Как разглядеть в крови пациента катехоламины
Владислава Лаврова
«Коммерсантъ Наука» №7(2), 2023
Химики и материаловеды из МГУ им. М. В. Ломоносова разработали датчик нового типа — для определения биогенных аминов в плазме крови.

К биогенным аминам относятся вещества с высокой биологической активностью, в частности, гормоны и нейромедиаторы. Нейромедиаторы (или, как их еще называют, нейротрансмиттеры) — относительно небольшие молекулы, вырабатываемые нейронами для передачи сигналов другим нейронам или мышечным тканям и тканям желез внутренней секреции. С химической точки зрения они делятся на несколько классов, к классу катехоламинов относятся адреналин, норадреналин и дофамин.
Адреналин отвечает у человека и животных за реакцию «бей или беги», которая позволяет млекопитающим быстро ориентироваться в опасных условиях. Норадреналин отвечает за готовность принимать и обрабатывать информацию головным мозгом человека. Дофамин — ключевое вещество в «системе вознаграждения» мозга, вызывает чувство удовлетворения или удовольствия.
В медицине бывают случаи, когда нужно знать концентрацию катехоламинов в крови. Повышенные концентрации этих биогенных аминов могут указывать на развитие феохромоцитомы, нейробластомы и прочих нейроэндокринных опухолей. Пониженное содержание указывает на анорексию, болезнь Альцгеймера или может быть вызвано приемом некоторых лекарств вроде резерпина или ингибиторов моноаминоксидазы. Потому важно уметь определять их содержание в плазме крови точно, быстро и по возможности дешево.

а) Стандартное неупругое рамановское рассеяние; б) Локализованный плазмонный резонанс. Наноразмерные структуры генерируют плазмоны, усиливающие рамановский сигнал; с) Поверхностно-усиленная рамановская спектроскопия. Первая стадия — исследуемое вещество наносится на подложку с наночастицами благородного металла; Вторая стадия. Два механизма усиления сигнала комбинационного рассеяния; 1 — «эффект громоотвода», электромагнитное поле концентрируется в маленьком канале между наночастицами. 2 — усиление поверхностных локализованных плазмонов
На сегодня наиболее распространенных методов химического анализа подобных веществ в их сложных смесях с другими веществами существует три: хроматографический, электрохимический и оптический.
Хроматографические методы основаны на разделении смеси веществ в колонке, заполненной каким-либо сорбентом. В зависимости от химической структуры соединения оно лучше или хуже удерживается на колонке при пропускании через нее потока растворителя. Комбинации разных наполнителей и жидких подвижных фаз позволяют выделить из сложного объекта даже очень близкие по строению вещества. Но для идентификационного хроматографического анализа, тем более в медицинских целях, требуется довольно сложное и дорогое оборудование. Для количественного анализа с помощью хроматографии разделенная смесь после колонки регистрируется детектором, коих существует множество, так что есть возможность выбрать оборудование для своей задачи.
Электрохимические методы анализа применяются для веществ, которые в электрическом поле или при пропускании заряда трансформируются или же вызывают изменения в окружающей их жидкой среде. Количественный анализ строится на знании количества электричества, прошедшего через анализируемый в эксперименте раствор, или данных о приложенном напряжении, или данных о силе тока и т. п. В зависимости от полученных их значений идентифицируется искомое вещество (аналит, как называют его химики).
Оптические, спектроскопические методы анализа основаны на способности некоторых соединений поглощать свет, излучать его, отражать или рассеивать. Абсорбционная спектроскопия регистрирует поглощение света от источника анализируемого раствора, эмиссионная — различные виды вторичного излучения после облучения пробы источником. Они подразделяются в зависимости от того, какая длина волны была выбрана для возбуждения излучения и какая длина волны была получена на выходе.
В зависимости от природы вещества, его кристаллической структуры и от того, какая информация необходима исследователю, используются разные области спектра. Каждое вещество обладает собственным максимумом поглощения, которому соответствует определенная длина волны.
Кроме эмиссионных и абсорбционных методов существуют техники, регистрирующие рассеяние света частицами. Рассеяние бывает упругое, рэлеевское — с сохранением энергии и проходящего фотона, и частицы, и неупругое, рамановское. Неупругое рассеяние ведет к тому, что часть энергии падающего света переходит в колебательную энергию молекул в образце, в результате чего меняется частота колебаний самого фотона, что можно зарегистрировать и интерпретировать. На результирующем спектре появляется сдвиг — либо в красную, либо в синюю зону в зависимости от того, передалась ли энергия свету, или же наоборот — фотон потерял при взаимодействии энергию.

