Сергей Попов, Максим Борисов
«Троицкий вариант» №01(45), 19 января 2010 года
2009 год был объявлен ЮНЕСКО Международным годом астрономии. Поводом послужило то, что 400 лет назад Галилео Галилей сделал первые астрономические открытия с помощью телескопа. Прошедший год ожидания вполне оправдал — было получено немало интересных результатов. Это случилось во многом благодаря работе новых наблюдательных инструментов и спутников.

Самым громким событием уходящего года астрономии стало, пожалуй, открытие запасов воды на Луне. Исследованиями нашего спутника занимались сразу несколько автоматических станций, запущенных специалистами США, Японии, Китая и Индии. Четыре аппарата в 2009 г. планово разбились о лунную поверхность, завершая при этом свою научную миссию. Речь идет о запущенных в 2007 г. китайской «Чанъэ-1» (Chang'e-1) и японской «Кагуе» (Kaguya/Selene), американском LCROSS, начавшим свое путешествие к Луне в 2009 г., и Moon Impact Probe (MIP), выпущенном из стартовавшего с Земли в 2008 г. индийского «Чандраяна-1» (Chandrayaan 1).

Подробнее стоит рассказать об LCROSS (Lunar Crater Observation and Sensing Satellite). Вместе с LRO (Lunar Reconnaissance Orbiter) он составил первую за 10 лет американскую экспедицию к Луне, которая стартовала 19 июня 2009 г. Разгонный блок «Центавр» (Centaur), сброшенный 9 октября в районе кратера Кабеус (Cabeus), поднял облако пыли, сквозь которое пролетел LCROSS, проанализировавший состав этого вещества. Чуть позже LCROSS упал в тот же кратер, успев перед этим передать данные на Землю. Высота облака оказалась существенно ниже рассчитанной, что не позволило полюбоваться зрелищем с Земли. Однако выброшенного вещества вполне хватило для анализа, и 14 ноября 2009 г. NASA уже опубликовало предварительные результаты, согласно которым облако выброшенных частиц содержало до сотни литров воды.
В затененных лунных кратерах могут укрываться значительные запасы водного льда, занесенного туда кометами миллиарды лет назад. Их обнаружение принципиально важно для строительства будущих лунных баз. Ведь воду можно использовать не только для питья и бытовых нужд. Разложив ее на составляющие — водород и кислород, — мы получим пригодную для дыхания атмосферу и ракетное топливо. Помимо успеха, сопутствовавшего миссии LCROSS, в сентябре были также обнародованы данные (в частности, от индийского зонда «Чандраян-1»), которые показали, что молекулы воды в небольшом количестве присутствуют в лунном грунте повсеместно.
Перечисляя важнейшие исследования, связанные с Солнечной системой, необходимо упомянуть также и об изучении метана на Марсе и водяного льда в его приполярных районах, а также о новых открытиях марсоходов-геологов «Спирит» (Spirit) и «Оппортьюнити» (Opportunity). Впервые следы метана в атмосфере Марса были найдены в 2003 г., а за прошедший год появилось несколько статей (в частности, в журнале (Science), где рассматривается его распределение по планете и скорость его разрушения (она оказалась весьма значительной). Все это говорит о том, что по крайней мере часть метана имеет явно абиогенное происхождение.
В системе Сатурна продолжает свои исследования американский аппарат «Кассини» (Cassini). В 2008 г. удалось достоверно показать наличие озер из жидких углеводородов на крупнейшем спутнике Сатурна Титане, а исследования ушедшего года позволили выявить большую переменчивость всей этой картины. Озера периодически пересыхают и «перемещаются» из полушария в полушарие в зависимости от сезона. Кроме того, были найдены новые доказательства присутствия на Титане криовулканов — то есть вулканов, извергающих вместо магмы жидкую воду. Все это может говорить о наличии скрытых под поверхностью океанов.

