Г. Б. Наумов,
доктор геолого-минералогических наук
«Химия и жизнь» №3, 2013

В 2013 году исполняется 150 лет со дня рождения Владимира Ивановича Вернадского (12 марта 1863 – 6 января 1945). Юбилей включен в список памятных дат ЮНЕСКО, и его отмечают не только в нашей стране.
«Корни всякого открытия лежат далеко в глубине, и, как волны бьются с разбега о берег, много раз плещется человеческая мысль около подготовляемого открытия, пока придет девятый вал»: эти слова В. И. Вернадского в полной мере относятся к геохимии — от первого упоминания этого слова до ее признания и формирования как науки прошло больше столетия. Сегодня это важнейшая дисциплина, которая теснейшим образом связана с экологическим мониторингом и решением экологических проблем.
Впервые термин «геохимия» употребил в 1838 году швейцарский химик Христиан Фридрих Шенбейн (1799–1868). «Уже несколько лет тому назад, — писал он в 1842 году, — я публично высказал свое убеждение, что, прежде чем может идти речь о настоящей геологической науке, мы должны иметь геохимию, которая должна направить свое внимание на химическую природу масс, составляющих наш земной шар, и на их происхождение, по крайней мере, столько же, сколько и на относительную древность этих образований и в них погребенных остатков допотопных растений и животных. С уверенностью можно, конечно, утверждать, что геологи не вечно будут следовать тому направлению, последователями которого они сейчас являются. Они, для расширения своей науки, как только окаменелости не смогут достаточно служить им, должны будут искать новые вспомогательные средства и, без сомнения, тогда введут в геологию минералого-химические пути исследования. Время, когда это свершится, кажется мне не столь далеким».
Шенбейн ошибся только в одном: время его идей пришло лишь в ХХ веке. В XIX веке научные умы занимал многовековой спор плутонистов и нептунистов. Последние считали, что земля получила свой вид благодаря воде. Плутонисты полагали, что окружающую природу создает расплавленная горячая магма, находящиеся внутри планеты, а значит, главное в геологии — это вулканы, гейзеры, землетрясения, термы. Именно благодаря внутренним силам земли образуются горы, горные породы и ландшафты.
Немного позднее, в 1866 году, известный немецкий химик и фармацевт Карл Фридрих Мор (кстати, это он ввел понятие «нормальность раствора», разработал метод определения серебра, сконструировал бюретку и пипетку) напечатал замечательный труд «История Земли. Геология на новых основаниях». В этой книге, анализируя геологические знания своего времени, Мор с ужасом отмечал, что геологи создали свою «физику» и «химию», в которых «легчайшие тела тонут в тяжелейших средах», а пар имеет силу, «какая не снилась обычной физике». Сравнивая относительную силу двух важных кислот, угольной и кремниевой, в различных геологических условиях, он показал, что ближе к поверхности сильнее угольная кислота, поскольку вытесняет кремниевую из ее солей. А в глубине Земли, в области высоких температур и давлений, наоборот, кремниевая становится сильнее. Это был уже вполне современный геохимический подход, основанный на эмпирических минералогических данных.
В то время ни в геологии, ни в химии не было благоприятной среды для выделения геохимических идей в отдельную дисциплину. Почва для этого медленно подготавливалась в течение десятилетий со второй половины XIX века. Не буду перечислять все события и высказывания, которые, «как волны», готовили открытие новой отрасли науки, тем более что это полно и емко сделал В. И. Вернадский в первой же части своих знаменитых «Очерков геохимии». Сама геохимия как наука родилась только в начале ХХ века.
Было два основных направления ее развития, которые долгое время почти не пересекались. Одно из них родилось из кристаллохимии, и его родоначальниками можно считать Минералогический институт в Гёттингене и Университет в Осло. Усовершенствовавшиеся к тому времени рентгенометрические методы позволили наконец связать свойства кристаллических веществ с их атомной структурой и положением в Периодической системе элементов. Норвежский химик и кристаллограф Виктор Гольдшмидт (1888–1947) ввел понятия об атомных и ионных радиусах, сформулировал закон изоморфизма (этот закон носит его имя), применил термодинамическое правило фаз к геологическим объектам и построил геохимическую классификацию элементов. Но самое главное — был найден инструмент исследований: им стали представления о размерах атомов и о связях между ними.