Стадии получения комплекса катехоламинов с модифицирующим реагентом и ионами меди. В зависимости от того, какой катехоламин присутствовал в растворе, комплекс получается разного цвета
Есть и более сложные методы анализа смесей веществ, например, проточный анализ. Однако медицинский сенсор на нем не построишь, поскольку необходимо громоздкое оборудование. К тому же, большинство методов такого анализа заточены под непрерывный поиск в больших объемах образца каких-либо веществ, что не совсем соответствует медицинским целям, где необходимо четко разделять данные, полученные о разных пациентах.
Любой сенсор характеризуется набором определенных химико-аналитических параметров: чувствительностью, селективностью, точностью результата. Зачастую ради совершенствования одной характеристики приходится жертвовать другой. Или улучшать все свойства сенсора, но усложнять при этом процесс подготовки проб и увеличивать длительность анализа.
Естественно, в ходе трансформации исходного образца перед или во время анализа детектируемые соединения не должны изменяться химически как-либо непредсказуемо, поскольку любые неожиданные метаморфозы аналита приведут к искажению результата. Как раз из-за химической нестабильности в растворе катехоламины так сложны для точного определения. При хроматографии физиологических жидкостей человека они подвержены окислению и могут попросту не дойти до конца колонки в исходном состоянии и количестве.
Применение же электрохимических методов позволяет определять достаточно низкие концентрации катехоламинов в растворах, однако получаемые данные не обладают достаточной повторяемостью. Воспроизводимо определять количества катехоламинов в биологических средах на сегодняшний день невозможно, тем более если требуется получить количественный результат для нескольких родственных веществ одновременно.
Химики МГУ выбрали третий способ анализа физиологических жидкостей для определения концентрации катехоламинов — оптический.
Для органических молекул наибольшее количество информации можно получить в инфракрасной области, где существуют методы инфракрасной спектроскопии и спектроскопии комбинационного, или рамановского рассеяния. Это связано с тем, что именно в этом оптическом диапазоне (от 1500 см-1 до 650 см-1) находится так называемая зона «отпечатков пальцев» органических молекул, в которой профиль спектра каждого вещества так же индивидуален, как рисунок папиллярных линий на пальцах человека. Как бы схожи по структуре ни были вещества, даже различие в атоме может привести к сдвигам, растяжениям и другим трансформациям характеристических полос на спектре.
Но несмотря на все преимущества метода рамановского рассеяния — быстроту, высочайшую селективность и надежность результатов, слишком слабые сигналы не дают использовать его в чистом виде, поскольку абсолютное большинство органических веществ обладает небольшим поперечным сечением рассеяния. В среднем, лишь один фотон из 10 млн неупруго рассеивается на частице.
В начале 1970-х годов физики предложили способ многократного усиления сигнала рамановской спектроскопии. Новый метод они назвали поверхностно-усиленным рамановским рассеянием (SERS). Он сохраняет все преимущества исконного анализа с помощью рамановского рассеяния, но интенсивности сигналов возрастают в тысячи и миллионы раз из-за модификации поверхности, куда помещается образец.
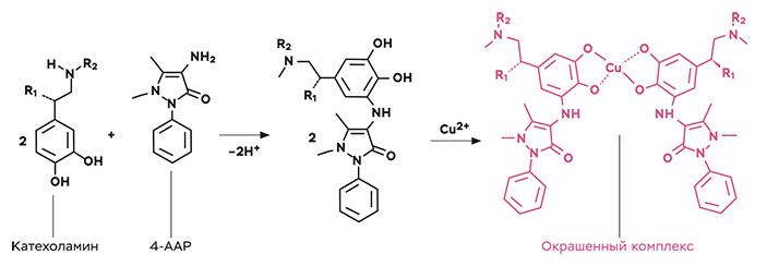
Но в данном случае проблема была в том, что максимумы поглощения катехоламинов лежат в УФ-зоне, а не инфракрасной. Для того чтобы использовать эффект резонансного рамановского рассеяния, ученые МГУ решили не напрямую определять количество нейротрансмиттеров, а модифицировать их ионами металлов с образованием комплекса.
Ионы металла должны быть закреплены на слое диэлектрика. Поэтому слой серебряных наночастиц, нанесенный на стекло пиролизом аммиачного комплекса серебра, был укрыт сверху хитозаном с добавками медного купороса, что позволило зафиксировать ионы меди на самой поверхности слоистой структуры сенсора. Для более ровного распределения диэлектрического поверхностного слоя ученые использовали крутящуюся подставку. Весь процесс запечатлен на рисунке.