В 2004 г. впервые за 30 лет к Меркурию был послан зонд — американский «Мессенджер» (MESSENGER — MErcury Surface, Space ENvironment, GEochemistry and Ranginvg). В 2008–2009 гг. MESSENGER трижды осуществлял пролеты вблизи Меркурия. В 2009 г. при последнем пролете на высоте 228 км над поверхностью планеты были сделаны снимки ранее никогда не изучавшихся областей. Спутник выйдет на высокоэллиптическую полярную орбиту вокруг самой близкой к Солнцу планеты весной 2011 г.
Между тем самый быстрый в истории человечества зонд «Новые Горизонты» (New Horizons), запущенный NASA ровно четыре года назад, 19 января 2006 года, преодолел за прошедший год половину своего пути к Плутону.
В мае астронавтам шаттла Atlantis («Атлантис», миссия STS-125) удалось восстановить работоспособность самого известного и заслуженного космического телескопа «Хаббл» (Hubble). Свежеотремонтированный «Хаббл» летом прервал на время тестирование и калибровку своих инструментов для того, чтобы сделать редкие снимки Юпитера, подвергшегося кометно-астероидной бомбардировке в районе своего южного полюса, где возникли характерные прорехи в облачности величиной с Тихий океан. Впервые это событие отметил 19 июля австралийский астроном-любитель Энтони Уэсли (Anthony Wesley) с помощью своего домашнего 14,5-дюймового (36,8 см) телескопа-рефлектора. Единственный случай подобных явлений был зарегистрирован 15 лет назад, когда в атмосферу Юпитера упали обломки кометы Шумейкеров-Леви 9.

Надежды на изучение недоступных ранее объектов Солнечной системы (а также удаленных слабых галактик) связаны с запущенным 14 декабря 2009 года на околоземную орбиту инфракрасным космическим телескопом NASA WISE (Wide-Field Infrared Survey Explorer), предназначенным для получения обзора всего неба в инфракрасном диапазоне.
В 2009 г. было несколько важных запусков аппаратов, работающих в интересах астрономов, изучающих дальний космос. Прежде всего это европейские «Планк» (Planck) и «Гершель» (Herschel), выведенные ESA с помощью одного ракетоносителя 14 мая 2009 г.
«Планк» предназначен для исследования реликтового фона. Он, в частности, должен построить детальную карту поляризации космического микроволнового излучения. Как ожидают, это поможет пролить свет на самые первые мгновения жизни Вселенной.

«Гершель» обладает самым большим зеркалом из всех космических телескопов (3,5 м). Его детекторы будут регистрировать инфракрасное и миллиметровое излучение, и ключевые задачи этой миссии — изучение процессов образования звезд и галактик. Кроме того, с этим спутником также связаны надежды на получение новых данных об объектах Солнечной системы.
Вероятно, самый главный астрономический запуск NASA в 2009 г. — это обсерватория «Кеплер» (Kepler). Его полутораметровое зеркало предназначено для поиска экзопланет. За 3–4 года работы аппарат должен обнаружить несколько планет, по массе и расстоянию от звезды подобных Земле. Первые результаты были представлены уже в январе 2010 г. Объявлено об открытии нескольких новых планет, но все это пока лишь более-менее привычные «горячие юпитеры».

Активно поступали новые данные с европейского искателя экзопланет CoRoT (COnvection ROtation and planetary Transits), запущенного с Байконура 27 декабря 2006 г. Свежий обзор на эту тему можно найти в препринте arXiv: 0912.4655.
Данные поступают (и немедленно выкладываются в открытый доступ) и от американской гамма-обсерватории «Ферми» (Fermi), запущенной в 2008 г. От «Ферми» ждут в первую очередь новых данных по темной материи. Но пока никаких однозначных выводов нет, а с текущим состоянием можно ознакомиться в работе arXiv: 0912.3828.


Конечно, главное — это не сами запуски, а научные результаты. За результатами удобнее всего следить по астрофизическому разделу сайта arXiv.org, там появляется порядка тысячи статей в месяц. О некоторых из них рассказывалось в Обзорах препринтов astro-ph. Ниже мы кратко расскажем о наиболее интересных, на наш взгляд, статьях, появившихся в «Архиве». Эта часть обзора касается прежде всего «дальнего космоса».
Начнем с изучения экзопланет. Астрономы открывают все более и более легкие планеты, постепенно приближаясь к массам порядка земной. Рекорд 2009 г. принадлежит планете в системе GJ 581 (arXiv: 0906.2780). Нижняя граница ее массы составляет 1,9 земной. Но это лишь граница, реально планета может быть несколько тяжелее. Такие объекты называют «суперземлями».
Измерить некоторые параметры экзопланеты нелегко. Есть лишь одна ситуация, когда задача упрощается, — если мы можем наблюдать прохождения планеты по диску звезды. В 2009 г. были открыты две интересные транзитные суперземли. Первыми успеха добились ученые из группы CoRoT (arXiv: 0908.0241). Планета CoRoT-7b — это вообще первая открытая транзитная суперземля. Ее масса составляет около 10–20 земных. Немало. Но зато это первая суперземля с измеренным радиусом. Он равен 1,7 земного. Определение радиуса при известной массе дает нам плотность. Можно сделать вывод, что планета составлена в основном из горных пород. Правда, она находится слишком близко к своей звезде, поэтому вряд ли можно говорить о наличии там привычной для нас жизни.

