
Быть непохожим на большинство порой вовсе не плохо, по крайней мере если ты самец гуппи. К такому выводу пришли недавно исследователи, изучавшие выживаемость различающихся по окраске форм («фенотипов») этих мелких пресноводных рыбок, хорошо известных всем аквариумистам. С помощью опытов, проведенных на природных популяциях гуппи в речках Центральной Америки, удалось показать, что шанс остаться в живых больше у тех, кто относится к редкой форме, а не массовой. Всё дело, по-видимому, в том, что хищные рыбы не склонны выбирать жертв, выглядящих необычно.
В популяции любых организмов существуют особи разных типов («морф», фенотипов), отличающиеся друг от друга формой тела, размерами, окраской, поведением и т. п. Хотя бы отчасти эти особенности наследуются. Иными словами, полиморфизм — а именно так называется подобное явление — имеет генетическую составляющую. Согласно расхожему мнению, редкие морфы (например, отличающиеся необычной окраской) обладают пониженной выживаемостью. Считается даже, что они, мол, потому и редки, что обладают какими-то недостатками. Однако специалисты в области популяционной генетики и эволюционной биологии давно уже высказывали предположение прямо противоположное: если редкие фенотипы (и соответствующие им генотипы) сохраняются в популяции, а не отбрасываются естественным отбором, значит, у них должны быть какие-то свои преимущества. Отсюда идея «отрицательного частотно-зависимого отбора», то есть такого отбора, при котором шанс выжить у особи, относящейся к редкому типу, выше, чем у особи, относящейся к массовому типу.

В пользу этого предположения свидетельствовали некоторые косвенные данные, но прямых экспериментальных доказательств не было. И вот они получены. Роберт Олендорф из Школы интегративной биологии Университета Иллинойса совместно с Элен Родд из Торонтского университета (Канада) и коллегами из других научных учреждений США и Панамы показали, что среди самцов гуппи (Poecilia reticulata) редкие морфы характеризуются повышенной выживаемостью по сравнению с морфами массовыми. И получен этот вывод не в лаборатории, а непосредственно в природе — путем искусственного манипулирования соотношением численности разных морф в естественных популяциях.

Исследования проводили в исконных местах обитания гуппи — в Центральной Америке, в Тринидаде, на нескольких небольших речках, где плёсы — более глубокие участки со спокойным течением — чередуются с каменистыми перекатами, а иногда и небольшими водопадами. Естественно складывающиеся группировки гуппи приурочены к конкретным плёсам, хотя отдельные особи мигрируют как вверх по течению (если, конечно, нет водопада), так и вниз. Самки у этих рыб крупнее самцов и имеют невзрачную серую окраску. Самцы заметно мельче и ярко окрашены. В окраске самцов обнаруживается огромный полиморфизм, отчасти определяемый генетически. Каждый самец непохож на других, и их можно легко распознать при последующем отлове.

Логическая схема проведенного эксперимента такова. На участке речки (несколько соседних плёсов) вылавливали сачком всех взрослых гуппи, всех самцов фотографировали, метили и рассортировывали по морфам (фенотипам). Например, выделяли морфу «окрашенную», с ярким пятном на хвосте, или «неокрашенную» (без пятна). В других плёсах выделяли морфы с пятном в виде «флага» или пятном в виде «капли». Затем в одном плёсе формировали искусственную группировку гуппи так, чтобы массовая морфа составляла 2/3 от общей численности, а «редкая» — 1/3.
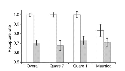
В другом плёсе на той же речке формировали другую группировку: морфу, которая была «редкой» в первом варианте, делали «массовой» (так, чтобы она составляла 2/3 численности), а ту, что была «массовой» — «редкой» (1/3 от общей численности). Самок возвращали в те же плесы и следили, чтобы соотношение полов было таким же, как изначально. Через 15-17 дней после выпуска рыб их снова вылавливали и смотрели, сколько представителей тех или иных форм осталось в живых. Отсутствие рыб при последующем отлове трактовали как их гибель. Если выживаемость редкой формы была выше, чем массовой, то предположение об отрицательном частотно зависимом отборе считалось подтвержденным.
Результаты экспериментов с высокой степенью вероятности подтвердили ожидаемый результат. За четыре года проведено 34 манипуляций по изменению частоты встречаемости разных морф на 19 плёсах на трех речках. И во всех случаях выживаемость более редкой формы была достоверно выше. Возникает вопрос: что же способствовало выживанию более редкой формы? По-видимому, всё объясняется стратегией хищников — рыб Rivulus hartii и Crenicichla alta (первый вид — более мелкий, нападет на молодь гуппи и на самцов; второй — гораздо крупнее, нападает как на самцов, так и самок). Дело в том, что у хищника часто формируется поисковый образ жертвы (search image), причем этот образ соответствует наиболее массовой и доступной добыче. Особей, выглядящих необычно, хищник избегает. Но заметим, что самки гуппи в качестве отца своего потомства предпочитают иметь как раз более экстравагантных, необычно выглядящих самцов.

Источник: Robert Olendorf, F. Helen Rodd, David Punzalan, Anne E. Houde, Carla Hurt, David N. Reznick, Kimberly A. Hughes. Frequency-dependent survival in natural guppy populations // Nature. 2006. V. 441. P. 633-636.
См. также:
K. A. Hughes, L. Du, F. H. Rodd, D.N. Reznick. Familiarity leads to female mate preference for novel males in the guppy Poecilia reticulata (статья полностью: PDF, 2,2 Мб) // Anim. Behav. 1999. V. 58. P. 907-916
Алексей Гиляров



