Борис Штерн
«Троицкий вариант — Наука» № 6(325), 23 марта 2021 года
13 марта 2021 года средства массовой информации обошла молния: на Байкале запущена мегаустановка — Байкальский нейтринный телескоп. Но что же произошло на самом деле? В реальности телескоп уже давно работает, при этом постепенно растет. Добавления происходят зимой, когда на Байкале крепкий лед, с которого удобней погружать оборудование.
В этом году погрузили очередную «порцию телескопа» (прошлой зимой установили больше), зато приехал министр науки и высшего образования РФ Валерий Фальков. К его приезду подготовили «большую кнопку» и предложили нажать, что министр и сделал. Он и директор ОИЯИ (Дубна) Григорий Трубников произнесли по короткой речи — вот и всё событие. Тем не менее оно было, несомненно, полезным в смысле пиара — многие люди впервые узнали, что существует такой телескоп, и еще раз услышали про нейтрино.
Идею регистрировать нейтрино высоких энергий под водой, в частности в Байкале, предложил академик АН СССР Моисей Александрович Марков в 1960 году. Идея достаточно проста: регистрировать глубоко в воде черенковское излучение частиц больших энергий с помощью фотоумножителей. Среди этих частиц есть мюоны больших энергий от атмосферных ливней и продукты взаимодействия нейтрино с водой или грунтом. При большом числе фотоумножителей, просматривающих большой объем воды, неплохо восстанавливается направление прилета нейтрино и приблизительно — его энергия. Вода должна быть как можно прозрачней, глубина — как можно больше.
Идея пошла в народ: американцы начали разрабатывать подводную установку DUMAND около одного из Гавайских островов, европейцы — детектор в Средиземном море, наши — на Байкале. Прозрачность Байкала немного уступает прозрачности Тихого океана, но там есть очень удачное обстоятельство: прочный зимний лед. С тех пор проект DUMAND закрыли из-за технических сложностей; средиземноморский проект ANTARES жив, установка находится на глубине 2,4 км в 40 км от побережья Франции. Появилась и новая модификация идеи: использовать вместо воды антарктический лед. Он очень прозрачен — правда, рассеивает свет. С другой стороны, твердая среда удобна в технологическом плане. Эта модификация была осуществлена на Южном полюсе сначала в виде установки AMANDA, которая затем была увеличена до Ice Cube — детектора объемом в один кубический километр, который сейчас лидирует как по размеру, так и по научным результатам.
Байкальская установка изначально разрабатывалась и создавалась Институтом ядерных исследований РАН. Главный мотор и лидер установки с самого начала и по сей день — Григорий Домогацкий, в настоящее время членкор РАН. Опять же с самого начала к проекту присоединилась команда Иркутского госуниверситета под предводительством Николая Буднева, которая активно участвует в проекте и поныне. В выборе места и исследовании подводных условий участвовал Иркутский лимнологический институт.
«Первый свет» от Байкальского детектора был получен в начале 1990-х. В 1993 году установили три стринга (вертикальных троса с распределенными по его длине сферами с фотоумножителями) с 36 оптическими модулями. Впоследствии установка постепенно наращивалась и отлаживалась, совершенствовалась методика регистрации. Дело шло, но при ограниченных ресурсах конкурировать с установками типа Ice Cube тяжело. Тем не менее в 2010 году был разработан проект нейтринного телескопа километрового масштаба Gigaton Volume Detector на озере Байкал и в последующие годы были испытаны все системы будущего телескопа в составе нескольких пилотных установок. Тогда это было мечтой.
Ситуация изменилась в 2013–2015 годах, когда к проекту присоединился ОИЯИ (Дубна) со своими деньгами, людьми и техническими ресурсами; также присоединились еще несколько организаций, в том числе из Европы. Мечта стала реальным делом: началось создание Gigaton Volume Detector. Его цель изложена в названии: довести объем детектора до кубического километра. Сейчас объем составляет примерно 0,4 км3 — это восемь так называемых кластеров по восемь стрингов в каждом, по 36 оптических элемента на каждом стринге.