Другая интересная транзитная экзопланета, открытая в 2009 г. (arXiv: 0912.3229), — это GJ 1214b. Ее масса — 6,55 земной. Существенно то, что она вращается вокруг маломассивной и близкой звезды. Все это позволяет довольно детально ее исследовать.

Наконец, последний экзопланетный результат, на который мы хотим обратить ваше внимание, связан с планетой WASP-17b (arXiv: 0908.1553). Сейчас, когда еще нельзя вести речь о полноценных поисках «двойников» Земли или же явных следов жизни на экзопланетах, важнейшей задачей считается изучение процессов формирования и эволюции планетных систем. Для этого нужно не просто «ставить рекорды» и уменьшать максимальную массу «горячих суперземель», а, например, отыскивать какие-либо необычные объекты, не укладывающиеся в стандартные сценарии рождения планет.
И вот планета WASP-17b как раз обладает двумя интересными особенностями. Прежде всего, она имеет очень малую плотность — около 10% плотности Юпитера. Это объясняют тем, что эта планета сильно разогревается приливными силами. Вторая особенность WASP-17b связана со свойствами ее орбиты. Согласно общепринятым теориям, планеты образуются из вращающегося протопланетного облака. Разумеется, направление вращения «готовых» планет вокруг звезды должно в таком случае совпадать с направлением вращения самой звезды. Но в случае WASP-17b есть серьезные основания полагать, что она крутится в противоположную сторону!

Как же такое могло получиться? По всей видимости, нельзя обойтись без предположения, что WASP-17b когда-то интенсивно взаимодействовала с каким-то массивным телом. Полагают, что «горячие юпитеры» образовывались на расстояниях порядка 3 астрономических единиц (около полумиллиарда километров) от своих звезд, а потом мигрировали на близкие орбиты. Так вот, в случае WASP-17b комбинация интенсивного взаимодействия с планетой-гигантом и последующей миграции, действия механизма Козаи (Kozai) и приливной циркуляризации орбиты могла привести к тому, что мы наблюдаем.


От экзопланет перейдем теперь к звездам. Тут также один из самых интересных результатов связан с работой спутника CoRoT, который изначально и был предназначен для изучения этих объектов с помощью методов астросейсмологии. Астросейсмология позволяет получать уникальные данные о внутреннем строении звезд. Осцилляции солнечного типа, о которых идет речь в статье arXiv: 0906.3788, связаны с турбулентностью во внутренних частях звезд. Ранее такие пульсации обнаруживались только у маломассивных звезд. Теперь же с помощью спутника CoRoT они впервые открыты у массивной (10 солнечных масс) звезды.
Говоря о звездах, не надо забывать о Солнце. В 2009 г. появился важный результат, который может поставить точку в спорах о том, как же солнечная корона прогревается до высокой температуры. Авторы arXiv: 0903.3546 получили серьезные наблюдательные аргументы в пользу того, что энергия в солнечной атмосфере переносится альвеновскими волнами. Их мощности, по оценке авторов, достаточно для того, чтобы нагревать солнечную корону. Собственно, так раньше и думали, то есть новые результаты наблюдений находятся в хорошем согласии с теоретическими расчетами.
А вот серьезные нарушения привычных циклов солнечной активности изрядно озадачивают астрономов уже не первый год. Изучением Солнца заняты теперь многие научные группы, использующие новейшие астрономические инструменты. Например, активно работает запущенная NASA в октябре 2006 года на околосолнечные орбиты пара солнечных телескопов STEREO (Solar TErrestrial RElations Observatory) и японский научный спутник «Хинодэ» (Hinode, Solar-B), стартовавший 23 сентября 2006 года. К сожалению, запущенный 30 января 2009 года на околоземную орбиту российский космический аппарат «Коронас-Фотон» (предназначенный для исследований Солнца), проработал лишь несколько месяцев вместо заявленных трех лет.


