Л. Штейнгарц,
доктор педагогики из Иерусалима (Израиль)
«Квант» №3, 2012
В математике давно известны функции с удивительным свойством: их график всюду плотен на плоскости. Такие функции часто называют «странными», «экзотическими», «дикими» и т. п. Они хорошо известны специалистам-математикам, но почти не знакомы «широкой публике», например школьникам. Ведь те построения, которые приводятся в литературе (см., например, список в конце статьи), обычно громоздки и требуют серьезной математической подготовки.

Мне удалось найти совершенно элементарное доказательство существования таких функций, с которым я хочу вас познакомить.
Напомню вначале, что множество на плоскости называется всюду плотным, если в любом круге (даже очень маленьком) обязательно найдется хотя бы одна точка из этого множества. Например, множество всех точек плоскости, у которых обе координаты рациональны, — это множество обозначается
— как нетрудно понять, является всюду плотным. Но это множество не является графиком функции. Ведь для функции необходимо, чтобы каждому значению переменной х соответствовало единственное значение переменной у.
Обещанное доказательство довольно абстрактно, и, чтобы оно было более прозрачным для читателей, рассмотрим сначала такую картинку (рис. 1).

Рис. 1.
Перед нами самая известная картина великого Леонардо да Винчи — «Джоконда». Правда, изображенная при помощи старой вычислительной машины. Такие картинки было очень модно изготавливать в конце прошлого века. Впрочем, и сейчас любая картинка на компьютере примерно так и составляется — из точек.

В середине прошлого века компьютер (раньше его называли вычислительной машиной) занимал иногда несколько комнат
Портрет Джоконды состоит из громадного количества точек. Сколько этих точек — мы не знаем. Может, миллион. Может, намного больше. Не важно. Главное, что их конечное количество. Рассмотрим множество всех этих точек как некую геометрическую фигуру. Вспомните школьное определение, что геометрическая фигура — это любое множество точек. И зададим следующий вопрос:

является ли эта фигура графиком некоторой (однозначной) функции?
Разумеется, мы предполагаем, что точки тут математические — они не имеют размера (в отличие от компьютерных пикселей, которые имеют хоть и очень маленький, но все же ненулевой размер).
Для начала ответьте на другой вопрос (ответ не такой уж тривиальный):
является ли полуокружность графиком функции?
А это — как посмотреть! Если так, как показано на рисунке 2, то это график функции (почему?).
А если так, как изображено на рисунке 3, то нет (опять-таки, почему?).
И снова я задаю свой предыдущий вопрос:

является ли «Джоконда» графиком некоторой функции?
Отвечаю. Оказывается, можно так подобрать систему координат (т. е. так выбрать оси x и у), что множество всех точек, образующих портрет Джоконды, окажется графиком некоторой функции. Докажем это.
Обозначим наше множество буквой G — в честь Джоконды. Будем считать, что оно расположено на некоторой числовой плоскости с числовыми осями x и у.
Проведем все прямые, соединяющие попарно все точки нашего множества G. Обозначим множество всех полученных прямых через
. Так как множество G конечно, то ясно, что и множество
также конечно (объясните, почему).
Каждая прямая из этого множества будет образовывать некоторый угол с осью х (для определенности, можно брать меньший угол, хотя это и не принципиально). Таких углов будет тоже конечное множество. Следовательно, на плоскости непременно найдется некоторая прямая, которая не будет совпадать ни с одной из прямых ![]()
Примем эту прямую за новую ось ординат. А любую прямую, ей перпендикулярную, за новую ось абсцисс. Можно сказать и так: посмотрим на портрет Джоконды под другим углом. Но не под каким угодно углом, а так, как было выбрано. Или, что то же самое, просто повернем картинку на нужный угол. Мы увидим примерно то, что изображено на рисунке 4.

