мышьячную они проделали всего за три месяца.

Теперь нужно было выяснить, куда всё же направлялся мышьяк, или, точнее, действительно ли мышьяк встраивался в биомолекулы. Возможно, он всё же просто накапливался в виде гранул или внутриклеточных скоплений, и ученые зафиксировали не полную химическую переориентацию, а просто начальные стадии фоссилизации. Действительно, в клетках, увеличенных примерно в 1,5 раза по сравнению с выращенными на фосфоре, имеются крупные вакуоли. Этих вакуолей в фосфорных вариантах нет.

Так что нужно было еще доказать, что мышьяк участвует в построении клетки. Для этого были предложены три рода доказательств. Во-первых, исследование распределения изотопной метки мышьяка. Во-вторых, изучение элементного состава ДНК этих организмов. В-третьих, демонстрация химической структуры соединений мышьяка, входящих в ДНК. Нужно сразу подчеркнуть, что все эти доказательства косвенные, но вместе с тем все они свидетельствуют в пользу мышьячных биомолекул.
Изотопная метка распределилась в клетке примерно так, как должен быть распределен фосфор. Десятая часть меченого изотопа связалась с нуклеиновыми кислотами, три четверти обнаружились в белковой фракции, остальное присоединилось к липидам. Ученые считают, что порядок цифр этого соотношения в принципе верный и соответствует размеру бактериального генома.
Элементный состав выделенной и очищенной ДНК мышьячного штамма также был подвергнут всестороннему изучению.
Из мышьячного штамма выделили чистую ДНК и проанализировали элементный состав. В ДНК мышьячного штамма соотношение мышьяка и углерода было примерно в два раза выше, чем у фосфорного штамма. А соотношение фосфора и углерода, напротив, существенно выше в случае с фосфорным штаммом.
Структура связей внутриклеточного мышьяка изучалась с помощью рентгенспектрометрии. Этот метод позволяет заключить, в каких позициях находится тот или иной элемент. Мышьяк мог находиться в трехвалентном состоянии, связываясь с серой, железом или кислородом, мог быть в виде арсенатов, образовавших комплексные связи с органическими молекулами, а мог оказаться встроенным вместо фосфора в молекулы ДНК. Максимумы и минимумы получившейся рефлексограммы больше всего схожи с кристаллической структурой ДНК, тогда как минеральные неорганические соединения с серой и железом совсем не похожи на получившийся график. График рефлексов органомышьячных комплексов в статье, к сожалению, не приведен. Тем не менее сходство с кристаллической структурной ДНК выглядит убедительно.
Итак, перед нами совершенно исключительная бактерия. Она растет на среде без фосфора, но если фосфор вдруг появляется, то легко переключается на утилизацию фосфора. В условиях отсутствия фосфора молекулы ДНК, РНК, NADH, ацетил-кофермент-A она строит с помощью мышьяка. Ученые предполагают, что устойчивость этим арсенатным молекулам обеспечивает среда, богатая поли-β-гидроксилбутиратом — веществом, замедляющим гидролиз соединений мышьяка. Вероятно, в вакуолях арсенатных клеток содержится именно это гидроксилбутират.
Является ли такая сверхъестественная (в буквальном смысле) лабильность метаболизма свойством выделенного штамма или же она — результат ускоренного (всего за три месяца!) нововведения, полностью изменившего биохимию бактерии. Широкий запас биохимических трюков или Эволюция? К сожалению, это неизвестно. Но так или иначе, понятно, что жизнь как явление не ограничивается скромными предложениями современной Земли. В репертуаре даже современных бактерий имеется масса удивительных и фантастических возможностей.
Это исследование настолько важно для понимания сущности жизни на нашей планете, что стоит на время придержать эмоциональный отклик, занявшись рутинной проверкой этих ошеломляющих результатов. Надо повторить исследование в нескольких независимых лабораториях, проанализировать ограничения методов исследования, чтобы не начать ненароком преждевременно праздновать победу.
Источник: Felisa Wolfe-Simon, Jodi Switzer Blum, Thomas R. Kulp, Gwyneth W. Gordon, Shelley E. Hoeft, Jennifer Pett-Ridge, John F. Stolz, Samuel M. Webb, Peter K. Weber, Paul C. W. Davies, Ariel D. Anbar, Ronald S. Oremland. A Bacterium That Can Grow by Using Arsenic Instead of Phosphorus // Science. 2010, 2 December.
См. также:
1) Ronald S. Oremland, Chad W. Saltikov, Felisa Wolfe-Simon, John F. Stolz. Arsenic in the Evolution of Earth and Extraterrestrial Ecosystems (PDF, 1,85 Мб) // Geomicrobiology. 2009. V. 26. P. 522–536 (полный обзор всех микробиологических явлений, связанных с мышьяком).
2) Colin R. Jackson, Evelyn F. Jackson, Sandra L. Dugas, Karyn Gamble, Shawn E. Williams. Microbial transformations of arsenite and arsenate in natural environments (PDF, 204 Кб) // Recent Research Developments in Microbiology. 2003. V. 7. P. 103–118 (хорошо написанный обзор по бактериальному и абиотическому преобразованию соединений мышьяка в природе).
Елена Наймарк