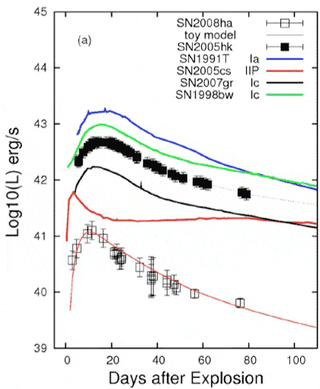
Неожиданности ждали исследователей сверхновых звезд. В течение года появилось несколько работ, в которых говорилось об обнаружении и исследовании довольно странных сверхновых, которые теоретики только пытаются уложить в стандартные сценарии. В первую очередь хочется выделить не экстремально мощные или яркие сверхновые (о них писали, например, в статьях arXiv: 0911.2002, arXiv: 0908.1990), а наоборот, — очень слабую сверхновую SN 2008ha, которой было посвящено две работы: arXiv: 0902.2794 и 0901.2074. Это самая тусклая из известных сверхновых. Ее абсолютная звездная величина в максимуме составила всего лишь -14,2. Это дает светимость менее 1041 эрг/с. Определенная по спектральным линиям скорость разлета вещества — всего лишь около 2000 км/с в момент максимума блеска. Там очень мало никеля-56, и вообще выброшено мало вещества. Авторы рассматривают разные модели. Если взорвался одиночный объект, то это может быть электронный захват в Ne-Mg карлике или дефлаграция (ядерное горение без образования сильной ударной волны) C-O карлика.

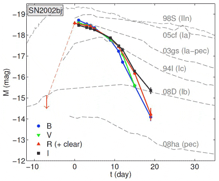
Еще один результат по сверхновым связан с изучением очень быстро эволюционирующей вспышки SN2002bj: блеск быстро нарастал и быстро спадал — гораздо быстрее, чем у всех других известных сверхновых. Авторы arXiv: 0911.2699 полагают, что это может быть взрыв гелиевого белого карлика.

Наконец, была обнаружена слабая сверхновая типа Ib (SN 2005E) с выбросом небольшого количества вещества и некоторыми аномалиями содержания элементов (arXiv: 0906.2003). При этом взрыв произошел во внешних частях довольно близкой галактики NGC 1032. То есть, по всей видимости, звезда не могла быть массивной. Все это дает авторам основания утверждать, что обнаружен новый тип сверхновых.

Некоторые нейтронные звезды видны прямо внутри остатков породивших их сверхновых. Одним из таких интересных примеров является остаток Кассиопея А. Если по данным о расстоянии, потоке и по спектральным данным мы попробуем определить размер излучающей области компактного источника в центре остатка, то он получается небольшим — что-то вроде километра. Но радиус нейтронной звезды — около 10 км. Само по себе это не является проблемой: на поверхности нейтронной звезды может быть горячее пятно. Однако если есть пятно, то мы должны видеть пульсации излучения. А в случае Кассиопеи А их нет. Для описания спектров остывающих нейтронных звезд очень важно учитывать свойства их атмосфер. Для Кассиопеи А пробовали разные варианты состава атмосфер, но только сейчас, похоже, удалось все удовлетворительно описать (arXiv: 0911.0672). Авторы рассмотрели углеродную атмосферу в слабом магнитном поле. При таких предположениях удалось описать все, что нужно. Теперь нет нужды в горячем пятне для объяснения отсутствия пульсаций.

Два интересных результата связаны с радиопульсарами. Во-первых, прямые измерения, проведенные с помощью радиоинтерферометров со сверхдлинными базами (Very Long Baseline Interferometry — VLBI) дали очень большое расстояние до двойного пульсара J0737-3039A/B (arXiv: 0902.0996). Прежняя оценка увеличена примерно вдвое. Теперь это 1150(+220 –150) парсек. Заодно подтверждена (и, разумеется, уменьшена) оценка трансверсальной (перпендикулярной к лучу зрения) скорости. Теперь она получается менее 10 км/с. Первое важно для оценок темпа слияния нейтронных звезд. Второе — для изучения механизмов взрыва сверхновой.

