
По мнению психологов, плохая успеваемость афроамериканских школьников в большой степени обусловлена их низкой самооценкой, навязанной им стереотипным отношением окружающих. Как показал эксперимент, даже небольшое вмешательство, направленное на увеличение самооценки, может улучшить успеваемость детей черной расы, сократив разрыв успеваемости между черными и белыми учениками на 40%.
Показательное для современной Америки исследование проведено группой ученых из Йельского и Стэнфордского университетов (США). Оно посвящено весьма болезненной проблеме современной образовательной системы Америки — низкой успеваемости афроамериканских школьников. Во всей Америке успеваемость негров в среднем существенно ниже, чем у их белых сверстников.
В связи с этим сформировался стереотип расовых умственных различий между белыми и черными американцами. Этот стереотип негативно влияет на самооценку учеников. Помимо этого, заведомо низкие ожидания порождают страх перед возможным фиаско, что, безусловно, увеличивает вероятность провала. В результате число двоечников среди афроамериканцев растет как снежный ком: это самоподдерживающаяся система. Аналогично, от толстых детей мы не ожидаем серьезных спортивных успехов, и, следуя стереотипному отношению, толстый ребенок и сам от себя многого не ожидает и не старается добиться успеха.
Эксперименты, проведенные в провинциальных школах на северо-востоке Америки, показали, что заколдованный круг можно разорвать. И это не так уж сложно. Работа психологов состояла в следующем. Учителей одного из предметов (какого именно, в статье не сообщается, говорится лишь, что для него стереотипное отношение не связано с полом ученика; например, в математике стереотипы указывают на мужское превосходство, а в литературе — на женское) попросили раздать на уроке ученикам именные конвертики с анкетой. Ученики седьмых классов были случайным образом разбиты на контрольную (119 человек) и экспериментальную (124) группы. Анкета учеников экспериментальной группы должна была повысить их самооценку, анкета контрольной группы — нет. В анкетах экспериментальной группы нужно было отметить галочкой наивысшую для ученика ценность (предлагался список ценностей, таких как «отношения с друзьями», «успехи в искусстве» и т. п.), и написать, почему сделан именно этот выбор. В анкетах контрольной группы нужно было отметить наименьшую ценность и написать, почему она может быть важна для кого-то другого.

Повторный эксперимент проводился годом позже и с другой группой семиклассников. Во втором эксперименте предлагалось выбрать не одну, а несколько наивысших (для экспериментальной группы) и наименьших (для контроля) ценностей. Анкета экспериментальной группы представляет собой стандартную методику для повышения самооценки. Удивительно, но это минимальное на первый взгляд вмешательство привело к видимым результатам. Почти все афро-американские школьники повысили свою успеваемость.

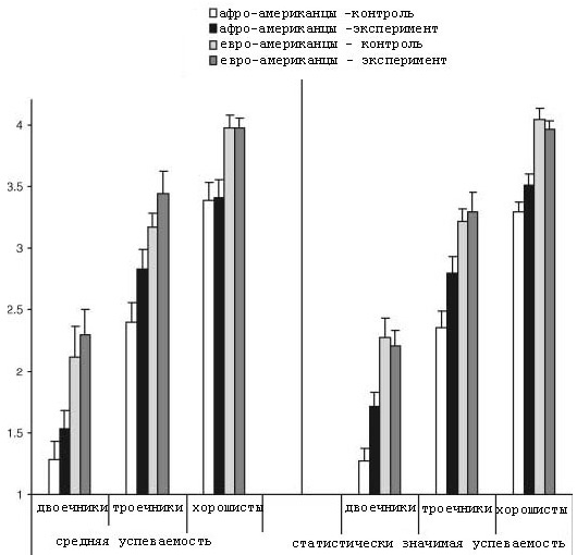
Углубленное анкетирование во втором эксперименте еще больше улучшило ситуацию (оценки в первом эксперименте увеличились на 0,26 балла, во втором случае — на 0,34). В целом, число двоечников среди них уменьшилось более чем вдвое: с 20% до 9%! Разрыв между успеваемостью белых и черных учеников сократился на 40%. При этом улучшились оценки не только у двоечников, но и у троечников и хорошистов. Число отличников, правда, не изменилось.
Зато, как показал строгий статистический анализ, психологическое вмешательство по увеличению самооценки не повлияло на успеваемость белых школьников. Очевидно, эта группа учеников и без того уверена в своих силах, и свои двойки они получают вне зависимости от общественных предрассудков.
Для российской общеобразовательной школы этот эксперимент может показаться неактуальным. Однако обывателя, да и специалиста психолога не может не удивить сам эксперимент. Столь микроскопическое воздействие, каким является однократное анкетирование, заставляющее ученика на 15 минут задуматься: «Что же для меня важно в жизни и кто я, собственно, такой?», приводит к таким серьезным результатам. Авторы работы подчеркивают, что роль не видимых глазу событий в школьной жизни может оказаться огромной. Такие события играют роль пусковых механизмов в психических процессах школьника, и их нельзя упускать из виду во время воспитательной и образовательной деятельности.
Источник: Geoffrey L. Cohen, Julio Garcia, Nancy Apfel, Allison Master. Reducing the racial achievement gap: A social-psychological intervention // Science, 2006, № 313. стр. 1307–1308.
Елена Наймарк