Огромную роль в формировании геохимии сыграла также Фенноскандия (географическая область, включающая Скандинавию, Кольский полуостров, Финляндию и Карелию). Ее географические и геологические особенности нацелили ученых на исследование минералов, магматических и метаморфических горных пород и тех процессов, которые происходят в более глубоких геосферах Земли, — в частности на изучение того, как перемещаются элементы в условиях градиентных значений температур и давлений. Геохимия минеральных веществ быстро вошла в геологию, а затем сделалась самостоятельной наукой. Объектами ее исследований стали минералы и все, что состоит из минералов.
Второе направление геохимии связано с именем Владимира Ивановича Вернадского, оставившего богатый архив дневников и рабочих записей, писем родным и друзьям, по которым можно проследить все этапы развития его мировоззрения. Он сформулировал идеи, к которым только сейчас подходит научная мысль. А формирование его уникального мышления началось еще в детстве.
Представление о единстве мира сложилось у подрастающего Володи под влиянием прогулок с двоюродным дядей Евграфом Максимовичем Короленко. Евграф Максимович, поклонник Вольтера, занимался наукой как любитель, в частности вдохновленный теорией Дарвина, писал сочинение о происхождении человека. В своем племяннике он нашел благодарного слушателя. «Никогда не забуду того влияния, какое имел для меня этот старик в первые годы моей умственной жизни, — писал Вернадский в 24 года жене Наталии Егоровне. — Вспоминаются мне темные зимние звездные вечера. Перед сном он любил гулять, и я, когда мог, всегда ходил с ним. Я любил всегда небо, звезды, особенно Млечный Путь поражал меня, и в эти вечера я любил слушать, как он мне о них рассказывал; я долго после не мог успокоиться; в моей фантазии бродили кометы через бесконечное мировое пространство; падающие звезды оживлялись; я не мирился с безжизненностью Луны и населял ее целым роем существ, созданных моим воображением. Такое огромное влияние имели эти простые рассказы на меня, что мне кажется, что я и ныне не свободен от них».
Ощущение единства человека и природы, идею целостности мира и одновременно бренности всех его живых и неживых (косных) объектов Вернадский усвоил с детства и воспринимал как аксиому. Понимание взаимосвязи между самыми разными объектами природы и стремление найти эти связи стало характерной чертой всей его научной деятельности.
Окончив гимназию, В.И. Вернадский поступил на естественное отделение Петербургского университета. Позднее, в 1922 году, он вспоминал: «Университет имел для всех нас огромное значение. На первом курсе открылся перед нами новый мир, и мы все бросились страстно и энергично в научную работу». Лекции Д. И. Менделеева оказали решающее влияние на молодого студента, нацелили молодого исследователя на химическое мышление. «На его лекциях мы освобождались от тисков, входили в новый чудесный мир, и в переполненной 7-й аудитории Дмитрий Иванович, подымая и возбуждая глубочайшие стремления человеческой личности к знанию и к его активному приложению, в очень многих возбуждал такие логические выводы и настроения, которые были далеки от него самого». Отношение к лекциям Д. И. Менделеева можно оценить хотя бы по тому, что три друга, А. Краснов, В. Вернадский и Е. Ремизов, после сдачи экзаменов своему любимому профессору специально пошли в фотоателье и сфотографировались на память (рис. 1). Понимание Вернадским химии и глубокое уважение к ней зародилось в университете.

Окончив университет, Вернадский поступил на должность хранителя минералогического кабинета Императорского Московского университета. Первые же его исследования по минералогии отличались внимательным отношением к химии минералов и глубокой проработкой химизма их образования, в то время как до него упор в минералогии делали на кристаллические формы, оптические характеристики и условия, в которых нашли минерал. Его работы «Лекции описательной минералогии» (1899), «Опыт описательной минералогии» (1908) и «Минералогия» (1910) — это фундаментальные труды по химии минералов. Отсюда начался его путь в геохимию.