Во-вторых, найдено наблюдательное свидетельство в пользу важного эпизода в жизни нейтронных звезд в тесных двойных системах. Астрономы знали, что есть миллисекундные пульсары (в том числе и в двойных системах), знали о маломассивных рентгеновских двойных. Долго не удавалось наблюдать непосредственным образом, как нейтронные звезды в аккрецирующих маломассивных двойных раскручиваются до миллисекундных периодов. Потом (во многом благодаря спутнику RXTE) удалось увидеть и это. Но все равно хочется больше промежуточных звеньев. К радости астрономов радиоисточник FIRST J102347.67+003841.2, в котором подозревали наличие аккреции на компактный объект, вдруг успокоился, мерцания прекратились, и там «вылупился» нормальный миллисекундный пульсар — то самое недостающее звено в эволюции этих объектов.

Что касается черных дыр, то тут мы отметим три результата. Во-первых, используя данные наблюдений на VLBI, удалось достаточно точно определить расстояние до двойной системы V404 Лебедя, где есть кандидат в черные дыры (arXiv: 0910.5253). Расстояние равно 2,25–2,53 кпк — меньше, чем считалось ранее. Это важно, поскольку уменьшаются и оценки светимости во вспышках источника. В частности, вспышки, считавшиеся сверхкритическими, оказываются субкритическими.

Во-вторых, были получены детальные спектроскопические данные для кандидата в черные дыры GX 339-4 (arXiv: 0911.2240). В частности, хорошо измерена линия железа. Определение параметров системы по профилю линии позволяет выявить внутреннюю границу аккреционного диска. Это довольно стандартная методика. Но есть и новость. Показано, что радиус внутренней границы диска при низкой светимости существенно больше, чем при более высоких. То есть впервые отчетливо продемонстрировано, что, как и предполагалось в стандартных моделях, на низкой светимости диск существенно отстоит от черной дыры.

Третий «чернодырный» результат, о котором хочется упомянуть, для многих будет особенно интересен. Утверждается (arXiv: 0903.1105), что можно показать наличие горизонта событий у центрального объекта нашей Галактики (то есть доказать, что он действительно является сверхмассивной черной дырой). На самом деле, конечно, речь идет о том, что в рамках некоторых наиболее разумных моделей в свете новых наблюдательных данных наличие горизонта неизбежно, но это тоже немало. Бродерик, Лёб и Нараян, используя данные миллиметровых и инфракрасных наблюдений Sgr A*, пишут, что низкая светимость источника свидетельствует о том, что там отсутствует поверхность. Наблюдаемая светимость составляет лишь 0,4% от того, что может давать аккреция на поверхность.

Вероятнее всего, с рождением черных дыр связаны обычные (длинные) космологические гамма-всплески. В 2009 г. был получен новый интересный результат и на эту тему. Был обнаружен (arXiv: 0906.1577, arXiv: 0906.1578) всплеск на красном смещении 8,3. Среди объектов с достоверно измеренным красным смещением это рекорд: объект дальше всех галактик и квазаров.



Раз мы уже оказались в межгалактическом пространстве, поговорим о галактиках. Здесь рекордом можно считать обнаружение галактики вокруг самого далекого квазара на z=6,43 (arXiv: 0908.4079). Точно определить массу галактики пока не удается, но ясно, что она достаточно массивная, а Вселенной в тот момент, согласно стандартной модели, при z=6,43 было всего лишь около 840 млн лет.
Вообще, данные по массивным галактикам в молодой Вселенной заставили ученых серьезно задуматься. Крис Коллинз и его соавторы (arXiv: 0904.0006) показали, что наиболее массивные (и яркие) галактики в скоплениях набрали 90% своей массы уже спустя 4–5 млрд лет после начала расширения. Это противоречит численным моделям, в которых формирование массивных галактик идет медленнее (90% массы набирается такими галактиками только спустя 11 млрд лет).