Рис. 4.
При этом на каждой прямой, которая параллельна новой оси ординат, будет лежать не более одной точки из множества G, т. е. не более одной точки из портрета Джоконды. А это и означает, что множество точек, образующих портрет Джоконды, превратилось в график некоторой (однозначной!) функции. Ведь каждому значению х (из соответствующей области определения) соответствует единственное значение у. Это следует из нашего построения. И хотя мы не можем указать, какому числу что именно соответствует, это всё же не мешает тому, что будет получен график функции.
Впрочем, при необходимости можно найти формулу даже непрерывной функции, график которой проходит через все точки, принадлежащие портрету Джоконды. Для этого достаточно воспользоваться формулой Лагранжа:
![]()
Здесь (x1; у1), (x2; у2), (x3; у3), ... — это и есть точки «Джоконды», занумерованные в каком-то порядке. Несмотря на довольно пугающий вид, понять эту формулу совсем несложно (попробуйте!). Но об этом как-нибудь в другой раз. Тем более что, нарисовав график такой функции, мы уже вряд ли разглядим в нем Джоконду. Слишком много будет «лишних» линий, соединяющих точки Джоконды в непрерывный график. Так что обойдемся лучше без непрерывных функций и двинемся дальше.
Я надеюсь, что портрет Джоконды поможет более четко представить построение функции, график которой всюду плотен на плоскости. Ведь при этом работает практически та же идея.

Итак, построим теперь нашу «странную» функцию.
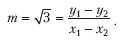
Первый способ. Проведем какую-нибудь прямую вида у = mx + n, которая образует с положительным направлением оси абсцисс угол величиной 60°. Тогда m = tg60° = √3. Докажем, что на такой прямой может лежать не более одной точки с рациональными координатами.
Действительно, предположим, что этой прямой принадлежат две различные точки с рациональными координатами:
A = (x1, у1) и В = (x2, у2).
Тогда
![]()
Вычитая второе уравнение из первого, получим
у1 – у2 = m(x1 – x2).
Значит (учитывая, что (x1 ≠ x2),
![]()
Но это невозможно, так как √3 — число иррациональное. Поэтому на каждой прямой вида у = x√3 + n лежит не более одной точки с рациональными координатами.
А теперь — главная идея (взгляд «с другой стороны»). Оставим множество
«неподвижным» и повернем оси x и у вокруг начала координат на 60° (например, против часовой стрелки). Тогда рассматриваемое нами множество
, как по волшебству, тут же превратится в график некоторой функции.
Если мы хотим, чтобы полученная нами функция была определена для всех действительных чисел, достаточно для остальных точек принять ее значение равным, например, нулю.
Таким образом, получим функцию, определенную на всей числовой прямой, график которой, очевидно, всюду плотен на плоскости.

Если не было компьютера, то умудрялись рисовать Джоконду и другие картинки при помощи печатной машинки
Второй способ. Этот способ еще короче. Но он будет понятен лишь тем, кто знаком с начальными понятиями теории множеств. Он доступен, например, математикам-первокурсникам или ученикам математических классов.

Рис. 5.
Рассмотрим снова множество
всех точек плоскости, у которых обе координаты рациональны. Проведем все прямые, которые соединяют попарно точки множества
. Как известно, множество
(как и
)
В заключение предлагаем решить головоломку, которую я придумал для младших школьников, но которая, как мне кажется, хорошо иллюстрирует главную идею изложенного построения «странной» функции.
Головоломка с двумя бокалами. Перед вами два бокала, построенные при помощи спичек (рис. 5). Переставьте две спички так, чтобы у полученной конфигурации была ось симметрии. Найдите два различных способа решения.
Литература:
1. А. Лопшиц Функциональные уравнения. — «Квант» №1 за 1975 год.
2. Б. Гелбаум, Дж. Олмстед. Контрпримеры в анализе. — М.: Мир, 1967.
3. В. М. Шибинский. Примеры и контрпримеры в математическом анализе.
Может быть, Джоконда так таинственно улыбается, скрывая график функции...