Как представитель точного знания, В. И. Вернадский во всех своих работах всегда старался опираться на количественные характеристики, выраженные числом и мерой. И в то же время его интересовали самые разные природные объекты. Как найти общую меру для различных природных тел: больших и малых, земных и космических, живых и косных? Масса — не информативный параметр, а морфология может быть похожа у самых разных объектов (например, облако и опухоль описывают примерно одинаково). Ответ подсказала химия минералов. «В каждой капле и пылинке вещества на земной поверхности по мере увеличения точности наших исследований мы открываем все новые и новые элементы. В песчинке или капле, как в микромире, отражается весь состав космоса». Эти слова, сказанные при открытии секции геологии и минералогии на съезде русских естествоиспытателей и врачей (1909), стали ключевыми для целой серии работ по «спектроскопии земной коры» и последовавших затем «очерков геохимии».
Итак, все элементы есть везде, но в разных количествах. И это не случайность, а проявление законов природы. «Каково бы ни было объяснение этого явления, схема рассеяния элементов очень удобна для классификации фактов». Общая мера найдена! Закономерности распределения химических элементов — вот та единая мера, которую можно применить ко всем природным телам. Этот подход объединил методы изучения и живого, и косного вещества.
В 1908 году главный химик Американского геологического комитета Франк Уиглсуорк Кларк, всю жизнь занимавшийся геологическими проблемами, свел и переработал все имевшиеся данные, в книге «Data of Geochemistry». Там он впервые привел статистические данные о распределении элементов в природных телах и минералах. Это было очень важно: геологические данные приобрели наконец геохимический смысл. Ведь все тела состоят из атомов, только из каких именно, определяется законами природы. Именно на этом подходе позднее были построены знаменитые лекции Вернадского, которые он читал в Коллеж де Франс в Сорбонне.
В 1924 году лекции издали во Франции на французском языке, а потом и на русском под заглавием «Очерки геохимии».
Элементный химический состав природных тел настолько показателен, что его, как выяснилось, можно использовать как один из видовых признаков, и не только для минералов и горных пород, но даже для всех живых организмов. Это оказалось единой мерой измерения, центральным ядром синтетического подхода к косным и живым объектам природы, с помощью которого можно понять, как они влияют друг на друга. А также как они влияют на процессы, происходящие в земной коре, гидросфере и атмосфере.
Если атомная геометрия применима только к минералам и природным объектам, состоящим из минералов (как в первом кристаллохимическом направлении), то такой инструмент, как изучение распределения элементов, подходит ко всему, в том числе и к живым организмам. Как горная порода состоит из минералов, которые потихоньку разрушаются, а потом превращаются в что-то другое, так и живые организмы создают сообщества, биоценозы, внутри которых одни виды питаются другими и происходит своеобразный круговорот элементов. Для анализа живых организмов с точки зрения распределения элементов Вернадский вводит новое понятие — «живое вещество».
Получилась единая система уровней организации косного и живого на планете. В минеральном веществе это минерал — порода — комплекс и т. д. В живых организмах это биологический вид — биоценоз — биотоп (участок пространства, занятый определенным биоценозом) и т. д. Но эти линии не изолированы друг от друга, между ними есть непрерывная связь. Единая мера позволяет сопоставлять химию живого и косного, исследовать круговорот элементов между ними. Это было не так важно в начале ХХ века, но становится особенно ценным сейчас, в современных экологических исследованиях.
С введением этих понятий открылся еще один важный аспект геохимического анализа развития нашей планеты — исторический. «Биогенные породы... идут далеко за пределы биосферы. Учитывая явления метаморфизма, они превращаются, теряя всякие следы жизни, в гранитную оболочку, выходят из биосферы. Гранитная оболочка Земли есть область былых биосфер». Все это происходит по своим законам, и, чтобы их узнать, надо изучать распределение элементов в природных объектах, их изменения в пространстве и во времени. Говоря о своем понимании геохимии, В. И. Вернадский писал: «Я подошел к новому для меня и для других и тогда забытому пониманию природы — геохимическому и биогеохимическому, охватывающему и косную и живую природу с одной и той же точки зрения. Подходя геохимически к изучению геологических явлений, мы охватываем всю окружающую нас природу в одном и том же атомном аспекте».
К пониманию этого Вернадский шел в течение многих лет упорной работы. Только в 1916 году он завел специальную папку для рабочих материалов по живому веществу, которые легли в основу его фундаментальной работы «Биосфера», вышедшей из печати в 1926 году, — для того, чтобы идеи выстроились в теорию, понадобился не один десяток лет.