В 2009 г. был описан весьма любопытный результат проекта Galaxy Zoo (arXiv: 0907.4155). В процессе классификации галактик силами добровольцев был обнаружен интересный тип галактик, получивший название «зеленые горошины» (Green Peas). Выделен 251 такой объект. Это довольно компактные (менее 5 килопарсек) галактики с низкой металличностью. Они находятся относительно недалеко (0,112 < z < 0,360) и являются «родственниками» голубых компактных галактик. Новым галактикам свойственна клочковатая структура и высокая светимость в ультрафиолетовом диапазоне при относительно небольшой звездной массе. Эти свойства объясняются высоким темпом формирования звезд (порядка 10 масс Солнца в год).


Остается перечислить результаты 2009 г. в области космологических исследований.

Наиболее интересным нам показались исследования барионных осцилляций по данным 7-го Слоановского обзора неба (arXiv: 0907.1660). Первичные космологические возмущения приводят к возникновению звуковых волн в плазме, заполняющей молодую Вселенную. Эти волны «отпечатываются» на распределении обычного (барионного) вещества. Значит, можно пытаться увидеть соответствующие неоднородности в распределении галактик. Это крайне важно, так как позволяет очень точно измерить ряд космологических параметров. Новые результаты находятся в соответствии со стандартной моделью. Подробное описание барионных осцилляций можно найти в свежем обзоре arXiv: 0910.5224.
Стандартные значения параметров подтверждены и в работе arXiv: 0905.0695. Авторы используют новые данные по цефеидам в галактиках со сверхновыми типа Ia и галактике с мазерными источниками. На первом шаге получается очень точная калибровка пиковой светимости сверхновых. Это достигается тем, что выборка цефеид очень однородна, а потому можно использовать лишь относительные данные по ним, уйдя от необходимости выяснять точную калибровку самой шкалы цефеид. Абсолютная калибровка достигается использованием мазерных источников в галактике NGC 4258. В итоге получено значение 74,2±3,6 км/с/Мпк. То есть заявленная точность (с учетом статистики и систематики) лучше 5%. Приложение полученного результата дает w = –1,12±0,12, где w — параметр, характеризующий темную энергию: w=P/(ρc2).

Наконец, отметим работы по измерению свойств скоплений галактик с помощью новых наземных специализированных телескопов. Это Atacama Cosmology Telescope (arXiv: 0907.0461) и South Pole Telescope (arXiv: 0911.2444). Пока представлены только самые первые данные. Но важно, что инструменты работают как надо, и в ближайшие годы наблюдения позволят точнее измерить важные космологические параметры.

В заключение проведем «работу над ошибками». Во-первых, в прошлом году мы писали о работе Нойолы и др. (arXiv: 0801.2782), в которой было показано, что в скоплении Омега Центавра должна находиться массивная черная дыра. Однако новые данные из работы arXiv: 0905.0627 говорят о том, что это не так. Используя данные «Хаббла», авторы arXiv: 0905.0627 проводят детальный анализ свойств звездного населения скопления. Если Нойола и др. (2008) говорили о черной дыре с массой порядка 40 тыс. солнечных, то новый верхний предел равен 18 тыс. (три сигма). То есть, по сути, результаты статьи Нойолы и др. (2008) объявлены неверными. По мнению авторов представляемой статьи, это связано с методикой, использовавшейся Нойолой и соавторами. В пределах трех сигма новые данные можно объяснить вообще без дыры, хотя модель с дырой с массой около 8 тыс. солнечных помогает улучшить описание данных.
Также мы рассказывали о работе arXiv: 0808.3772, в которой авторы оценили массы для множества карликовых галактик и показали, что есть указания на существование единого нижнего предела масс (порядка нескольких миллионов солнечных). Теперь же авторы свежей работы arXiv: 0910.1348 провели переоценку массы для одной из карликовых галактик. Новая оценка почти на порядок ниже. Видимо, это действительно является угрозой сценарию с универсальным нижним пределом.

В конце обзора отметим, что прошлогодний результат коллаборации DAMA/LIBRA по регистрации частиц темной материи находится под сомнением. Свежие данные коллаборации CDMS исключают (в рамках стандартных моделей) практически всю область параметров, защищаемую DAMA/LIBRA.
Сокращенный вариант статьи публикуется в газете «Троицкий вариант — Наука» №1(45) за 2010 год,
полный вариант — в «Гранях.Ру».