Мюонные нейтрино большой энергии, провзаимодействовавшие в объеме телескопа или рядом с ним, в зависимости от типа взаимодействия дают либо адронный каскад (нейтральный ток), либо мюон большой энергии плюс адронный каскад (заряженный ток). Электронные нейтрино дают либо такой же адронный каскад, либо адронный плюс электромагнитный. Каскад легче идентифицировать, его энергию легче измерить, поскольку вся она выделяется в ограниченном объеме. Мюон проходит детектор насквозь, и его энергию можно оценить только приблизительно. Зато мюон очень хорошо держит направление родительского нейтрино (угловое разрешение 0,3–0,5°), по каскаду направление восстанавливается хуже (около 2–3° при энергии 100 ТэВ). С мюонами есть еще одна проблема: их очень много сыплется сверху — отличить мюон, рожденный нейтрино, от мюонов, рожденных заряженной космической частицей, практически невозможно. Поэтому регистрируются только мюоны, идущие снизу вверх — или сверху, но под малым углом к горизонту.
Как отличить нейтрино, пришедшие из далекого космоса, от нейтрино, рожденных в атмосфере? В единичном случае — никак. Но есть одно благоприятное обстоятельство: при очень высоких энергиях атмосферные нейтрино давятся самой физикой. Дело в том, что они появляются от распада мюонов или заряженных каонов, рожденных в адронном каскаде. При большой энергии эти частицы выбывают из игры — сначала мюоны, а потом и каоны.
Дело в том, что эти частицы при очень больших энергиях просто не успевают распасться, чтобы родить нейтрино. Каон живет всего 10−8 с, но при энергии 100 ТэВ он успевает пролететь до распада сотни километров из-за релятивистского замедления времени. При этом он заканчивает свое существование при взаимодействии с веществом без испускания нейтрино. По теоретическим оценкам получается, что при энергии выше 100 ТэВ астрофизических нейтрино больше, чем атмосферных, а при энергии 1000 ТэВ их больше примерно в 30 раз.
К сожалению, при энергиях выше 100 ТэВ, где доминируют интересные астрофизические нейтрино, Земля становится непрозрачной для них. Точно по диаметру проходит лишь пятая часть стотэвных нейтрино, а при больших энергиях — еще меньше. Поэтому реальное поле зрения в мюонах для нейтрино сверхвысоких энергий — где-нибудь четверть полного телесного угла: от примерно 40° из-под горизонта до 15° над горизонтом — при пологом косом падении фон атмосферных мюонов незначителен. Эти границы приведены для Ice Cube; для байкальского детектора они будут примерно такими же.
Таким образом, в каскадах детекторы, подобные Ice Cube и байкальскому, видят свою полусферу и часть противоположной с хорошим энергетическим разрешением, но неважным угловым. Соответственно, в мюонах детекторы видят значительную часть противоположной полусферы и небольшую часть своей: с плохим энергетическим, но с хорошим угловым разрешением. Для выявления астрофизических источников при статистике, которую могут дать кубокилометровые детекторы, предпочтительны мюоны. Для выделения вклада Галактики достаточно углового разрешения по каскадам. Для измерения спектра астрофизических нейтрино (как галактических, так и изотропных) полезней каскадные события. В любом варианте на небе есть большие области, которые не видит Ice Cube, зато видит байкальский детектор.

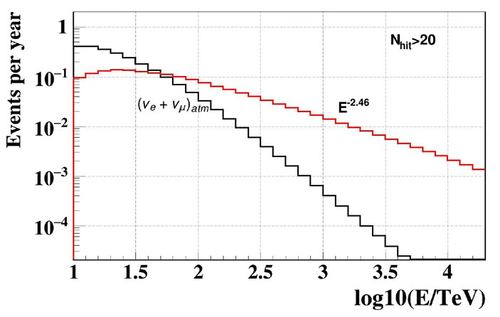
Спектры атмосферных нейтрино (черная линия, оценка методом Монте-Карло) и астрофизических нейтрино (теоретическая оценка, опирающаяся на спектр космических протонов)
Байкальский детектор отличается от Ice Cube тем, что вода меньше рассеивает свет, т. е. он точнее определяет направление движения мюонов и координаты каскада. Например, точность восстановления вершины ливня в воде составляет 2–3°, а во льду — более 10–15°. Это очень важное преимущество: оно позволяет надеяться, что каскады также дадут вклад в регистрацию точечных источников. При разнице углового разрешения в пять раз вероятность случайного совпадения направлений падает в 25 раз!