Современная геохимия
За последние два десятка лет геохимия помогла получить ответы на самые разные принципиальные вопросы. Заметим, что сегодня эта наука исследует распределение не только элементов, но также отдельных изотопов.
Когда на Земле появилась жизнь?
Древнейшие палеонтологические остатки имеют возраст 2,8 млрд. лет. Еще более древними (3,2 млрд. лет) считают некоторые образования, по форме напоминающие микроорганизмы. Но и в еще более древних породах находят углеродистые соединения — какого они происхождения? Может быть, это остатки микропланктона? Соотношение изотопов углерода 12С/13С позволяет отличить углеродистые соединения органического происхождения от минеральных. Сегодня возраст следов, которые ученые расценивают как биологические, достигает 3,8 млрд. лет. В таком случае жизнь примерно на 0,8 млрд. лет моложе самой нашей планеты.
Когда на Земле появилась вода?
В Западной Австралии (Джек Хиллс) найдены окатанные цирконы, которые считаются старейшими в мире. «Окатанные» — значит на них воздействовали текучие воды и лед. Возраст цирконов — 4,4 млрд. лет — установлен уран-свинцовым методом радиоизотопного датирования (циркон содержит уран в следовых количествах). Получается уже тогда на Земле была вода? По соотношению изотопов кислорода 18О/16О в составе силиката циркония ZrSiO4 (основного компонента циркона) можно судить о том, в каких условиях формировались кристаллы. Установив это соотношение, ученые сделали вывод, что действительно на поверхности Земли уже тогда, больше 4 млрд. лет назад, была вода («Nature», 2001, 409, 6817, 175–178, doi:10.1038/35051550, 178— 181, doi:10.1038/35051557). Этот вывод был подтвержден и другими методами.
Изотопные соотношения кислорода в цирконах, которые показывают, что вода на Земле была с самого ее образованияНо возраст самой Земли оценивается в 4,5 млрд. лет, когда она возникла путем аккреции (слипания) частиц протопланетного диска. Результаты исследования австралийских цирконов подтверждают, что гидросфера и атмосфера Земли возникли в фазу аккреции, почти одновременно с самой Землей. Кстати, ученик В. И. Вернадского геохимик К. П. Флоренский обосновал это еще в 1965 году.
Как образовались рудные месторождения?
Много лет ученые спорят о том, какова роль мантии Земли в формировании рудных месторождений. Существовало предположение, что потоки флюидов (в геологии флюид — это жидкие и газообразные легкоподвижные компоненты магмы или растворы, циркулирующие в земных глубинах) прорываются из мантии на поверхность и именно из них образуются полезные ископаемые. В 2012 году были опубликованы собранные в Институте геохимии и аналитической химии им. В. И. Вернадского данные статистического анализа многих тысяч определений, по которым можно судить о том, сколько воды во флюидных включениях магматических пород. Эти цифры, полученные в различных лабораториях мира, говорят о том, что мантия — сухая: содержание воды в мантийных породах менее одного процента. Иными словами, вода, равно как и соединения хлора, — это вещества, содержащиеся преимущественно в земной коре, но не в мантии. А значит и те флюиды, из которых потом образуются рудные месторождения, — не мантийного, а более поверхностного происхождения.
Причина потепления
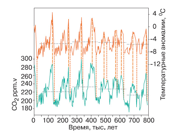
Исследование льдов Антарктиды позволило восстановить температуру и содержание СО2 в атмосфере Земли за последние 800 тысяч лет. Корреляция этих двух параметров очень хорошая — чем теплее, тем больше в атмосфере СО2. Никаких техногенных выбросов тогда, естественно, не было. Тем не менее на Земле случались периоды и более теплые, и более холодные, чем сейчас, и содержание СО2 в атмосфере поднималось выше современного и опускалось ниже. Все эти колебания, очевидно, не связаны с человеческой деятельностью. Но что из этих двух параметров причина, а что следствие?
