
Последние теоретические и экспериментальные исследования физиков указывают на то, что недавно открытые высокотемпературные сверхпроводники с общей формулой ReFeAsO, возможно, могут использоваться в устройствах для создания постоянных сильных магнитный полей вплоть до 300 Тл.
«Элементы» уже сообщали об открытии нового класса высокотемпературных сверхпроводников (ВТСП). Напомним, что они имеют общую формулу ReFeAsO (где Re обозначает какой-либо из редкоземельных металлов: Sm — самарий, Nd — неодим, Pr — празеодим, Ce — церий, La — лантан) и двумерную кристаллическую структуру подобную купратным (содержащим оксид меди) ВТСП. Эти сверхпроводники состоят из чередующихся слоев ReO и FeAs, «обеспечивающих» материал носителями зарядов и проводящими плоскостями соответственно. При этом критическая температура Tc сильно зависит от размера редкоземельного атома, входящего в состав ВТСП, и степени допирования фтором (то есть того, в какой пропорции атомы кислорода в ВТСП были заменены атомами фтора).
Самое большое значение критической температуры в этом классе соединений (зафиксированное у SmFeAsO) составляет 55 К, что на 22 К ниже температуры кипения азота, что, конечно, пока не дает оснований надеяться на скорый прорыв в решении проблемы комнатной сверхпроводимости. Однако, как недавно было показано, этот новый класс ВТСП может найти применение в другой важной сфере прикладных научных исследований, а именно в создании магнитных полей с очень высоким значением магнитной индукции В.
Но сначала немного теории. Важными характеристиками сверхпроводящего состояния являются длина когерентности ξ (то есть расстояние, на котором электроны взаимодействуют друг с другом, создавая сверхпроводящее состояние) и лондоновская глубина проникновения (см. London penetration depth) магнитного поля в сверхпроводник λ. Понятие длины когерентности было введено английским физиком Альфредом Пиппардом (Alfred Pippard) еще до создания теории БКШ (Бардина–Купера–Шриффера) и, как выяснилось с созданием микроскопической теории сверхпроводимости, грубо говоря означает размер куперовской пары. Понятие лондоновской глубины проникновения появилось в результате теоретических исследований братьев Хайнца и Фрица Лондонов (Heinz London и Fritz London) по электродинамике сверхпроводящего состояния, и дало возможность объяснить эффект Мейснера — явление выталкивание магнитного поля из сверхпроводника.

С появлением в 1950 году феноменологической теории сверхпроводимости Гинзбурга–Ландау (см. также Ginzburg-Landau theory) оказалось, что параметры ξ и λ увеличиваются с ростом температуры по одинаковому закону. Поэтому отношение k = λ / ξ представляет собой константу и, как показал спустя 7 лет Алексей Абрикосов, является критерием деления сверхпроводников на две группы: сверхпроводники 1-го рода — когда
, и 2-го рода — когда
. К сверхпроводникам 1-го рода относятся все чистые элементы-сверхпроводники, кроме ванадия и ниобия. Сплавы, интерметаллические соединения, а также вышеупомянутые ванадий и ниобий — это сверхпроводники 2-го рода. Их важным отличием от сверхпроводников 1-го рода является необычное поведение в магнитном поле. До некоторого значения Bc1 магнитное поле не попадает внутрь сверхпроводника (эффект Мейснера выполняется), при дальнейшем увеличении поля от Bc1 до некоторого значения Bc2 оно проникает в сверхпроводник в виде «нитей» с кольцевыми токами (их называют абрикосовскими вихрями; см. Abrikosov vortex), представляющих собой нормальный, несверхпроводящий участок размером порядка длины когерентности и несущих в себе квант магнитного потока Φ0 (см. рис. 1).
По мере увеличения поля вихри постепенно заполняют весь сверхпроводник. Условно говоря, в образце одновременно сосуществуют сверхпроводящие и нормальные области — чем ближе магнитное поле к Bc2, тем больше нормальных областей. Такое состояние сверхпроводника называют резистивным (также его называют смешанным состоянием или фазой Шубникова). Несмотря на наличие нормальных областей, в целом образец остается сверхпроводящим, то есть по-прежнему проводит ток без сопротивления. Когда же значение магнитного поля достигает Bc2, сверхпроводимость полностью разрушается.
Величины Bc1 и Bc2 называют первым (нижним) и вторым (верхним) критическим полем сверхпроводника. Как правило, значение первого критического поля невысокое и может составлять порядка сотых долей тесла (у Земли магнитное поле приблизительно равно 0,0005 Тл), зато второе поле значительно выше и достигает нескольких тесла (см. рис. 3). Это позволяет на практике использовать сверхпроводники второго рода как важный элемент в конструкции магнитов для создания постоянных сильных полей, не превышающих значение Bc2 (см. на рис. 2 схему сверхпроводящего магнита). Достаточно «запустить» в сверхпроводящую обмотку ток, и создаваемое этой обмоткой поле не будет уменьшаться.