По данным на июнь прошлого года, детектор зарегистрировал 57 восходящих мюонов. Большая часть из них, вероятно, связана с атмосферными нейтрино, родившимися с противоположной стороны Земли. Однако в распределении по суммарному числу сработавших фотоумножителей есть хвост из нескольких нейтрино, выбивающихся над прогнозом для атмосферных. Впрочем, статистическая значимость этого превышения пока невелика.
Из наиболее интересного: зарегистрировано 12 каскадных событий энергии выше 100 ТэВ (рекордная энергия — порядка 1000 ТэВ). По оценкам, примерно половина из них должна иметь астрофизическое происхождение.
Точки на небесной сфере, откуда пришли нейтрино, давшие эти каскады, разбросаны случайно, кроме двух, лежащих близко друг к другу в плоскости Галактики. Теоретически это мог бы быть гамма-пульсар, но скорее всего — случайность.
Ну и конечно, продолжается набор статистики мюонных событий, где может обнаружиться много интересного.
Они открывают новую ветвь астрономии — нейтринную. Нейтрино из космоса регистрировались и раньше, прежде всего солнечные: они стали важной вехой в выявлении нейтринных осцилляций и определении их параметров (углов смешивания). Солнечные нейтрино дали наибольшую пользу для физики частиц, но кое-что и для физики Солнца. Кроме того, в 1987 году были зарегистрированы нейтрино от взрыва сверхновой в Большом Магеллановом облаке. Но к тому, чтобы видеть в потоках нейтрино далекую Вселенную, подобрались только сейчас.
Интересного тут масса — и диффузное излучение и источники; особенно источники. Наиболее перспективные и интересные из них — блазары: активные галактические ядра, испускающие релятивистские струи замагниченной плазмы, направленные прямо на нас. Ice Cube уже набрал некоторую статистику астрофизических нейтрино, в которой проявился по крайней мере один объект из подвида блазаров, так называемых лацертидов, или BL–Lac. Статью об этом мы публиковали в 2018 году [1].
Зарегистрировано одно нейтрино энергии выше 180 ТэВ, в пределах ошибки указывающее на блазар TXS0506, и еще оттуда пришла целая пачка нейтрино меньшей энергии, причем во время вспышки этого объекта в гамма-квантах. Вероятность случайного совпадения для всей комбинации ниже 10−5.
Второй намек на нейтрино от блазаров — корреляция нейтрино, зарегистрированных Ice Cube с радиояркими блазарами, обнаруженная в работе [2]. Лично я довольно осторожно отношусь к такого рода корреляциям, поскольку несколько подобных заявок на результат рассосалось на моих глазах, но в данном случае это похоже на правду: подобные корреляции рано или поздно должны всплыть.
Вот пример, который интересует лично меня: логично ждать нейтрино от лацертидов — это блазары на голодном пайке, от которых мы видим гамма-кванты очень больших энергий. Где гамма-кванты огромных энергий, там должны быть и соответствующие нейтрино. Вроде бы таковые и увидели. А должны ли мы видеть нейтрино от мощнейших блазаров, чьи черные дыры находятся в стадии бурного роста? Мы не видим от них гамма-кванты больших энергий, поскольку они застревают в оптическом и инфракрасном сиянии, окружающем эти источники (фотон-фотонное поглощение с рождением пар). А если там есть протоны огромных энергий, то рожденные ими нейтрино свободно вылетают. Есть ли они?
Это мой интерес; а люди, занимающиеся гамма-пульсарами, оболочками сверхновых, космическими лучами и т. п., наверняка имеют свой интерес к астрофизическим нейтрино.
Итак, мы присутствуем при рождении новой ветви астрономии. Важно, что все детекторы — и Ice Cube, и байкальский, и ANTARES — работают на общий котел: статистика со всех установок суммируется. Так что речь здесь скорее идет о кооперации, чем о конкуренции.
Автор благодарен Жану Джилкибаеву за полезные замечания и Григорию Сафронову за предоставленную информацию.
Литература
1. Штерн Б. Первый крик нейтринной астрономии // ТрВ-Наука. № 258 от 17 июля 2018 года.
2. Plavin А., Kovalev Y. Y., Kovalev Y. A., and Troitsky S. // The Astrophysical Journal. V. 894. № 2.

Байкальский подводный нейтринный телескоп. Фото Б. Шайбонова (ОИЯИ)