Колебания температуры (верхняя кривая) и содержания углекислого газа (нижняя кривая) в миллионных долях (ppm) за 800 тыс. лет. Данные, полученные из ледового керна с купола «С» и «Тейлора». Горизонтальные пунктирные линии — среднее значение температуры или содержание СО2. Вертикальные пунктирные линии — начало и максимум потепления. («Nature», 2008, т. 453, стр. 379-382)Если рассмотреть начала подъема кривых, то можно заметить, что содержание углекислоты в атмосфере следует за подъемом средней температуры. Это говорит о том, что сначала происходит потепление и только потом растет концентрация углекислого газа. Дело в том, что в Мировом океане углекислоты растворено в 60 раз больше, чем во всей атмосфере, и повышение температуры океана уменьшает его буферную емкость. Поэтому, возможно, причина нынешнего потепления не парниковый эффект, а возросшая активность Солнца — споры ученых на эту тему продолжаются.
Но это еще не все. Постоянная сменяемость любых природных объектов (организмы рождаются и умирают, минералы и горные породы зарождаются, растут и разрушаются) привела Вернадского к идее геохимических циклов. В вечный круговорот включены все элементы земной коры, только скорость этих круговоротов различна. У каких-то элементов циклы могут исчисляться годами, у других сотнями, миллионами и даже миллиардами лет. Элементами обмениваются не только твердые, жидкие и газовые оболочки земной коры, но и живые и неживые (косные, по терминологии Вернадского) природные тела.
Свои идеи Вернадский сформулировал и опубликовал в то время, когда происходила дифференциация науки — возникали все новые и новые научные дисциплины: физическая химия, химическая физика, электрохимия и прочие. Поэтому в начале ХХ века синтетическое мышление Вернадского, объединяющее все, было просто непонятно.
К тому же в Советском Союзе на все смотрели через призму марксистско-ленинской догмы. В 1932 году академик А. М. Деборин, главный редактор журнала «Под знаменем марксизма», подвел итог: «Все мировоззрение В. И. Вернадского, естественно, глубоко враждебно материализму и нашей жизни, нашему социалистическому строительству». Малая советская энциклопедия 1934 года так характеризовала Вернадского: «По своему мировоззрению — сторонник идеалистической философии; в научных работах проводит идеи «нейтрализма» науки, выступает в защиту религии, мистики, «исконности жизни и живой материи» и ряда виталистических и антиматериалистических концепций, отрицая материалистическую диалектику».
Но даже если отбросить идеологические нападки советских ортодоксальных марксистов, идея взаимосвязи косного и живого не нашла понимания среди геохимиков. В 1929–1930 годы во время заграничной поездки, Вернадский вел переговоры о создании международного журнала по геохимии. Саму идею журнала поддержали, но крупные европейские геохимики Виктор Гольдшмидт, Вильгельм Эйтель и другие видели эту науку только как химию косного вещества планеты. Они не отдавали должного роли живого вещества в эволюции планеты, считали, что изучение живого — прерогатива биологов и геохимикам здесь делать нечего. Даже ближайший ученик и сподвижник А. Е. Ферсман до конца не воспринял этих идей: в своей статье «Успехи минералогии и геохимии за 25 лет Советской власти», перечислив 13 основных направлений развития геохимии, он вообще не упомянул биогеохимию.
Не случайно в 1931 году ученый записал в своем дневнике: «Царство моих идей впереди». Для научных идей, как и для растений, нужна подходящая почва, которая зреет постепенно, по мере накопления нового научного знания. Положение начало меняться только в конце прошлого века — ученым стало ясно, что для понимания глобальных геологических явлений одной физики и химии совершенно недостаточно.
Сейчас уже нет сомнения, что живое вещество оказывало кардинальное влияние на формирование и развитие всей земной коры. Достаточно напомнить, что все карбонатные породы (толщи известняков, мрамора) имеют биогенное происхождение, то есть в основе — кальциевые скелеты биоты. Практически весь свободный кислород атмосферы возник в результате фотосинтеза, то есть результат действия живого вещества. Например, сегодня кислород образуется с такой скоростью, что его количество в атмосфере может удвоиться всего за 4000 лет (если бы он не расходовался на окисление). В некоторые предыдущие эпохи эта скорость могла быть еще больше.
В процессах фотосинтеза растения ежегодно используют 430 млрд. тонн воды, причем выделяющийся кислород берется именно из воды (а углекислый газ превращается в органические вещества). Поэтому вся вода современной гидросферы могла бы пройти через биосферу за 3,2 млн лет. Следовательно, с начала кембрийского периода (около 542 млн лет), вся гидросфера могла пройти через фотосинтез 180 раз. Залежи углей, нефти и газа, массы углеродистых сланцев теснейшим образом связаны с накоплением умерших живых организмов (рис. 2).

