
Ученым из Лейденского университета (Голландия) удалось наблюдать факт кристаллизации воды при комнатной температуре. Как показано в их исследовании, превращение воды в лед будет происходить в ограниченном пространстве с очень малым характерным размером — всего лишь несколько нанометров.
Вода может превращаться в лед и при комнатной температуре. Об этом утверждается в статье Experimental Evidence for Ice Formation at Room Temperature, опубликованной в журнале Physical Review Letters учеными из знаменитой Лаборатории Камерлинг-Оннеса Лейденского университета. Правда, «пощупать» этот лед вряд ли будет возможно, как, впрочем, и увидеть, поскольку размер такой «льдинки» составляет порядка нанометра.

В эксперименте, проведенном голландскими учеными, превращалась в лед вода, заключенная между двумя объектами: вольфрамовой иглой фрикционного силового микроскопа (Friction force microscope, от англ. friction — «трение») и поверхностью пиролитического графита.
Пиролитический графит получают разложением (пиролизом) летучих углеродсодержащих соединений на нагретых до высокой температуры поверхностях. При таком способе получения кристаллы графита растут ориентированно, а потому он обладает сильно выраженной анизотропией — его можно так же легко, как слюду, расщепить на более тонкие листочки.
Небольшое отступление о методике исследования. При изучении явлений, происходящих в наномасштабе, часто используется атомно-силовой микроскоп (Atomic force microscope). Что представляет из себя это устройство и как оно работает, легко понять, если взглянуть на рис. 1, на котором представлена блок-схема атомно-силового микроскопа.
Фрикционный силовой микроскоп (рис. 2) — разновидность атомно-силового микроскопа (иногда в англоязычной литературе его еще называют Lateral Force Microscope). В таком микроскопе исследуется сила трения между поверхностью и скользящей по ней иглой кантилевера. Также особенностью данного эксперимента было использование видоизмененного кантилевера — так называемого триболевера (рис. 3), способного измерять силу трения с разрешением не менее 15 пиконьютонов (пико = 10–12); о триболевере см. статью M. Dienwiebel et al. Superlubricity of Graphite // Phys. Rev. Lett. 92 (2004).
Эксперимент проводился в герметичной камере, где варьировалась влажность воздуха в интервале от 1 до 50%. И хотя размер исследуемой с помощью фрикционного силового микроскопа с триболевером системы был «всего лишь» 3 × 3 нм, скорость сканирования (скорость движения иглы) при изменении влажности менялась в интервале от 100 до 0,5 нм/с.
Были проведены измерения силы трения между вольфрамовой иглой триболевера и поверхностью графита при различных скоростях сканирования и уровнях влажности в камере (рис. 4)

В этих графиках можно выделить следующую информацию. Когда влажность в камере очень маленькая, например 1%, то амплитуда колебаний иголки при сканировании поверхности графита равна 0,25 нм, что в точности составляет период кристаллической решетки графита. В принципе, это и неудивительно, так как вольфрамовая иголка при движении «цепляется» за каждый атом графита на своем пути, что и приводит к «дрожанию» с такой амплитудой.
Авторы акцентируют здесь внимание на другом факте: при увеличении влажности и небольшой скорости сканирования амплитуда колебания иглы микроскопа возрастает, как это видно из нижних графиков на рис. 4 (размах колебаний там приблизительно 0,4 нм). Как показали дальнейшие эксперименты, данные по амплитуде колебаний иглы можно «уложить» в интервал 0,27–0,45 нм (рис. 5), если проводить измерения, варьируя влажность от 5 до 33% и скорость сканирования от 0,1 до 3 нм/с.

Какой вывод делают из этого ученые? Указанный интервал амплитуд колебаний соответствует одному из периодов кристаллической решетки различных форм водяного льда, которых, вообще говоря, известно 15 (см. также статью «Ледяные узоры высокого давления», журнал «Химия и жизнь» №2, 2007; в открытом доступе ее можно прочитать здесь). Иными словами, по мнению авторов, можно говорить об образования льда в пространстве между иглой микроскопа и поверхностью графита, так как регулярность в колебаниях иглы свидетельствует о периодичности в молекулярной структуре воды. А когда вода обладает этой периодичностью? Только если испытыла переход в твердое состояние, то есть превратилась в лед.
Когда уровень влажности превышает 50%, сила трения при маленьких скоростях сканирования остается высокой, но «дрожания» иглы уже не наблюдается. Правда, этот факт был установлен учеными раньше, за 2 года до выхода этой работы. Результаты тех исследований были опубликованы также в журнале Physical Review Letters — статья называлась Capillary Condensation in Atomic Scale Friction: How Water Acts like a Glue (оригинальная статья свободно доступна здесь, почитать о результатах данной работы на русском языке можно здесь). Тогда, в 2006 году, ученые объяснили наблюдаемое явление «капиллярной» (термин, который употребляют авторы) конденсацией воды между иглой и графитовой поверхностью.
Колебания иглы микроскопа при небольших значениях влажности авторы объясняют аналогичным образом: происходит конденсация, и весомым аргументом в пользу такого объяснения выступает несовпадение амплитуды «дрожания» иглы микроскопа с периодом кристаллической решетки графита; более того, эта амплитуда соответствует периодам решеток разнообразных форм водяного льда.
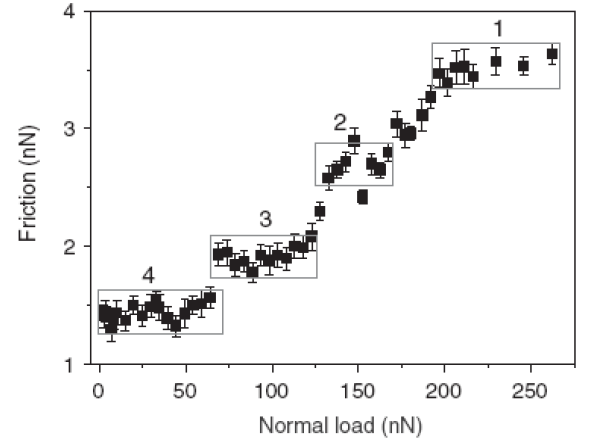
Чтобы окончательно удостовериться в правильности гипотезы о «капиллярной» конденсации воды, голландские исследователи измерили зависимость силы трения от силы давления иглы микроскопа на поверхность графита при влажности 25%. Результат представлен на рис. 6.

Авторы отмечают наличие на этом графике четырех более или менее четких плато. По их мнению, происходит следующее: игла, оказывая давление, при своем движении захватывает атомарный слой кристаллизовавшейся воды и, по мере увеличения этой силы, проникает всё глубже и глубже в лед, увлекая за собой уже несколько атомарных плоскостей вещества. Что в свою очередь и приводит к увеличению силы трения. В общем, с уверенностью можно сказать, что существует как минимум три монослоя льда.
Все эти факты, как считают авторы, свидетельствуют в пользу гипотезы о формировании льда при комнатной температуре. Однако ученые также делают осторожное замечание, что они не располагают знаниями о поведении иглы, если провести сканирование в направлении, перпендикулярном тому, которое подробно было описано здесь. Проще говоря, было бы неплохо получить информацию об амплитуде колебания иглы, когда происходит сканирование под углом 90 градусов к проведенному сканированию в этом эксперименте, и лишь тогда делать окончательные выводы относительно возможности образования льда.
Источник: K. B. Jinesh, J. W. M. Frenken. Experimental Evidence for Ice Formation at Room Temperature // Physical Review Letters 101, 036101 (2008).
Юрий Ерин