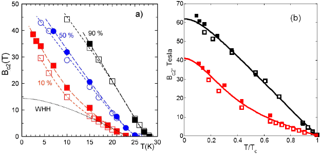
Поскольку, в силу своего химического состава, соединения ReFeAsO относятся к сверхпроводникам второго рода, естественным образом возник вопрос о магнитных свойствах этих материалов. Иными словами, каково значение Bc2 для ReFeAsO? Одними из первых таким вопросом задались физики из Национальной лаборатории высоких магнитных полей США. Они проводили измерения магнетосопротивления (в дальнейшем просто сопротивления) образца LaFeAsO0.89F0.11 (Тс = 26 К) размером 3 × 1 × 0,5 мм в присутствии сильного магнитного поля, силовые линии которого были направлены вначале перпендикулярно, а потом вдоль «лицевой» плоскости материала. Для измерений был использован так называемый гибридный магнит (hybrid magnet), способный создавать постоянное до 9 Тл, или переменное (импульсное) поле до 45 Тл. На рис. 4 приведены результаты измерений для различных температур, не превышающих Тс. Несовпадение графиков справа и слева объясняется анизотропией физических свойств данного материала, что присуще не только ему, но и вообще всем ВТСП.

Проанализировав данные зависимости сопротивления образца от магнитного поля, исследователи построили графики функций B(T) для трех резистивных состояний: когда сопротивление LaFeAsO0.89F0.11 составляет 10, 50 и 90% от сопротивления в нормальном состоянии (см. рис. 5).

Из графиков легко заметить, что второе критическое поле как минимум должно превосходить 60 Тл.
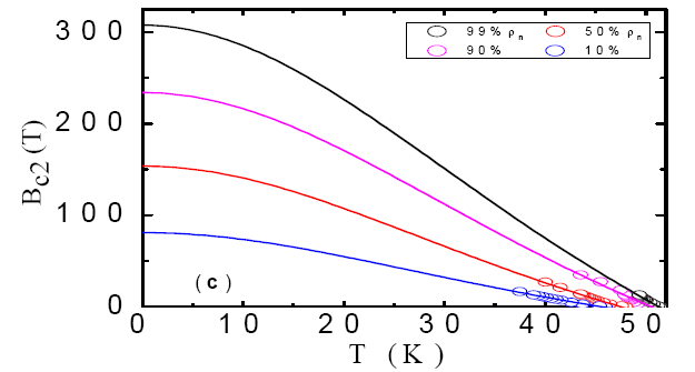
Практически одновременно аналогичные измерения были проведены группой ученых из Австралии и Ирана для другого соединения из класса ReFeAsO — NdFeAsO0.82F0.18 (Тс = 51 К). Правда, в их распоряжении был магнит, способный генерировать магнитное поле не более 13 Тл, а измерения Bc2 проводились, когда силовые линии были направлены только вдоль исследуемого образца. Тем не менее удалось установить, что второе критическое поле для сверхпроводника NdFeAsO0.82F0.18 должно составлять уже около 300 Тл (рис. 6)!

Насколько же перспективно использование данного класса ВТСП для создания магнитов с постоянным полем? В настоящее время наибольшее значение магнитной индукции, которое создает сверхпроводящий магнит, составляет приблизительно 26 Тл. Как видим, благодаря арсенид-железным сверхпроводникам есть возможность создавать поля как минимум в два (если речь идет о LaFeAsO0.89F0.11), а то и в 10 раз (в случае NdFeAsO0.82F0.18) сильнее ныне существующих. Поля такой величины на данный момент создаются лишь в импульсном режиме в течение небольшого промежутка времени — порядка микросекунды, а то и меньше. Возможное создание на основе этих ВТСП постоянных магнитов с такими значениями магнитной индукции несомненно найдет применение в разнообразных научных исследованиях, например в ускорителях заряженных частиц, в моделировании процессов внутри звезд, в процессах магнитного охлаждения и т. д.
Однако остается открытым вопрос о механической устойчивости магнитов, генерирующих поля с такими гигантскими значениями индукции. Сильные магнитные поля способны запросто деформировать конструкцию магнита. Происхождение этого эффекта связано с действием так называемой силы Ампера — силы, с которой магнитное поле действует на проводник с током. Зависимость давления магнитного поля (см. Magnetic pressure) от его «силы» (индукции В) является квадратичной: например, если при В = 1 Тл создается давление 4 атмосферы, то увеличение магнитного поля в 100 раз увеличит давление до 40 тыс. атмосфер. Неизвестно, сможет ли выдержать такую нагрузку конструкция со сверхпроводящим магнитом. В любом случае, последнее слово останется за технологами. Удастся ли им создать такие постоянные магниты, покажет время.
Источники:
1) F. Hunte, J. Jaroszynski, A. Gurevich, D. C. Larbalestier, R. Jin, A. S. Sefat, M. A. McGuire, B. C. Sales, D. K. Christen, D. Mandrus. Two-band superconductivity in LaFeAsO0.89F0.11 at very high magnetic fields // Nature. Published online 28 May 2008 (doi:10.1038/nature07058). Полный текст доступен также в архиве е-принтов: arXiv:0804.0485.
2) X. L. Wang, R. Ghorbani, G. Peleckis, S. X. Dou. Very high critical field and superior Jc-field performance in NdO0.82F0.18FeAs with Tc of 51 K // arXiv:0806.0063 (31 May 2008).
Юрий Ерин