Сегодня геология под влиянием новых геохимических данных постепенно переходит от упрощенных линейных моделей развития земной коры к пониманию взаимосвязи разновозрастных природных образований. Ученые начинают рассматривать последовательные природные события как единую систему, в которой происходит неоднократное перераспределение химических элементов. Например, «бездонные» гранитные массивы, уходящие в глубь Земли (их называют батолиты), оказались не внедрившимися, а образовавшимися горными породами — они возникли после преобразования осадочных пород. Так подтверждается взаимное влияние косного и живого вещества. Теория геохимических циклов В. И. Вернадского объединила не только отдельные геологические тела, но и целые геосферы. Ведь огромные массы кристаллических пород земной коры оказались «областью былых биосфер».
Итак, в развитии геохимии хорошо прослеживаются два направления, которые в конце концов сливаются в один общий поток. Первое направление, его можно назвать гёттингенским, родилось из кристаллографии. Основным его инструментом стало представление об атоме, его геометрии и структуре, а также пространственном взаимодействии атомов, из которых состоит кристаллическое тело. Основной объект — минерал и все тела, состоящие из минералов.
В основе второго направления, созданного В. И. Вернадским, лежит другой подход, позволяющий измерять и описывать абсолютно все природные объекты. Это распределение составляющих их элементов, в котором отображается специфика самого объекта и история его образования. Здесь объектом исследования может быть любое природное тело: косное и живое, земное и космическое.
И самое главное: сейчас этот инструмент становится рабочим орудием экологического мониторинга и решения экологических проблем. Мониторинг — это только анализ, который, как и в медицине, выявляет отклонения от нормального распределения элементов. Это констатация факта, а не лечение. А методы «лечения» аномальных экологических обстановок предлагают геохимия и биогеохимия. Преимущества последней в более быстрых процессах перераспределения элементов, но в строгом соответствии с законами миграции. Их надо изучать, знать и разумно применять при экологической «терапии» и «хирургии». Принцип «не навреди» из медицины переходит в биогеохимию и экологию.
Настало время объединения разных направлений геохимии. Оно идет очень медленно, поскольку процесс этот еще не вполне осознан. Как только все поймут, что это объединение носит не исключительный, а общий характер, процесс ускорится. Ведь механика Эйнштейна не исключает механику Ньютона, а геометрия Лобачевского — Эвклидову геометрию. Просто для решения разных вопросов нужны разные подходы и разные инструменты. Сейчас, когда перед человечеством встают проблемы устойчивого развития цивилизации, геохимия и биогеохимия становятся важнейшими дисциплинами, которые могут помочь отдельным территориям выжить.
Владимир Вернадский
Человечество далее не может стихийно строить свою
историю, а должно согласовывать ее с законами
биосферы, от которой человек неотделим.
В. И. Вернадский
Владимир Иванович ВернадскийТак кто же такой Владимир Вернадский? Минералог? Геолог? Естествоиспытатель? Историк науки? Минералог, геолог, естествоиспытатель, историк науки, но, может быть, главное — мыслитель, идеи которого намного опередили свое время. Только сейчас они становятся востребованными и помогают нащупать пути гармоничного существования человека и природы.
Уже один перечень опубликованных им работ показывает широту интересов Вернадского. Но это не интерес дилетанта. В каждое из направлений он внес новое. Именно их совокупность создает ту неповторимую целостность и новизну, что были свойственны его идеям.
Области научных интересов В. И. Вернадского (составила В. С. Неаполитанская)«Десятилетиями, целыми столетиями будут изучаться и углубляться его гениальные идеи, а в трудах его — открываться новые страницы, служащие источником новых исканий; многим исследователям придется учиться его острой, упорной и отчеканенной, всегда гениальной, но трудно понимаемой творческой мысли; молодым поколениям он всегда будет служить учителем в науке и ярким образцом плодотворно прожитой жизни», — так писал о Вернадском академик А. Е. Ферсман. То, что когда-то было «трудно понимаемо», сейчас не только приобретает свой ясный смысл, но и указывает пути научного поиска.
