
Предварительные расчеты итало-немецкой группы физиков-теоретиков показывают, что металлический водород, находящийся под давлением около 4,5 млн атмосфер, может обладать наибольшей среди высокотемпературных сверхпроводников критической температурой перехода, равной 242 К (–31 градус Цельсия).
Температура, при которой газообразный водород становится жидкостью, составляет 20 К. Перевести жидкий водород в твердое состояние можно, понизив температуру еще на 6 К. В 1935 году Юджин Вигнер и Хиллард Хантингтон опубликовали статью, в которой они первыми предположили, что при высоких давлениях водород из газа с диэлектрическими свойствами должен превратиться в проводящий металл. Превращение, по мнению авторов, будет происходить при давлении примерно 25 ГПа (1 ГПа равен приблизительно 10 тыс. атмосфер). (Отметим, что водород проявляет металлические свойства — например, хорошо проводит электрический ток — не обязательно находясь именно в твердом агрегатном состоянии. Иными словами, водород может быть и жидкостью с металлическими свойствами — эдакий жидкий металл.)
Экзотика на этом не закончилась, и в 1971 году появилась работа советских теоретиков во главе с Юрием Каганом, которые доказывали, что металлический водород может оказаться метастабильным. Слово «метастабильный» означает, что после снятия высокого давления водород не превратится снова в газ с диэлектрическими, непроводящими свойствами, а будет оставаться металлом. Однако всё еще неизвестно, будет ли время существования такой метастабильной фазы достаточным, чтобы попытаться измерить ее свойства и успеть применить.
В экспериментальном плане первый успех, связанный с водородом, был достигнут, когда в феврале 1975 года группа ученых под руководством Леонида Верещагина из Института физики высоких давлений СССР получил водород в металлическом состоянии. При температуре 4,2 К (температура кипения гелия) в тонком слое водорода, подвергнутым с помощью алмазных наковален давлению около 300 ГПа, ученые наблюдали уменьшение электрического сопротивления водорода в несколько миллионов раз, что служило свидетельством перехода в металлическое состояние.
Алмазная наковальня, использующаяся для получения высоких давлений, представляет собой два искусственных алмаза, которые прижимаются друг к другу остриями с помощью пресса. В результате на срезе диаметром всего несколько десятых долей миллиметра достигается необходимое давление. В этом месте в ячейке микрометрового размера находится охлажденный образец. Часто эксперименты делаются с образцами в виде тонких пленок, толщиной до 1 мкм. В том же месте к образцу подводятся миниатюрные измерительные приборы: термопары, электроды и другое необходимое оборудование.
Возникает вопрос: если водород может стать металлическим, то возможен ли дальнейший переход такого состояния в сверхпроводящее? Будет ли металлический водород сверхпроводником? Первым, кто задался таким вопросом, был Нейл Эшкрофт, который в 1968 году (спустя 11 лет после объяснения явления сверхпроводимости), используя теорию БКШ, предсказал, что металлический водород будет обладать экзотическими свойствами, в частности сверхпроводимостью, при высокой температуре, превышающей 200 К.
И вот недавно вышла совместная работа итальянских и немецких физиков-теоретиков Ab Initio Description of High-Temperature Superconductivity in Dense Molecular Hydrogen, в которой утверждается, что, благодаря электрон-фононному механизму образования куперовских пар, критическая температура перехода Tc молекулярного водорода из металлического в сверхпроводящее состояние может достигать рекордного на данный момент значения 242 К. Правда, при этом должно быть огромное давление — 450 ГПа, что приблизительно в 4,5 млн раз больше земного атмосферного давления.
Как происходит электрон-фононное образование куперовских пар? Электрон при перемещении в периодической решетке кристалла притягивает ближайшие положительно заряженные ионы, слегка деформируя решетку и образуя кратковременное увеличение концентрации положительного заряда (см. рис. 1). Эта увеличенная концентрация положительного заряда притягивает другой электрон. Таким образом, эти оба электрона посредством кристаллической решетки притягиваются. Ионы при ненулевой температуре совершают колебания около своих положений равновесия. Кванты таких колебаний называются фононами.
Под электрон-фононным взаимодействием подразумевается сложный процесс взаимодействия электронов с движущейся (колеблющейся) кристаллической решеткой. Когда электрон-фононное взаимодействие превысит кулоновское отталкивание двух электронов, то эти два электрона могут образовать куперовскую пару. Если температура равна нулю, свободный электрон, перемещаясь по кристаллу и возбуждая колебания решетки, может излучить фонон, который будет поглощен другим электроном. В этом случае, как говорят физики, происходит акт электрон-фононного взаимодействия электронов, а значит, электроны могут объединиться в куперовскую пару.

