
При падении диска в воду возникает воздушная полость, которая, схлопываясь, приводит к образованию всплеска. Используя высокоскоростную камеру и численное моделирование, голландские и испанские физики показали, что общепринятая теория формирования всплеска плохо объясняет наблюдаемое явление, и предложили свою модель данного эффекта.
Наиболее заметное явление при падении твердого тела в воду — это образование всплеска — тонкой струи, направленной вертикально вверх. Последовательность событий, приводящих к этому эффекту, была описана более ста лет назад Артуром Уортингтоном (Arthur Mason Worthington): после столкновения с жидкой средой твердое тело образует в ней полость, которая, благодаря гидростатическому давлению, начинает схлопываться, что приводит к образованию и отсечке воздушного пузыря. Далее из точки, где воздушная полость отсекается (в дальнейшем эту точку будем именовать «точкой отсечки»), выбрасываются две очень тонкие струи — одна направлена вертикально вверх, другая вниз.
Точка отсечки представляет собой так называемую конечно-временную сингулярность — локальную расходимость (очень большое изменение) амплитуды или градиента какой-либо физической величины за конечное время. В последние годы конечно-временная сингулярность очень активно изучается в гидродинамике. Энергия жидкости, движущейся в окрестности такой сингулярности, как бы концентрируется в точке отсечки, в результате чего и создаются упомянутые выше всплески, или струи Уортингтона.
Кстати, заметим, что такая конечно-временная сингулярность проявляется не только при исследовании динамических явлений в жидкости, но и в механике; яркий пример — диск Эйлера (Euler's disk). Это круглый диск, который одновременно совершает качение и вращение на горизонтальной плоскости; при этом в конце его движения возникает две особенности: резкое увеличение частоты звука, идущего от контакта диска с поверхностью, и последующая внезапная остановка движения. Эта внезапная остановка и есть конечно-временная сингулярность (см. об этом, например: Euler's disk and its finite-time singularity // Nature. 2000. V. 404. P. 833–834). С точки зрения физики происходит бесконечно большое возрастание угловой скорости вращения диска за конечное время. Между прочим, обычную монету можно рассматривать как диск Эйлера, а ее «дрожание» на конечной стадии ее движения можно считать конечно-временной сингулярностью. (Просто изобретатель коммерческой игрушки «диск Эйлера» Джозеф Бендик оптимизировал выбор диска и поверхности таким образом, что время, необходимое для остановки диска, выходит за пределы 60 секунд.)
В своей недавней публикации в журнале Physical Review Letters (доступной также в виде препринта) голландские и испанские исследователи утверждают, что радиальная фокусировка энергии течения жидкости в точке отсечки (в сингулярности) не объясняет в полной мере экстремально малую толщину всплесков, возникающих при столкновении твердого тела с поверхностью жидкости. Они показали, что формирование струи Уортингтона можно объяснить не течением жидкости вблизи конечно-временной сингулярности, а рассматривая процесс столкновения стенок воздушной полости целиком — от начала её образования и вплоть до исчезновения.
Физики наблюдали падение диска радиусом R0 = 2 см на поверхность воды со скоростью V0 = 1 м/с. Числа Рейнольдса и Вебера (см. ниже) составляли довольно большие значения, так что эффектами вязкости воды и ее поверхностным натяжением при падении диска в воду можно пренебречь. Единственным контролирующим параметром в эксперименте было число Фруда (см. ниже), равное 5,1.
Число Рейнольдса (обозначается Re) определяет характер потока жидкости или газа — ламинарный или турбулентный. Эта безразмерная величина равна произведению скорости течения, диаметра трубы и плотности жидкости, деленному на ее вязкость
Число Вебера (Weber number), We, определяется как соотношение инерционных сил и поверхностного натяжения. Для больших чисел Вебера доминируют инерционные силы, для маленьких — силы поверхностного натяжения. Число Вебера имеет значение при формировании волн на свободных поверхностях, для потоков жидкости в капиллярах и каналах, а также в формировании капелек. При небольших числах доминируют силы, связанные с поверхностью.
Число Фруда, Fr, имеет большое значение для гидродинамики системы в гравитационном поле. Оно характеризует соотношение между инерционными силами и гравитацией. При больших значениях числа Фруда эффектом силы тяжести пренебрегают, при малых значениях не учитывают уже инерцию.
Падение диска в воду с последующим образованием полости, ее схлопыванием и генерацией всплесков фиксировалось высокоскоростной камерой — 30 000 кадров в секунду (см. видео). Затем авторы, используя специальные численные методы, промоделировали исследуемое явление — правда, уже с учетом сил поверхностного натяжения, но пренебрегая сопротивлением воздуха. На рис. 1 показаны изменения в топологии полости — от момента отсечки до момента, когда нижний всплеск «догоняет» падающий диск (см. также анимацию моделирования).
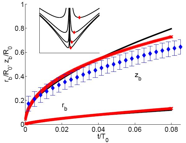
Координата z = 0 здесь соответствует точке отсечки воздушной полости, которая создается в момент времени t = 0. Скорость, расстояние и время нормировались соответственно на величины v0, R0 и T0, где T0 — некое характерное время, которое вводилось как отношение R0/v0 и составляло 0,02 c (таким образом, 0,08 на графике соответствует реальному времени 0,08 · 0,02 = 0,0016 с). Изучая формирование струй Уортингтона, авторы сфокусировали внимание на динамике поведения основания всплеска — самой низкой точки его поверхности (показана на вставке на рис. 2 красным цветом).