Фундаментальный труд Вернадского «Очерки геохимии» (курс лекций, который он прочитал в Сорбонне) начинается такими словами: «Мы живем на повороте в удивительную эпоху истории человечества. События чрезвычайной важности и глубины совершаются в области человеческой мысли. (...) Никогда в истории человеческой мысли идеи и чувства единого целого, причинной связи всех научно наблюдаемых явлений не имели той глубины, остроты и ясности, какой они достигают сейчас в ХХ столетии». Позднее, на Международном геологическом конгрессе в 1937 году, он развил эту мысль дальше: «Мы живем в эпоху, когда человечество впервые охватило в бытии планеты всю Землю. Биосфера... перешла в новое состояние — в ноосферу».
Это глубокое ощущение целостности мира во всех его проявлениях — один из базисных постулатов Вернадского, — его взгляда, или методологии, которую на современном научном языке мы назвали бы системной. Его интересовало все. От атома до космоса. Кроме того, он ко всему стремился подойти количественно — с числом и мерой. Иными словами, Владимир Иванович не ограничивался общими рассуждениями, он подчеркивал, что «столь общее и древнее стремление научного миросозерцания выразить все в числах, — искание кругом простых числовых отношений проникло в науку из самого древнего искусства — из музыки... С тех пор искание гармонии (в широком смысле), искание числовых соотношений является основным элементом научной работы».
Воспринимая природу как единое целое, В. И. Вернадский пришел к новому, системному взгляду на взаимодействие живого и косного (то есть образующегося без участия живых организмов) вещества земной коры. Он утверждал, что не только минеральная среда влияет на развитие организмов, но и организмы в целом определяют формирование горных пород твердой оболочки Земли. Например, появление организмов с кальциевым скелетом положило начало массовому отложению известняков.
Расширение научных интересов В. И. ВернадскогоВесь кислород современной атмосферы — биогенного происхождения. Формирование наземного растительного покрова внесло новые принципиальные изменения в биогеохимические циклы. (Сейчас эти постулаты действительно подтвердились.) Анализ системы в целом привел ученого к формулировке нового учения — учения о биосфере.
Проанализировав то, что происходило в биосфере (совокупности живого и косного вещества) в количественном выражении на протяжении всей геологической истории ее развития, Вернадский наметил два фундаментальных принципа, определяющих направление ее развития:
- Эволюция биосферы идет в сторону постоянного ускорения миграции элементов в биогеохимических циклах.
- В результате жизни «происходит увеличение действенной энергии», поскольку при превращениях косного вещества энергия рассеивается (второй принцип термодинамики), а в живом веществе она накапливается.
И действительно скорости изменения минералов и горных пород земной коры исчисляются годами, столетиями и еще более длительными отрезками времени. Это видно даже по скорости изменения рельефа. Живые организмы значительно ускоряют обмен веществ между твердой, жидкой и газовой оболочками нашей планеты, что хорошо видно в простейших биогеохимических циклах. Например, еще со школьной скамьи нам знаком круговорот воды в природе. Однако на самом деле в круговорот вовлечены все элементы. Разрушающиеся горные породы образуют осадки. Погружаясь в недра, они уплотняются и превращаются (метаморфизуются) в кристаллические сланцы и гнейсы, а частично расплавляясь — в магмы. При образовании гор превращения идут в обратном направлении (регрессивный метаморфизм).
Вернадский показал, что в реальной природе эти два процесса (в косном и живом веществе) тесно связаны между собой. В результате возникла новая наука — биогеохимия. В своей работе «Два синтеза космоса» он указывал на то, как по-разному анализируют природные явления различные дисциплины. Физика или механика подходят к ним отвлеченно: все сводится к представлениям о телах, энергии, квантах, электронах, силовых линиях, вихрях или корпускулах. Эта абстракция — удобная форма научной работы, но она не охватывает мир полностью, не проникает во все области естествознания. Подобная схема строения мира слишком рационалистична, ее создал человеческий разум в отрыве от многих других природных реалий.
Биогеохимические циклыДругой подход — представления натуралиста, которые включают важный элемент «живого», отсутствующий в понятиях физика. Такой подход тоже научен, и он гораздо ближе, понятнее нам и более пригоден для анализа окружающих нас природных явлений. Но и этот метод несовершенен, как и геометрические схемы физиков, хоть в них и меньше абстрактных построений. Второй подход дает нам другие стороны космоса. «В науке нет до сих пор ясного сознания, что явления жизни и явления мертвой природы, взятые с геологической, то есть планетарной точки зрения, являются проявлениями единого процесса», — констатировал Вернадский. Мы не можем и не должны забывать о существовании этих двух несовместимых представлений о природе.