Численно охарактеризовать электрон-фононное взаимодействие можно специальной константой, которую обозначают греческой буквой λ и называют константой электрон-фононного взаимодействия. В теории БКШ она, наряду с температурой Дебая, определяет Tc данного конкретного сверхпроводника. Чем больше значение λ, тем сильнее электрон-фононное взаимодействие и тем выше критическая температура. В подавляющем большинстве сверхпроводников значение λ не превышает единицу.
Однако не надо представлять себе куперовскую пару как некую «двухэлектронную молекулу» — размер этой пары в «обычных», не высокотемпературных сверхпроводниках составляет порядка 1/10 микрометра и превышает во много раз межатомные расстояния в кристалле (в ВТСП этот размер — около 1–10 нм).
Чтобы разорвать куперовскую пару на два отдельных электрона при T = 0, необходимо затратить энергию, равную 2Δ. Δ (так называемая сверхпроводящая энергетическая щель) — еще одна важная характеристика не только в теории БКШ, но и во всей теории сверхпроводимости. Δ зависит от температуры (рис. 2) и при T = Tc зануляется, что легко понять — в этот момент сверхпроводимость разрушается и для разрыва куперовской пары нет надобности затрачивать энергию.

Еще несколько важных замечаний. Теория БКШ справедлива при выполнении следующих допущений:
1) значение константы электрон-фононного взаимодействия значительно меньше 1;
2) сверхпроводники — чистые (без примесей) и бездефектные металлы со строгой периодичностью кристаллической решетки;
3) сверхпроводник изотропен (то есть его физические свойства одинаковы по всем направлениям).
В случае, когда эти условия не выполняются, работает модель БКШ с поправками Элиашберга (концепция Элиашберга), основные положения которой и были использованы в обсуждаемой статье о сверхпроводимости металлического водорода.
Авторам работы удалось рассчитать, как зависит константа электрон-фононного взаимодействия от приложенного к металлическому водороду давления (рис. 3).

Из графика видно, что λ превышает единицу и достигает максимума при давлении 450 ГПа. Максимальное значение константы электрон-фононного взаимодействия, очевидно, соответствует максимальному значению критической температуры, равной 242 К. Последующие теоретические исследования показали, что дальнейшее увеличение давления не приводит к возрастанию критической температуры (рис. 4).
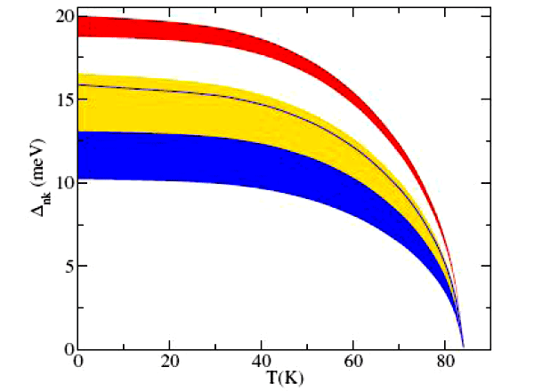
Интересно, что в этой же работе авторы предполагают при не очень больших давлениях наличие трех (!) немаленьких по своему значению энергетических щелей в сверхпроводящем водороде (в сравнении с аналогичной величиной в «обычных», низкотемпературных сверхпроводниках). Это означает присутствие трех «сортов» куперовских пар, то есть имеет место трёхщелевая сверхпроводимость. В рамках данной работы удалось также посчитать, как зависят эти три энергетических щели от температуры (рис. 5). Видно, что их поведение похоже на аналогичную зависимость Δ(T) в теории БКШ.
Более того, как показали расчеты авторов, две меньшие энергетические щели должны проявлять сильную анизотропию своих численных значений (на графике размазанная желтая и синяя область). Грубо говоря, анизотропия энергетических щелей здесь означает зависимость их численного значения от направления движения куперовских пар в сверхпроводящем водороде.

В принципе, неоднощелевая сверхпроводимость уже не является чем-то экзотическим с 2001 года, когда было открыто наличие двух щелей в сверхпроводящем MgB2. Кроме того, как выяснилось позже, диборид магния обладает еще и наивысшей среди сверхпроводников с электрон-фононным механизмом образования куперовских пар критической температурой (39 К). Однако, похоже на то, что «лидерство» в экзотической сверхпроводимости перехватил металлический водород со своей трёхщелевой сверхпроводимость и с самой высокой Tc = 242 К. Остается лишь ожидать экспериментального подтверждения или опровержения результатов данной работы.
Источник: P. Cudazzo, G. Profeta, A. Sanna, A. Floris, A. Continenza, S. Massidda, E. K. U. Gross. Ab Initio Description of High-Temperature Superconductivity in Dense Molecular Hydrogen // Physical Review Letters, 100, 257001 (2008).
Юрий Ерин