Основными моделируемыми параметрами были величины zb (координата основания поверхности верхней струи Уортингтона) и rb (расстояние от zb до вертикальной оси всплеска z). Видно, что численная модель явления (показана красными кривыми) неплохо согласуется с экспериментально наблюдаемыми данными (синие ромбы). Интересно, что процесс формирования всплесков занимает очень мало времени — глядя на рисунок 1b, можно подсчитать, что с момента образования конечно-временной сингулярности проходит около 0,2 мс.
Такая большая скорость, однако, не связана с течением жидкости вокруг точки отсечки полости, как это объясняется и описывается в других статьях и экспериментах.

С чем это связано, показывает рис. 3. Он демонстрирует, что после исчезновения точки отсечки жидкость практически не ускоряется вдоль оси z, зато вблизи оснований всплеска появляются области, где вертикально направленное ускорение жидкости принимает огромное значение — порядка 104 м/с2. И именно эти области, а не конечно-временная сингулярность (точка отсечки), ответственны за образование струи Уортингтона. Эти области за счет своего большого вертикального ускорения как бы выдавливает жидкость наверх в виде тоненькой струи, что в итоге и приводит к наблюдаемому явлению. Причиной очень малой толщины струи являются маленькие размеры областей, где ускорение жидкости велико.
Здесь уместна такая аналогия: нечто подобное наблюдается, когда выдавливается зубная паста из тюбика. Сжимая стенки тюбика, вы провоцируете движение части пасты к отверстию тюбика, а части пасты внутрь. Таким образом, необходимо рассматривать не только образующуюся сингулярность, но и продолжающийся процесс схлопывания полости после ее (сингулярности) исчезновения.

Рис. 4 красноречиво дополняет сказанное выше. На нём схематически изображено, как сталкиваются стенки воздушной полости (или, что то же самое, границы свободной поверхности воды) и как потом образуются всплески. Зеленые стрелки показывают участки жидкости, ответственные за образование струй Уортингтона.
Авторы статьи предлагают также и теоретическую модель образования всплеска. На рис. 2 представлен графический результат этой теории — черная кривая, которая неплохо согласуется с численным моделированием и экспериментальными результатами.
Статей, которые изучают такого рода явления, немало (например, см. Morphological Study of Cavity and Worthington Jet Formations for Newtonian and Non-Newtonian Liquids), но удивительно, что до объяснения такого обыденного эффекта додумались только сейчас.
Источник: Stephan Gekle, José Manuel Gordillo, Devaraj van der Meer, Detlef Lohse. High-Speed Jet Formation after Solid Object Impact // Physical Review Letters, 102, 034502 (2009).
См. также:
Why Dropping a Stone Makes a Jet?, Phys. Rev. Focus 23, story 3 (популярный пересказ статьи).
Юрий Ерин