Проанализировав результаты геологических процессов и человеческой деятельности, Вернадский понял, что человек постепенно становится «геологической силой». Многие действия человека и их последствия давно стали соизмеримыми с естественными геологическими явлениями. Достаточно напомнить, что среднегодовое извержение лав на дне океанов и на суше — около 50 км3 и 15 км3, снос твердого материала с поверхности суши — около 25 км3. В то же время человек в среднем перемещает за год около 100 км3 материала — это разработка полезных ископаемых, строительные, дорожные и другие подобные работы.
Сложнее, когда человеческая деятельность локализуется на ограниченных территориях. Так, на Курильских островах протяженностью 1200 км 32 вулкана с 1930 по 1963 год извергли 2,6 км3 вулканического материала, или 0,08 км3/год. На месторождениях Кривого Рога (75 км, 7 карьеров, 8 подземных рудников) с 1953 по 1991 год было добыто не менее 2,2 км3 горных пород, или 0,06 км3/год. Величины близкие, но пространства разные.
Совершенно ясно, что «человек далее не может стихийно строить свою историю, а должен согласовать ее с законами биосферы, от которой он неотделим». Это фундаментальный закон, который формулирует Владимир Иванович. Как логическое его продолжение, он вводит понятие «ноосфера» и дает ее основные характеристики. Ноосфера — этап эволюции биосферы, когда оно становится геологической силой. То есть разумная человеческая деятельность, оказывающая глубокое воздействие на природные процессы, определяет все развитие общества. «Ноосфера есть новое геологическое явление на нашей планете. В ней ... человек ... может и должен перестраивать своим трудом и мыслью область своей жизни, перестраивать коренным образом по сравнению с тем, что было раньше. Перед ним открываются все более и более широкие творческие возможности. И может быть, поколение наших внуков уже приблизится к их расцвету», — писал Вернадский в своей статье «Биосфера и ноосфера».
В его рабочих материалах к фундаментальному труду «Научная мысль как планетное явление», вышедшему уже после его кончины, мы находим такие записи: «Человеческий разум... не является формой энергии, а производит действия, как будто ей отвечающие». И действительно, ставя запруду на реке и подавая воду на лопасти турбины, мы создаем электроэнергию и передаем ее на расстояние. Все это сделал человеческий разум по мере накопления новых знаний, новой информации. Теперь мы бы сказали, что информация не является энергией и не создает энергию, но меняет направление и плотность ее распределения в пространстве и во времени.
Вернадский прекрасно понимал, что научные открытия можно использовать в самых разных целях и это зависит только от людей. «Сумеет ли человек воспользоваться этой силой, направить ее на добро, а не на самоуничтожение? Дорос ли он до уменья использовать эту силу, которую неизбежно должна дать ему наука?
Ученые не должны закрывать глаза на возможные последствия их научной работы, научного прогресса. Они должны себя чувствовать ответственными за все последствия своих открытий».
Есть древняя притча.
Путник на перекрестке дорог увидел старика и спросил его:
— Далеко ли до Сиракуз? Старик, недолго думая, ответил:
— Иди.
— Да я тебя спрашиваю: далеко ли до Сиракуз?
— Иди.
Когда он в третий раз услышал тот же ответ, махнул рукой и пошел. И вдруг услышал:
— Через два часа ты будешь в Сиракузах.
— Так что же ты раньше не сказал?
— Мне надо было посмотреть, какой дорогой и с какой скоростью ты пойдешь. Если бы ты пошел не этой, а другой дорогой, я бы сказал: «Ты никогда не придешь в Сиракузы».Основная заслуга В. И. Вернадского в том, что он указал миру верный путь, по которому мы должны двигаться, чтобы найти гармонию с окружающей нас природой. Никакие политические, экономические и технические подходы к решению экологических проблем не могут дать эффективных результатов без учета законов развития биосферы. Будущее человечества зависит от того, как скоро оно это поймет и примет на себя ответственность за развитие не только общества, но и биосферы в целом.
Г. Б. Наумов,
доктор геолого-минералогических наук