Хитозан — аминосахар, обладающий свойствами губки. Он может хорошо впитывать аналиты, а вместе с тем стабилизирует слой наночастиц металла. Хитозан работает и как сито, пропуская к поверхности контакта с серебром только малые молекулы, при этом задерживая на своей поверхности белки и прочие объемные структуры.
Медь в качестве комплексообразователя была выбрана из-за способности катехоламинов формировать поглощающие свет соединения с ионами переходных металлов. Общую формулу получающегося вещества можно отразить как Cux(CA)y, где СА — общее сокращенное название катехоламинов. В ходе экспериментов оказалось, что стабилизируется комплекс очень простого строения, где х = 1, а у = 2.

Видимая окраска. Слева направо: продукты реакции дофамина, норадреналина и адреналина соответственно с 4-ААР и ионами меди
Но тут возникла другая проблема. Оказалось, что такие комплексы нестабильны на воздухе в обычных комнатных условиях — катехоламины окисляются до катехолатов, причем реакция катализируется именно ионами меди. «Например, тот же адреналин в растворе живет считаные минуты. Можно его приготовить, отвернуться, а он уже окислился, стал коричневым. И нет больше адреналина»,— рассказывает Никита Яренков, соавтор работы, аспирант химического факультета МГУ.
Для решения этого вопроса химики предложили вводить защитные группы, не дающие катехоламинам окисляться,— молекулы 4-ААР (1,5-диметил-2-фенил-4-аминопиразолон). В результате комплексообразования модифицированных адреналина, норадреналина и допамина действительно сформировались соединения с очень индивидуальным спектром и максимумом поглощения в нужной области спектра. Бесцветные в растворе катехоламины имеют ярко окрашенные медные комплексы. Дофамин становится фиолетовым, адреналин — ярко-красным, норадреналин — зеленым. Различить их глазом можно и без всяких приборов. Но все-таки глаз, хоть и является хорошим спектрометром, не может количественно определить содержание биогенных аминов, тем более в непрозрачных физиологических средах, где содержание целевых соединений зачастую не превышает десятков нанограммов на литр.
«Рамановская спектроскопия все же не всесильна,— рассказывает Никита Яренков,— чтобы получить высокие коэффициенты усиления, нужны частицы определенных форм и размеров. Получать их химически не всегда удается, а физически — очень дорого. Поэтому мы решили зайти с другой стороны и использовать резонансное рамановское рассеяние».
Для регистрации рамановского рассеяния чаще всего используются длины волн возбуждения 532, 633 и 785 нм. Для резонансного взаимодействия необходимо, чтобы максимум поглощения получившихся комплексов был где-то вблизи одной или другой величины. Как выяснилось, полученные вещества поглощают свет в широком диапазоне, поэтому отклик наблюдался как при освещении зеленым, так и красным лазером.
С помощью разработанной методики ученым удалось определить количество катехоламинов в обычном растворе, где концентрация их была на уровне наномоль на литр (это приблизительно 100 нг/л). Для сравнения, нормальное содержание адреналина в крови — 10–85 нг/л, дофамина — 10–100 нг/л, норадреналина — 95–450 нг/л.
В плазме крови, конечно, уровни достоверно определяемых концентраций оказались выше из-за помех, вносимых другими компонентами,— десятки наномоль на литр, то есть микрограммы на литр.
Сенсор применим для одновременного определения всех трех катехоламинов в среде, потому что спектр рамановского рассеяния каждого комплекса содержит несколько индивидуальных линий, что позволяет отличить спектры друг от друга. «Существующие исследования проводились в основном для определения дофамина, поскольку очень тяжело разобраться в спектре веществ, отличающихся всего одной функциональной группой, тем более для образца с низкими концентрациями. Однако с помощью рамановской спектроскопии это возможно, и мы постарались это реализовать»,— отмечает Никита Яренков.
В дальнейшем исследовательская группа планирует создание двойных сенсоров, способных детектировать и флуоресценцию, и рамановское рассеяние образца. Параллельно ведется разработка способов получения подходящих наночастиц для использования менее мощного ИК-лазера с длиной волны 785 нм, поскольку такой анализ является более щадящим по отношению к образцу.
Свою систему химики назвали MIRRACLE — Molecular Immobilization and Resonant Raman Amplification by Complex-Loaded Enhancers.
Фото: Олег Харсеев, Коммерсантъ